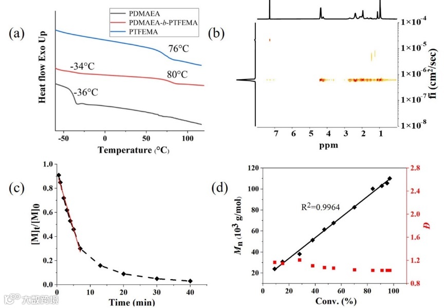
奥卡姆剃刀定律指出:“如无必要,勿增实体”。也就是说:把事情变复杂很简单,但把复杂的事情变简单却并不容易。这个定律告诉我们在处理事情时,要把握事情的主要矛盾,解决最根本的问题,才能事半功倍。或者说:越简单越好。乔布斯在设计苹果产品时也曾用过奥卡姆剃刀定律,他一直坚持认为:为了实现一个功能而造出一堆复杂的东西,是没有意义的,在能够实现目标的前提下,最简单的才是最好的。聚合诱导自组装(polymerization-induced self-assembly, PISA)在药物传输、纳米反应器等方面具有潜在的应用价值,近些年一直受到人们的广泛关注。目前主流的RAFT-PISA通常需要在第一步合成大分子引发剂,分离提纯之后再进行PISA过程,这个过程不仅费时,也可能造成重复性差的问题;另一方面,通过连续加料进行PISA的聚合体系减少了大分子引发剂提纯的过程,但仍需经过两步连续加料过程,同时在第一种单体达到高转化率时会降低链末端的保真度。那么奥卡姆剃刀定律是否同样适用于PISA,能否将PISA的流程做到极简化并有利于其大批量制备呢?




原文链接:
https://onlinelibrary.wiley.com/doi/10.1002/anie.202202448
相关进展
吉林大学张越涛教授课题组《Angew》:一步法合成木质素基耐高温防紫外三嵌段热塑性弹性体
高分子科技原创文章。欢迎个人转发和分享,刊物或媒体如需转载,请联系邮箱:info@polymer.cn
诚邀投稿
欢迎专家学者提供稿件(论文、项目介绍、新技术、学术交流、单位新闻、参会信息、招聘招生等)至info@polymer.cn,并请注明详细联系信息。高分子科技®会及时推送,并同时发布在中国聚合物网上。
欢迎加入微信群 为满足高分子产学研各界同仁的要求,陆续开通了包括高分子专家学者群在内的几十个专项交流群,也包括高分子产业技术、企业家、博士、研究生、媒体期刊会展协会等群,全覆盖高分子产业或领域。目前汇聚了国内外高校科研院所及企业研发中心的上万名顶尖的专家学者、技术人员及企业家。
申请入群,请先加审核微信号PolymerChina (或长按下方二维码),并请一定注明:高分子+姓名+单位+职称(或学位)+领域(或行业),否则不予受理,资格经过审核后入相关专业群。
点
这里“阅读原文”,查看更多


