纤维增强树脂基复合材料,特别是热固性树脂基复合材料,因其独特的性能优势,已在越来越多的领域得到广泛应用。不饱和聚酯是最大的一类生产热固性复合材料的高分子材料,是生产玻璃钢的主要高分子材料。然而,不饱和聚酯固有的易燃性使其被点燃后极易引发火灾事故,对生命和财产安全构成严重威胁。通过加入阻燃剂是解决其易燃性的有效途径。无机阻燃剂阻燃效率低,而广泛使用的一些含卤/磷小分子有机阻燃剂因在高分子基材中相容性较差、增塑效应和逐渐迁出,会导致材料热/机械性能受损、阻燃耐久性不佳和PBT(残留性、生物累积性、毒性)等问题。因此,急需研究开发阻燃效率高、环境友好、耐久性好、对材料力学性能没有负面影响的新型大分子阻燃剂,以满足生产高性能不饱和聚酯基复合材料的实际需求。
四川大学王玉忠院士团队设计合成了一种同时含DOPO、芳仲胺和膦酸酯结构的新型大分子阻燃剂PPDSP(图1),并将其用于不饱和聚酯(UP)的阻燃改性。一方面,PPDSP的芳仲胺基团与UP酯羰基之间形成的氢键增强了链间相互作用力和相容性。另一方面,膦酸酯和DOPO基团在高温下生成高氧化态的含磷酸,进一步催化UP基材的脱水反应形成致密炭层,发挥协同炭化作用。通过将氢键和协同炭化作用集成到PPDSP大分子中,制备的UP/PPDSP改性树脂具有优异的阻燃耐久性、耐热性和冲击强度。与纯UP相比,UP/PPDSP20的玻璃化转变温度(Tg)和初始分解温度(T5%)分别提高了11°C和20°C,极限氧指数(LOI)达到27.3%,UL-94等级为V-0级,峰值热释放速率降低了58%。即使正常储存一年或浸水处理一周后,UP/PPDSP仍能保持原有的阻燃性能。这种大分子阻燃剂具有高热稳定性、难迁移、与基材相容性好、几乎无生物累积性等优点,为提高聚合物的阻燃防火性能提供了一条高效、耐用且绿色的途径。

图1. PPDSP的分子结构及其与不饱和聚酯基材的相互作用示意图
PPDSP大分子阻燃剂的数均分子量(Mn)为1.5×104 g/mol,多分散系数(PDI)为1.65。将PPDSP添加到UP中,通过加热固化制备得到不饱和聚酯固化物UP/PPDSP,PPDSP在UP基材中均匀分布。PPDSP的芳仲胺基团与UP酯羰基之间形成了较强的氢键作用,因此与纯UP相比,UP/PPDSP20结构中的C=O和N-H伸缩振动分别红移了5 cm-1和25 cm-1(图2)。

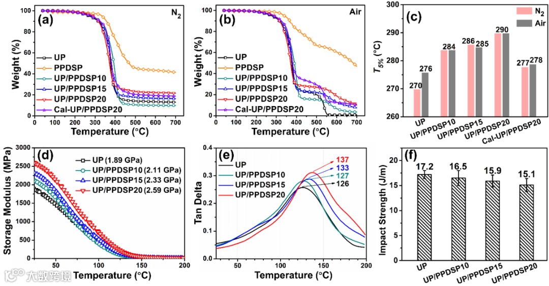
PPDSP大分子与UP基材之间的氢键作用有利于提高或保持聚合物的耐热性和力学性能(图3)。随着添加量的增加,UP/PPDSP的Tg和T5%逐渐提高;当PPDSP添加量为20wt%时,Tg和T5%分别可达137°C和290°C,与纯UP相比分别提高了11°C和20°C。同时,UP/PPDSP保持了良好的冲击性能,UP/PPDSP10和UP/PPDSP15的冲击强度分别保持在纯UP的96%和92%;即使在高添加量的情况下,UP/PPDSP20的冲击强度与纯UP相比也仅降低了12%。

燃烧时,PPDSP大分子受热分解生成磷酸酯和DOPO碎片结构,进一步转化为磷酸、多聚磷酸等含磷酸,这些酸可以催化PPDSP自身和UP基材发生脱水炭化反应,起到凝聚相阻燃的作用。随着PPDSP添加量增加,UP/PPDSP的成炭能力逐渐提升,LOI值逐渐升高,峰值热释放速率和总热释放量逐渐降低(图4)。氢键提高了PPDSP与UP交联结构之间的相互作用力,使得PPDSP大分子难以从UP基材中迁出。因此UP/PPDSP在室温下放置一年或在水中浸泡一周后,其阻燃性能(LOI值和UL-94等级)没有降低,表现出优异的阻燃耐久性。

该工作以“Durable macromolecular firefighting for unsaturated polyester via integrating synergistic charring and hydrogen bond”为题发表在Chemical Engineering Journal(2022, 443, 136365; doi.org/10.1016/j.cej.2022.136365)。第一作者为四川大学环保型高分子材料国家地方联合工程实验室的陈琳研究员,通讯作者为王玉忠教授。相关研究工作得到国家自然科学基金重点项目(21634006)的资助。
论文链接:
https://doi.org/10.1016/j.cej.2022.136365
相关进展
高分子科技原创文章。欢迎个人转发和分享,刊物或媒体如需转载,请联系邮箱:info@polymer.cn
诚邀投稿
欢迎专家学者提供稿件(论文、项目介绍、新技术、学术交流、单位新闻、参会信息、招聘招生等)至info@polymer.cn,并请注明详细联系信息。高分子科技®会及时推送,并同时发布在中国聚合物网上。
欢迎加入微信群 为满足高分子产学研各界同仁的要求,陆续开通了包括高分子专家学者群在内的几十个专项交流群,也包括高分子产业技术、企业家、博士、研究生、媒体期刊会展协会等群,全覆盖高分子产业或领域。目前汇聚了国内外高校科研院所及企业研发中心的上万名顶尖的专家学者、技术人员及企业家。
申请入群,请先加审核微信号PolymerChina (或长按下方二维码),并请一定注明:高分子+姓名+单位+职称(或学位)+领域(或行业),否则不予受理,资格经过审核后入相关专业群。
点
这里“阅读原文”,查看更多


