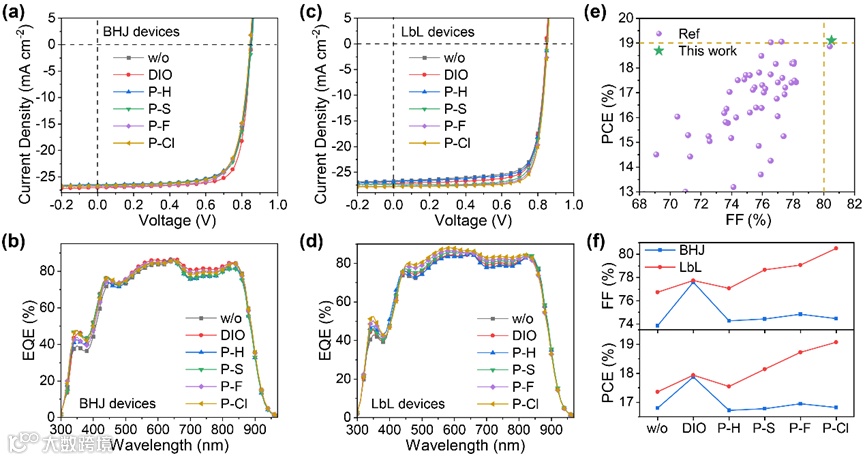
得益于非富勒烯受体(NFAs)材料和器件工艺的开发,有机太阳能电池(OSCs)在过去几年发展十分迅速,能量转换效率(PCE)已经超过了19%,显示了巨大的商业前景。主流的有机太阳能电池活性层为给受体材料共混的本体异质结(BHJ)结构,通过溶液制备过程中自发的相分离形成双连续互穿网络,以利于激子扩散和解离、电荷转移和收集。尽管本体异质结活性层的形貌调控已经取得了重大进展,但如何精确控制其形貌仍然具有挑战性。与之相比,逐层沉积(LbL)给受体材料工艺可以独立优化每层的微观结构,能够克服给体和受体材料之间的热力学互溶所引起的不相容性,拓宽了形貌调控的空间。与此同时,活性层形成了更有利于电荷传输的垂直相分布,也有利于抑制双分子电荷复合并提高电荷收集效率。基于这些优势,LbL-OSCs在不久的将来具有大规模制备大面积器件的潜力。尽管如此,对于LbL-OSCs活性层形貌的调控还缺乏深入研究,其能量转换效率还具有较大提升空间。
原文链接:
https://onlinelibrary.wiley.com/doi/10.1002/adma.202208279
相关进展
免责声明:部分资料来源于网络,转载的目的在于传递更多信息及分享,并不意味着赞同其观点或证实其真实性,也不构成其他建议。仅提供交流平台,不为其版权负责。如涉及侵权,请联系我们及时修改或删除。邮箱:info@polymer.cn
诚邀投稿
欢迎专家学者提供稿件(论文、项目介绍、新技术、学术交流、单位新闻、参会信息、招聘招生等)至info@polymer.cn,并请注明详细联系信息。高分子科技®会及时推送,并同时发布在中国聚合物网上。
欢迎加入微信群 为满足高分子产学研各界同仁的要求,陆续开通了包括高分子专家学者群在内的几十个专项交流群,也包括高分子产业技术、企业家、博士、研究生、媒体期刊会展协会等群,全覆盖高分子产业或领域。目前汇聚了国内外高校科研院所及企业研发中心的上万名顶尖的专家学者、技术人员及企业家。
申请入群,请先加审核微信号PolymerChina (或长按下方二维码),并请一定注明:高分子+姓名+单位+职称(或学位)+领域(或行业),否则不予受理,资格经过审核后入相关专业群。
点
这里“阅读原文”,查看更多


