
心力衰竭(HF)是一种临床综合征,HF患者在确诊后一年和五年内的死亡率分别约为20%和53%。约17%-45%的HF住院患者在入院一年内死亡,只有不到一半的患者能够存活五年以上。因此,早期诊断对于HF疾病的早期治疗至关重要。脑利钠肽或B型利钠肽(BNP)是一种心脏神经激素,是通过监测心衰治疗和预防心源性急性呼吸困难的发生来诊断心衰的最重要的心脏生物标志物之一。健康个体血液中BNP 浓度极低,约为20 pg mL−1,重度充血性心衰患者浓度升至约2 ng mL−1。目前已开发的用于BNP检测的方法很多,然而,由于早期心衰患者血液中BNP的含量很低,同时在体内的半衰期很短(约22 min),目前大多数检测方法不能满足快速、准确的要求。因此,开发一种快速、可靠、高灵敏度和高准确度的BNP检测方法具有重要的研究意义。
抗体、RNA/DNA适配体等亲和试剂由于具有特定的亲和力和选择性而被广泛应用于BNP的检测,然而这些生物大分子存在价格昂贵、不稳定、易失活等局限性,从而限制了其临床应用。分子印迹聚合物(MIP),通常称为塑料抗体,具有制备简单、成本低、稳定性高等优点,是生物亲和试剂经济高效的替代品。
为了合成对特定目标物具有高亲和力和选择性的MIP,最佳单体配方的选择至关重要。目前,研究者已开发出基于HPLC、流动注射分析或酶联免疫吸附等方法实现最佳配方的快速筛选。尽管取得了良好的效果,但合成的MIP颗粒的印迹位点具有类似于生物多克隆抗体的异质性。
近日,北京化工大学吕永琴教授等人在Advanced Healthcare Materials上发表了基于固相印迹法筛选合成可选择性靶向B型利钠肽(BNP)的分子印迹纳米颗粒的新方法。如图1所示,作者使用磁性固相模板,基于固相印迹法筛选合成出含有均匀印迹结合位点的分子印迹聚合物纳米颗粒(nanoMIP)。通过在nanoMIP合成中引入荧光单体荧光素丙烯酰胺(FAM)以实现纳米颗粒的荧光示踪,进而评估不同配方合成的nanoMIP对BNP的结合性能,最终筛选出了nanoMIP的最佳合成配方。将荧光碳量子点(CD)包裹到MIP纳米颗粒中,可以快速、灵敏和准确地测定血液样本中BNP的含量。本研究提供了一个很有前景的诊断平台,基于固相印迹方法筛选合成MIP纳米颗粒,实现复杂生物样品中生物标志物的特异性识别和快速检测。

图1. (a)BNP的氨基酸序列结构;(b)通过将表位多肽固定在SMCC功能化的磁性纳米颗粒上制备磁性模板的过程示意图;(c)荧光FAM-MIP纳米颗粒的合成过程;(d)MIP纳米颗粒包裹碳量子点的合成过程;(e)荧光法检测血清样品中的BNP。
固相多肽模板的合成过程如图1b所示,首先合成Fe3O4磁性颗粒,然后在磁性颗粒表面包覆二氧化硅壳,进一步修饰氨基,通过表面氨基与SMCC反应,引入马来酰亚胺基团来结合模板肽。如图2所示,通过SEM、TEM、DLS、FTIR、XRD和Zeta电位等多种表征手段证明了磁性模板的成功合成。

图2. (a)magNP(b)magNP@SiO2和(c)磁性模板(magNP-P)的SEM图;(d)magNP@SiO2 TEM图;magNP,magNP@SiO2,magNP@SiO2-NH2和magNP-P的(e)粒径分布、(f)FTIR光谱、(g)XRD图谱、(h)XPS元素分析、(i)Zeta电位和(j)VSM曲线。
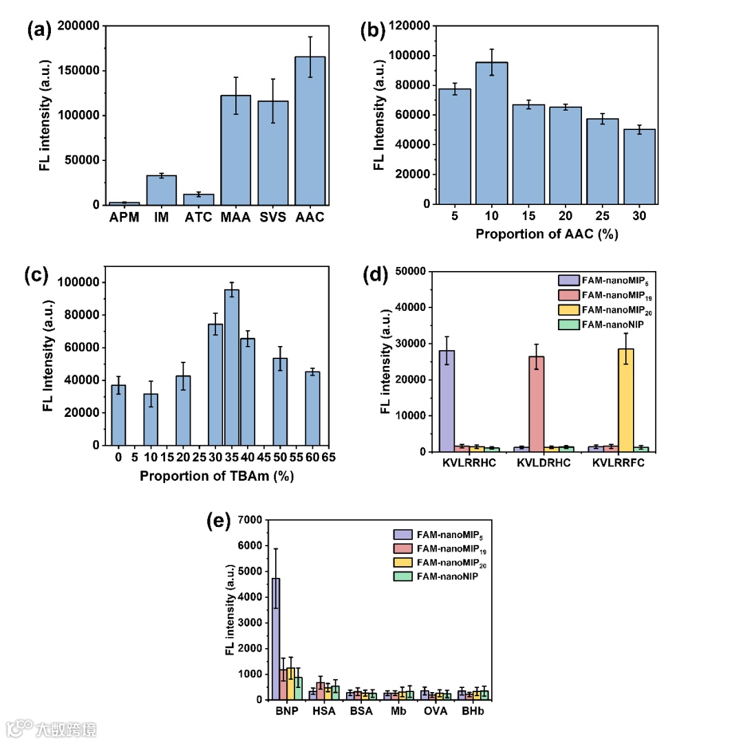
图1c阐明了基于磁性模板的固相印迹法筛选、合成和纯化荧光纳米MIP的原理。为了制备具有高亲和力的nanoMIP,构建了功能单体组合化学文库。将基于不同配方合成的荧光nanoMIP与磁性模板在96孔板中孵育,磁性分离后再与游离的多肽或蛋白质孵育,则游离的多肽或蛋白质会与磁性固相模板竞争与荧光纳米颗粒结合。磁分离后,测定残余分散液的荧光强度,其强度的高低反映了不同nanoMIP对多肽和蛋白质的亲和力。基于固相印迹筛选方法,最终确定最佳单体配方是10% AAc﹑35% TBAm和53% NIPAm。由图3可以看出,基于最佳配方合成的nanoMIP对于目标多肽以及目标BNP具有良好的特异性和选择性。

