2020年全球塑料用品产量接近3.67亿吨,其中接近60%塑料被排放到环境中。回顾过去五年,塑料产量以9-14亿吨/年速度逐年增长。由于其难降解、难被分解的特性,环境中的塑料不断蓄积,已持续威胁人类健康和生态安全,越小尺寸的微塑料颗粒往往表现出越高的生物毒性和环境风险。因此,微塑料(microplastics, 1 μm−5 mm)和纳米塑料(nanoplastics,< 1,000 nm)的环境行为和环境风险备受关注。微塑料无处不在已经成为事实,科学家们已经在喜马拉雅山脉、马里亚纳海沟、南北极、土壤、大气、水、生物体内都检测出有微塑料的存在。为了破译塑料的全球命运,解释上述环境中塑料颗粒的传输逻辑和环境行为,需要提供更加准确、更加丰富的塑料颗粒在各种环境介质中的各种信息。
由于缺少有效分离、定量、表征实际环境中低浓度、小尺寸塑料颗粒的方法,所以科学界对于纳米/微米塑料在实际环境中的环境行为以及与其他污染物的相互作用的了解仍不足够。本研究开发了一种新的适用于从土壤样品中有效提取和分离各种纳米/微米塑料颗粒的密度梯度离心法(Density gradient ultracentrifugation, DGU),可同时分离聚苯乙烯(PS)、尼龙(PA)、聚甲基丙烯酸甲酯(PMMA)、聚碳酸酯(PC)、聚氯乙烯(PVC)和聚乙二醇对苯二甲酸乙二醇酯(PET)。这套方法利用CsCl/H2O建立密度梯度介质,密度范围为1.0 ~ 2.2 g/mL。这种方法最快可在30分钟内将复杂样品中不同种类的微纳米塑料进行无损提取并分离,结合Py-GC-MS, SEM, Raman以及TGA/DSC进行定性、定量分析。该方法最小可提取、分离50 nm纳米塑料颗粒,具有高选择性(100%)和高回收率(78.5%-96.0%),为探究纳米塑料的环境行为提供了有效手段。
除去塑料颗粒,土壤样品中包含的的其他物质,如砂石、腐殖质、植物等,均会在提取塑料颗粒的过程中造成干扰。DGU法可以根据目标塑料颗粒密度的不同,分离、鉴定不同种类的塑料,具体流程如图1所示。通过离心,不同种类的塑料被分离滞留于不同密度层,可取样进行定性定量或表征检测。
图1: 采用DGU法对土壤样品中的NMPs进行提取、分离和分析,然后采用Py-GC-MS、Raman、TGA/DSC和SEM。
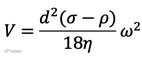
在DGU法中,在离心过程中作用在粒子上的力共有四种:离心力(Fc=mpω2r)、重力(重力很小,在大多数情况下可以忽略不计)、浮力(Fb=-mpω2rσ/ρ)和摩擦力(Ff=-fv)。其中,σ和ρ分别表示粒子和分离介质的密度,mp为粒子的质量(mp=πd3ρ/6,对于直径为d的球形粒子来说),ω角速度,r粒子的离心半径,f摩擦系数(f=3πηd,η为粘度),υ为粒子的离心速度。离心开始,处于离心管顶端的粒子在离心里的作用下向下运动,处在离心管底部的粒子会在浮力的作用下向上运动,直至三力平衡 Fc+Fb+Ff=0,因此得到
在这项工作中,主要使用DGU对不同密度的不同类型塑料颗粒进行分离。因此,当力达到平衡(ν=0)时,塑料粒子所在介质的密度与这种类型的塑料颗粒相同((σ-ρ)=0)。为了快速达到平衡,他们使用了低粘度(接近水)的CsCl/H2O溶液。CsCl溶液密度范围宽,满足分离要求。根据上述规则,他们可以结合公式和现实需求对DGU进行修改和优化。此外,DGU方法的分离性能仅取决于目标塑料颗粒的密度,与它们的大小和形状无关。
六种塑料混合物经DGU分离后产生了五个明显的白色条带(如图2A所示),对比6种目标塑料标准Raman谱图(如图2B),可以确定上四层(从上至下)分别是PS (1.06 g/cm3), PA (1.13-1.15 g/cm3), PMMA (1.18 g/cm3)和PC (1.18-1.20 g/cm3),第五层是PVC (1.36 g/cm3)和PET (1.35 g/cm3)的混合物。离子色谱被用于确定CsCl水溶液与对应溶液的密度的关系,绘制对应曲线,如图2C所示。基于此,距离液面5-65 mm范围的离心管密度分布以间隔1 mm的采样距离被描绘出来,如图2D所示。此结果与塑料颗粒试剂密度完全匹配,因此,表明该方法不仅可以提取、分离环境样品中不同种类的纳米/微米塑料,同时可以基于密度范围判断塑料的种类。
