
聚两性电解质水凝胶(PA胶)由溶胀于水的随机分散的阳离子和阴离子重复单元的聚合物网络构成。在平衡电荷条件下,随机分散的阳离子和阴离子重复单元通过链间和链内正负电荷吸引作用聚集形成宽强度分布的多重离子键,从而使PA胶形成由来自共价键或拓扑缠结构筑的主网络及动态离子键构筑的动态网络双重交联体系。双重交联结构不仅赋予PA胶在观察时间尺度内表现出强粘弹性,自修复性,还增强了其韧性和强度。因而,PA胶拥有高韧性(可与骨骼肌媲美)和多级强抗疲劳。同时,PA胶表现出优异的生物相容性、生物粘附性和抗生物污染性能,具有巨大的潜能应用于结构生物材料。
众所周知,高浓度盐溶液使离子动态键构筑的高韧性水凝胶溶胀且变脆变弱。厘清此类水凝胶在盐溶液中的动态机械行为对于其应用至关重要,尤其是在生物医学领域。为此,北海道大学龚剑萍教授团队联合四川大学罗锋副研究员以PA胶为模型体系,阐述了盐浓度对流变响应和机械行为的影响。通过对一种主网络只由拓扑缠结网络构成的PA胶(PA-p)和一种主网络由化学交联和拓扑缠结网络构成的PA胶(PA-c)的系统研究,该团队证明了盐对机械性能(包括小应变模量、大变形能量耗散和断裂拉伸比)的影响,可以有效地转化为频率或应变率依赖性,遵循时间-盐叠加原理 (time-salt superposition principle)。因此,他们在室温下能够实现从10-11到102 rad/s 的宽泛观测时间尺度,涵盖三个区域:(I) 来自动态和初级网络的高频平台区,(II)来自离子缔合的 Sticky Rouse 运动的粘弹性区,以及 (III) 来自主网络的低频平台区。此外,他们也加深了在长时间尺度区间III的拓扑缠结解缠结行为的理解。这项工作不仅为水凝胶在盐水环境中的生物学应用提供了指导,而且为其他具有双重交联动态结构系统的增韧机制提供了重要的见解。该工作以题为《Effect of salt on dynamic mechanical behaviors of polyampholyte hydrogels》发表在《Macromolecules》上。

图1. 盐溶液对(a)主网络只由拓扑缠结网络构成的PA胶(PA-p)和 (b)主网络由化学交联和拓扑缠结网络构成的PA胶(PA-c)的影响的图示。浸入 NaCl 溶液后,PA胶溶胀。以水平衡凝胶(salt-free)为参考状态(长度溶胀比=1),盐平衡水凝胶的长度溶胀比为λs。

图2. 盐浓度 (CNaCl) 对平衡 PA 凝胶的外观和溶胀行为的影响。

图 3. PA-p 和 PA-c 在 25 ℃ 下在不同盐浓度 CNaCl 中平衡后的动态机械行为。

图 4. 通过时间-盐叠加原则构建的动态机械行为的master curve曲线以及相应的平移因子asalt。

图 5. 单轴拉伸大应变机械行为遵循时间-盐叠加原则。


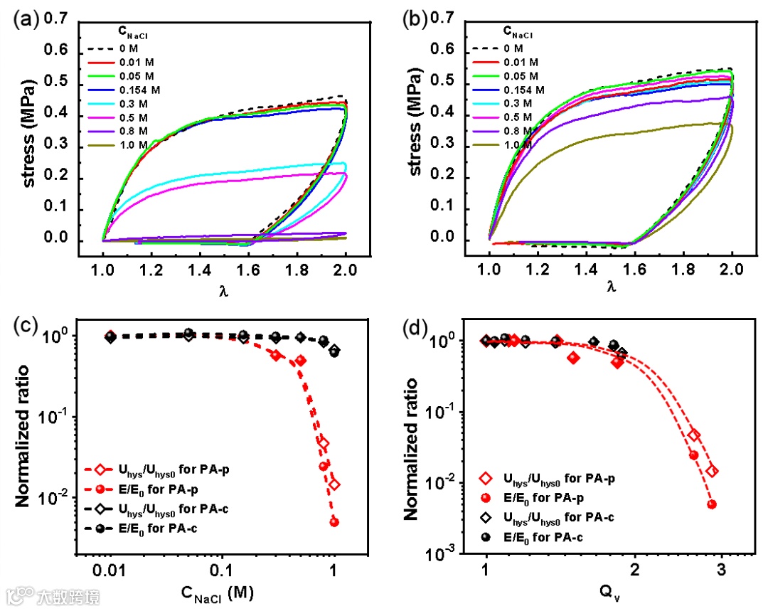
图 7. 未变形的盐平衡凝胶在水中重新透析去除盐离达到再平衡的力学行为可逆性探究。
原文链接:
https://pubs.acs.org/doi/10.1021/acs.macromol.2c02003
相关进展
高分子科技原创文章。欢迎个人转发和分享,刊物或媒体如需转载,请联系邮箱:info@polymer.cn
欢迎专家学者提供稿件(论文、项目介绍、新技术、学术交流、单位新闻、参会信息、招聘招生等)至info@polymer.cn,并请注明详细联系信息。高分子科技®会及时推送,并同时发布在中国聚合物网上。
欢迎加入微信群 为满足高分子产学研各界同仁的要求,陆续开通了包括高分子专家学者群在内的几十个专项交流群,也包括高分子产业技术、企业家、博士、研究生、媒体期刊会展协会等群,全覆盖高分子产业或领域。目前汇聚了国内外高校科研院所及企业研发中心的上万名顶尖的专家学者、技术人员及企业家。
申请入群,请先加审核微信号PolymerChina(或长按下方二维码),并请一定注明:高分子+姓名+单位+职称(或学位)+领域(或行业),否则不予受理,资格经过审核后入相关专业群。