图3. (a-c)通过使用磁性模板和荧光FAM单体的竞争荧光分析对MIP合成配方进行组合筛选;(d-e)纳米颗粒对干扰肽、BNP和干扰蛋白(HSA、BSA、Mb、OVA和BHb)的结合特异性。
基于最佳单体配方合成的nanoMIP的表征结果如图4所示。BLI测试结果表明,所得nanoMIP对BNP表现出高亲和力和选择性,平衡解离常数(KD)达10−11 M,可在7分钟内实现BNP的快速检测,检测线性范围为0.25至5000 pg mL−1,检测限为0.208 pg mL−1。为证明其在临床诊断中的实用性,作者对160例真实血清样本进行了检测分析,如图5所示,与医院常规使用的电化学发光检测方法相比,该检测方法的相对标准偏差为0.08%-4.43%,相对误差为-5%-4.98%,相关系数为0.994。

图4.(a-d)纳米颗粒的SEM和TEM图;(e)粒径分布;(f)Zeta电位;(g)FTIR光谱;(h)XPS元素分析和(i)奈奎斯特图。

与已报道的检测方法相比,该方法的创新性和优点包括:1)开发了一种基于固相印迹方法筛选合成含有均匀印迹位点的分子印迹人工抗体的新方法;2)利用低成本﹑高稳定性的分子印迹人工抗体替代价格昂贵﹑易失活﹑不稳定的蛋白质抗体;3)开发了一种可快速﹑准确检测BNP的新方法,该方法可在7分钟内完成对血清样品中低浓度BNP的快速检测,检测方法具有高灵敏度和准确性。
相关论文发表在Advanced Healthcare Materials上,北京化工大学研究生张子楹和中日友好医院检验科马亮副主任为共同第一作者,吕永琴教授为通讯作者。
原文链接:
https://onlinelibrary.wiley.com/doi/10.1002/adhm.202300146
通讯作者简介

吕永琴,北京化工大学生命科学与技术学院教授,博士生导师,国家优秀青年基金获得者,北京市生物加工过程重点实验室副主任。主要在生物化工领域从事以下三个研究方向:(1) 限域微环境调控生物酶催化;(2) 光/电驱动生物催化;(3) 仿生抗体工程及疾病诊疗。相关研究成果发表论文70余篇,申请发明专利二十余项。先后主持了国家、省部级及企业合作项目十余项。获侯德榜化工科学技术奖青年奖、教育部自然科学奖二等奖、石油化工联合会技术发明奖一等奖等奖项。
相关进展
南京大学刘震教授团队《ACS Nano》:基于纳米分子印迹聚合物的蛋白药物递送系统
哈尔滨工业大学杨鑫教授课题组基于有机共价骨架合成分子印迹聚合物在特异性识别花色苷上取得重大突破
南开大学张拥军教授课题组在蛋白分子印迹方面取得突破
中科院新疆理化所张亚刚研究员团队在棉酚分子印迹聚合物领域取得研究进展
高分子科技原创文章。欢迎个人转发和分享,刊物或媒体如需转载,请联系邮箱:info@polymer.cn
欢迎专家学者提供稿件(论文、项目介绍、新技术、学术交流、单位新闻、参会信息、招聘招生等)至info@polymer.cn,并请注明详细联系信息。高分子科技®会及时推送,并同时发布在中国聚合物网上。
欢迎加入微信群 为满足高分子产学研各界同仁的要求,陆续开通了包括高分子专家学者群在内的几十个专项交流群,也包括高分子产业技术、企业家、博士、研究生、媒体期刊会展协会等群,全覆盖高分子产业或领域。目前汇聚了国内外高校科研院所及企业研发中心的上万名顶尖的专家学者、技术人员及企业家。
申请入群,请先加审核微信号PolymerChina (或长按下方二维码),并请一定注明:高分子+姓名+单位+职称(或学位)+领域(或行业),否则不予受理,资格经过审核后入相关专业群。