
图1 均聚物/无规共聚物共混物中两种主要的成核方式

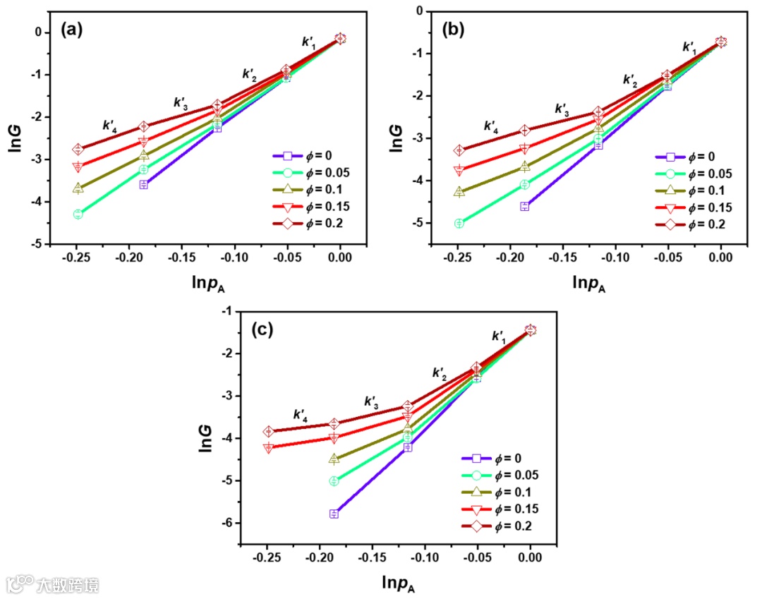
图2 PBS/PBSMS共混物中球晶径向生长速率与无规共聚物中结晶单元浓度的双对数关系,(a) 80 °C, (b) 85 °C, (a) 90 °C。
原文链接:
https://doi.org/10.1016/j.polymer.2022.124735
作者团队简介:
徐军副教授课题组的研究内容包括高分子物理的基础科学问题(高分子结晶成核、聚合物体系的动力学等)、环境友好和智能高分材料(生物降解高分子、基于动态共价键的高分子、3D打印用高分子、脑机接口用高分子)等。目前的在研项目包括:国家重点研发计划项目、国家自然科学基金面上项目、中德国际合作项目、和美国宝洁公司国际合作项目、和中国神华煤制油化工有限公司的企业合作项目等。
相关进展
清华大学徐军课题组招聘博士后 | 生物降解高分子合成、高分子结晶、深度学习方向
清华大学徐军课题组封面综述:从动力学角度阐述聚合物结晶的次级成核过程
高分子科技原创文章。欢迎个人转发和分享,刊物或媒体如需转载,请联系邮箱:info@polymer.cn
诚邀投稿
欢迎专家学者提供稿件(论文、项目介绍、新技术、学术交流、单位新闻、参会信息、招聘招生等)至info@polymer.cn,并请注明详细联系信息。高分子科技®会及时推送,并同时发布在中国聚合物网上。
欢迎加入微信群 为满足高分子产学研各界同仁的要求,陆续开通了包括高分子专家学者群在内的几十个专项交流群,也包括高分子产业技术、企业家、博士、研究生、媒体期刊会展协会等群,全覆盖高分子产业或领域。目前汇聚了国内外高校科研院所及企业研发中心的上万名顶尖的专家学者、技术人员及企业家。
申请入群,请先加审核微信号PolymerChina (或长按下方二维码),并请一定注明:高分子+姓名+单位+职称(或学位)+领域(或行业),否则不予受理,资格经过审核后入相关专业群。
点
这里“阅读原文”,查看更多


