沥青在许多领域具有广阔的应用前景,也是建筑和建筑材料的热门话题。聚乙烯(PE)因其价格低廉、良好的路面性能而被用作沥青改性剂。然而,目前PE改性沥青存在制备工艺复杂、储存稳定性差以及混合和压实温度高等缺点。制备兼具良好储存稳定性和降粘能力的聚乙烯改性沥青就具有重要意义。
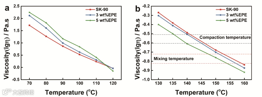
长安大学颜录科教授和中科院化学所李化毅副研究员合作,降低PE分子量同时在其链末端引入官能团,有效解决聚乙烯改性沥青拌合摊铺温度高、储存稳定性差的问题。本文合成了一种低分子量端环氧基聚乙烯(EPE)(图1a),EPE的极性基团可与沥青中的酸性物质反应,在沥青中形成网络结构(图1b)。EPE添加量为5wt%时改性沥青的顶部与底部软化点之差为0.7℃,显著提高了沥青的储存稳定性(表1)。荧光显微图像也侧面证实了EPE在沥青中的均匀分散和良好的储存稳定性(图2)。此外,EPE由于分子量低,降低了沥青的高温粘度,实现了较低的混合和摊铺温度(图3),从而达到了良好的节能减排效果(图1c)。该工作将为PE在沥青中的应用提供进一步的指导。



图2. 3wt% EPE(a,顶部;b,底部),5wt% EPE(c,顶部;d,底部)改性沥青荧光显微照片

图3. EPE改性沥青70-120℃(a)和130-160℃(b)粘温曲线
该工作以“A novel epoxy-terminated polyethylene modified asphalt with low-viscosity and high storage stability”为题发表在《Construction and Building Materials》上。长安大学博士研究生李孟茹为第一作者,颜录科教授、丛培良教授和骆春佳博士为共同通讯作者。该研究工作得到长安大学中央高校项目和陕西省重点研发项目的支持。
原文链接:
https://doi.org/10.1016/j.conbuildmat.2022.127473
相关进展
高分子科技原创文章。欢迎个人转发和分享,刊物或媒体如需转载,请联系邮箱:info@polymer.cn
诚邀投稿
欢迎专家学者提供稿件(论文、项目介绍、新技术、学术交流、单位新闻、参会信息、招聘招生等)至info@polymer.cn,并请注明详细联系信息。高分子科技®会及时推送,并同时发布在中国聚合物网上。
欢迎加入微信群 为满足高分子产学研各界同仁的要求,陆续开通了包括高分子专家学者群在内的几十个专项交流群,也包括高分子产业技术、企业家、博士、研究生、媒体期刊会展协会等群,全覆盖高分子产业或领域。目前汇聚了国内外高校科研院所及企业研发中心的上万名顶尖的专家学者、技术人员及企业家。
申请入群,请先加审核微信号PolymerChina (或长按下方二维码),并请一定注明:高分子+姓名+单位+职称(或学位)+领域(或行业),否则不予受理,资格经过审核后入相关专业群。
点
这里“阅读原文”,查看更多


