
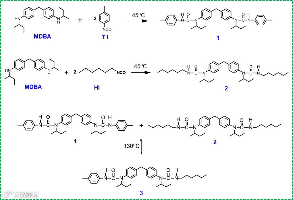
基于动态共价键的可适性交联网络可以赋予交联高分子可再加工、可愈合和可再生等宝贵性能,但是,动态共价键的不稳定性又不可避免地牺牲高分子材料的热稳定性和机械性能。因此,开发具有优异的热性能和机械性能的的动态交联高分子具有重要的学术价值和应用前景。近期,西安交通大学化学学院功能高分子研究组(RGFP)报道了一类具有共轭和位阻双重效应的动态脲键(CHUB),该种动态脲键采用烟台万华工业化生产的4,4’-二仲丁氨基二苯甲烷(MDBA)与芳香族异氰酸酯反应形成(图1)。与仅基于位阻效应的动态脲键相比,虽然具有较低键能的CHUB容易解离,但是,更多的芳香性分子骨架却赋予这种动态共价交联网络相当高的稳定性,从而使材料表现出较高的玻璃化转变温度、较高的力学性能以及高温下较快的应力松弛(图2)。





原文链接:
https://pubs.acs.org/doi/10.1021/acs.macromol.2c00681
相关进展
西安交大井新利教授课题组与西安航天复合材料研究所 CEJ:基于协同交联酚醛树脂的可修复耐烧蚀复合材料
西安交通大学井新利教授团队:遇水也不易“散架”的硼酸酯基Vitrimers
吉林大学孙俊奇教授团队 AFM: 基于动态交联策略制备高强度、可多次加工和可降解的生物基超分子塑料
高分子科技原创文章。欢迎个人转发和分享,刊物或媒体如需转载,请联系邮箱:info@polymer.cn
诚邀投稿
欢迎专家学者提供稿件(论文、项目介绍、新技术、学术交流、单位新闻、参会信息、招聘招生等)至info@polymer.cn,并请注明详细联系信息。高分子科技®会及时推送,并同时发布在中国聚合物网上。
欢迎加入微信群 为满足高分子产学研各界同仁的要求,陆续开通了包括高分子专家学者群在内的几十个专项交流群,也包括高分子产业技术、企业家、博士、研究生、媒体期刊会展协会等群,全覆盖高分子产业或领域。目前汇聚了国内外高校科研院所及企业研发中心的上万名顶尖的专家学者、技术人员及企业家。
申请入群,请先加审核微信号PolymerChina(或长按下方二维码),并请一定注明:高分子+姓名+单位+职称(或学位)+领域(或行业),否则不予受理,资格经过审核后入相关专业群。
点
这里“阅读原文”,查看更多