图2:进行DGU后,6种纳米/微米塑料混合物在离心管中的分布。(A) DGU分离六种塑料颗粒混合物后的离心管; (B)对应层收集的样品拉曼光谱数据; (C) Cs+峰面积-密度校准曲线(y = 0.4914x + 1.01); (D) DGU梯度介质的密度分布(40,000 rpm, 20°C离心18 h后)。
他们对环境土壤样品中混入纳米/微米塑料标准品后再提取的实验证明了DGU这种方法对实际样品的适用性。如图3所示,成功将纳米/微米塑料从土壤中分离回收,同时,离心后土壤中未检测到塑料的信号,证实了该方法对于土壤中纳米/微米塑料的有效性。该方法实现了高密度分辨率 (0.00065–0.01989 g·mL–1·mm–1),并且能够根据其密度预测特定纳米/微米塑料的位置。
图3:土壤中纳米/微米塑料的DGU分离。(A) DGU分离纳米/微米塑料后的离心管; (B) PS纳米塑料和91 m/z(1,3,5-三苯基环己烷,见本文支撑材料)在土壤样品中100 μg NPs的DGU分离后的离心管信号强度与位置关系曲线; (C和D) 经DGU方法提取后,土壤中PS纳米塑料的SEM图像。
在文中也介绍了一种mini-DGU方法,可以使用普通台式离心机在2 mL离心管中有效分离密度相似的两种纳米/微米塑料,例如PVC和PET。此外,该方法广泛适用于各种塑料颗粒的尺寸,理论上低至1 nm。这种DGU方法可以消除基于视觉识别、Raman、FT-IR、Py-GC-MS 和SEM的颗粒物干扰。总体而言,该方法可以接近80%的回收率与上述所有纳米/微米塑料分析仪器配套使用,与先前的前处理方法相比,所消耗的时间(30 min)成本和金钱成本都更低。
DGU是一种无损分离提取方法,可用于分离和纯化形成蛋白质电晕和生态电晕的纳米塑料。因此,塑料颗粒的偶联物可以被原位表征,并且可以探索它们的结合机制。DGU在复杂样品中表现良好,在监测水系统中的纳米/微米塑料污染方面也具有很大的竞争力。DGU 方法同样适用于探索纳米塑料与生物分子和其他污染物的相互作用。
感谢聂颖(西湖大学物质科学实验技术平台)关于STA的技术支持;感谢于珍珍(西湖大学公用仪器与洗消供应平台)关于超速离心机的技术支持;感谢王彦婷(浙江大学)关于实验设计的讨论;感谢李凌、张岩岩、王蕾和鞠峰提供实验空间和相应的仪器设备。
该课题得到了西湖教育基金的资助。
原文链接:
https://pubs.acs.org/doi/10.1021/acs.analchem.2c02543
来源:西湖大学工学院SOE
相关进展
阿德莱德大学王少彬教授、南昆士兰大学王浩教授团队《Prog. Mater. Sci.》综述:环境中的微塑料问题和战略解决方案
西湖大学鞠峰团队《Nat. Commun.》: 聚氯乙烯塑料微生物降解的研究
四川大学张新星教授团队《Nano lett.》:强韧化可修复的光驱动软体机器人用于吸附微塑料
中南大学林璋教授课题组 Angew:自然界对微塑料自净化的奥秘 - 冰中微塑料的超常规降解
免责声明:部分资料来源于网络,转载的目的在于传递更多信息及分享,并不意味着赞同其观点或证实其真实性,也不构成其他建议。仅提供交流平台,不为其版权负责。如涉及侵权,请联系我们及时修改或删除。邮箱:info@polymer.cn
诚邀投稿
欢迎专家学者提供稿件(论文、项目介绍、新技术、学术交流、单位新闻、参会信息、招聘招生等)至info@polymer.cn,并请注明详细联系信息。高分子科技®会及时推送,并同时发布在中国聚合物网上。
欢迎加入微信群 为满足高分子产学研各界同仁的要求,陆续开通了包括高分子专家学者群在内的几十个专项交流群,也包括高分子产业技术、企业家、博士、研究生、媒体期刊会展协会等群,全覆盖高分子产业或领域。目前汇聚了国内外高校科研院所及企业研发中心的上万名顶尖的专家学者、技术人员及企业家。
申请入群,请先加审核微信号PolymerChina(或长按下方二维码),并请一定注明:高分子+姓名+单位+职称(或学位)+领域(或行业),否则不予受理,资格经过审核后入相关专业群。
点
这里“阅读原文”,查看更多


