天然橡胶(NR)作为重要的战略物资,被广泛应用于橡胶工业,特别是轮胎工业。NR可拉伸结晶,具有优异的机械强度、撕裂强度、回弹性和抗裂纹扩展性,综合性能优异。但是,三叶橡胶树种植区域有限(只能种植在热带)、抗虫害能力差,导致NR产量不足,不能满足日益增长的使用需求。因此,亟待开发第二天然橡胶。
杜仲胶(EUG)是我国特有的一种生物基高分子材料,存在于在杜仲树的树皮、树叶、根、果实和种子中。杜仲树种植面积广,抗气候、抗虫害能力强。我国的杜仲资源占世界95%,在开发杜仲资源方面具有得天独厚的优势。杜仲胶的结构为反式聚异戊二烯,是天然橡胶的同分异构体。它的分子链规整,常温下易结晶,具有独特的橡塑二重性。利用结晶塑性,EUG可被用于制备形状记忆材料(Macromol. Mater. Eng.2021, 2100370);利用弹性,EUG可被用于制备功能弹性体材料,如阻尼弹性体(RSC Adv. 2019, 9, 42367)、耐油弹性体(J. Mater. Sci. 2020, 55, 4940)。此外,将高弹性的环氧化杜仲胶和塑性的EUG共混,通过构建半互穿动态网络结构,还可制备兼具自修复、形状记忆、重复加工性能的多功能弹性体(J. Mater. Chem. A, 2021, 9, 25399)。但是,目前报道的EUG弹性体大多不能拉伸结晶,性能均不及NR。经加氢改性的杜仲胶在高加氢度时可拉伸结晶(J. Appl. Polym. Sci. 2021,138, e50007),但是结晶度较低,自补强能力有限。因此,开发新的具有拉伸结晶自补强能力的杜仲胶弹性体对于改善NR产量不足问题具有重要意义。
橡胶工业的另外一个挑战是硫化胶的回收。传统硫化胶通过共价键交联,很难实现回收利用。Vitrimer兼具热塑性材料和热固性材料的优点,在使用条件下不会溶解或熔化,而在高温或适当的刺激下可进行拓扑重构和再加工,易于实现回收利用。然而,通过动态共价键交联制备的Vitrimer弹性体因为网络的动态性导致它们的力学性能较差,不能满足实际应用需求。因此,需要引入新方法制备兼具高强度和可回收性的绿色弹性体材料。

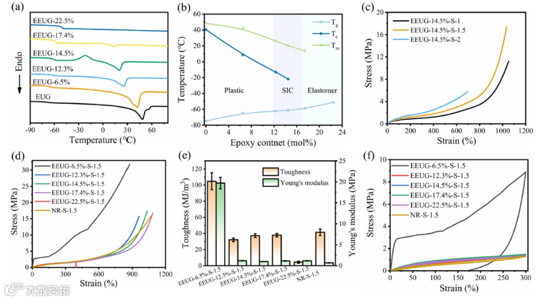
受天然橡胶(Tc -25 ℃,Tm -2~18 ℃)和环戊橡胶(Tm 0~25 ℃)拉伸结晶启发,作者推测通过在杜仲胶分子链上引入环氧基团,将其熔融温度调节至室温以下(Tm<25 ℃),便可制备出可拉伸结晶的杜仲胶弹性体材料。为了验证猜想,作者首先制备出了一些列不同环氧度的EEUG,发现环氧度为12.3% ~ 17.4%的EEUG熔融温度低于室温(图1a, b)。通过拉伸测试发现,环氧度为12.3% ~ 17.4%的EEUG均表现出与NR相当的高强度和高弹性(图1c-f),这说明他们应该与NR一样具有拉伸结晶能力。

图1 不同环氧度EEUG的DSC曲线、应力-应变曲线、拉伸回复曲线。
为了进一步验证猜想,作者对其进行同步辐射广角X光衍射测试,发现他们在拉伸状态下均存在衍射弧(图2),证明了环氧度为12.3% ~ 17.4%的EEUG的确具有拉伸结晶能力。

图2 EEUG同步辐射广角X光衍射表征
随后,作者对比了EEUG-14.5%与NR在炭黑补强时的性能(图3),发现两者机械强度和弹性相当,而EEUG-14.5%耐油性能更佳,滚动阻力更低。这说明EEUG可以部分替代NR,缓解NR产量不足问题。最后,作者以EEUG-14.5%为基体,通过引入动态二硫键进行交联,制备出一种绿色弹性体材料。这种材料可拉伸结晶(图4 a-f),因此具有高强度(拉伸强度10.5 MPa、韧性为30.7 MJ m−3)。通过将动态二硫键还原,可实现弹性体的化学回收,回收产物结构基本不变(图4 h-j)。该研究报道的第二天然橡胶对缓解NR产量不足问题具有重要意义,同时为制备高强度、可回收绿色弹性体提供了新方法。

图3 EEUG-14.5%与NR炭黑补强时的性能对比

图4 高强度、可回收杜仲胶弹性体的性能表征
原文链接:
https://doi.org/10.1021/acs.macromol.1c02646
相关进展
西农董娟娥教授团队JAFC封面综述:一种新型材料-天然高分子杜仲橡胶
大连理工大学宾月珍教授团队《CEJ》:天然橡胶增韧碳纳米管巴基纸及其在电磁屏蔽,导热,焦耳加热和摩擦纳米发电等领域的应用
高分子科技原创文章。欢迎个人转发和分享,刊物或媒体如需转载,请联系邮箱:info@polymer.cn
诚邀投稿
欢迎专家学者提供稿件(论文、项目介绍、新技术、学术交流、单位新闻、参会信息、招聘招生等)至info@polymer.cn,并请注明详细联系信息。高分子科技®会及时推送,并同时发布在中国聚合物网上。
欢迎加入微信群 为满足高分子产学研各界同仁的要求,陆续开通了包括高分子专家学者群在内的几十个专项交流群,也包括高分子产业技术、企业家、博士、研究生、媒体期刊会展协会等群,全覆盖高分子产业或领域。目前汇聚了国内外高校科研院所及企业研发中心的上万名顶尖的专家学者、技术人员及企业家。
申请入群,请先加审核微信号PolymerChina (或长按下方二维码),并请一定注明:高分子+姓名+单位+职称(或学位)+领域(或行业),否则不予受理,资格经过审核后入相关专业群。
点
这里“阅读原文”,查看更多


