
聚合物纳米复合材料(PNCs)的粒子界面层拥有独特的性质:较高的玻璃化温度,较慢的链段运动。该界面层对该材料的流变和力学性质至关重要。根据该界面层分子链段的运动能力,进一步将其细分为束缚层(bound layer)和黏弹层(Viscoelastic layer)。加工过程使该界面层的分子链解吸附、解缠结,停止加工以后分子链又会重新吸附、缠结,因此,加工历史可以调控该界面层厚度。然而,如何准确地测量该界面层的厚度,尤其是黏弾层的动态演变仍然极具挑战。
为了解决以上问题,本研究选用各向异性纳米粒子——纳米纤维/聚合物体系,巧妙地设计出“预剪切-松弛-反向剪切”流变实验方法,观察到该体系在反向剪切过程中的黏度过冲峰依赖于设定的松弛时间,结合本组球状纳米粒子/聚合物复合体系的研究基础(Macromolecules 2019, 52, 9094-9104; Macromolecules 2021, 54, 5484-5497; Macromolecules 2021, 54, 824-834; Macromolecules 2022, 55, 8834–8845; Macromolecules 2023, 56, 934–946.),并借鉴本组纤维体系理论进展(Journal of Rheology, 2021, 65, 1169-1185;Journal of Rheology, 2021, 65, 291-309.),成功解释了该现象且计算出纳米纤维在不同松弛时间下的有效流体力学尺寸及界面层厚度,进一步获得了在加工停止后纳米粒子界面层厚度的恢复动力学。本研究的创新点在于,提出了一种测量纳米粒子界面黏弾层厚度的流变学方法,并应用该方法研究界面层在加工停止后的恢复动力学。
本研究选用具有强界面吸附性质的海泡石(Sepiolite)作为纳米纤维填料,聚乳酸(PLA)作为聚合物基体,其电镜照片如图1所示。“预剪切-松弛-反向剪切”的流变实验方法如图2所示。

图1. a) 样品切片及淬断位置。b) 4.0 wt% (2.3 vol%) PLA/NF复合材料的TEM照片。c) 4.0 wt% (2.3 vol%) PLA/NF复合材料的SEM照片。

图2. “预剪切-松弛-反向剪切”流变实验方法的示意图。
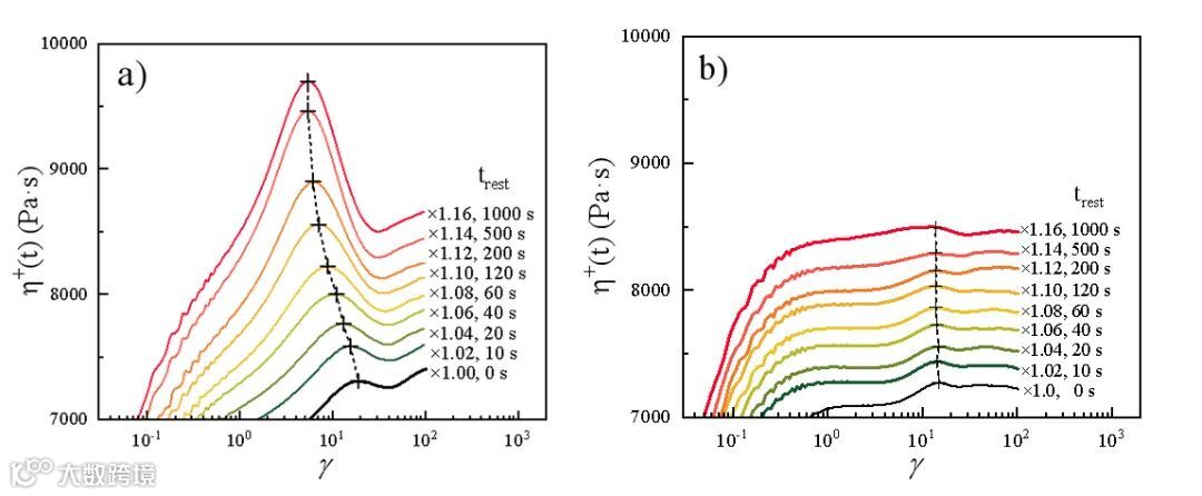
随着松弛阶段时间trest的增加,本研究发现其反向剪切的黏度过冲峰的应变γovershoot变小、过冲峰强度ηovershoot/ηsteady变大,如图3a, 4a-b所示。然而,对于无界面吸附的纳米纤维/聚合物体系,上述反向过冲峰与松弛时间的依赖性消失,如图3b,4a-b所示。经过上述对比、并配合多种实验和计算方法排除如布朗运动、界面层拉伸等干扰项后,本研究认为该过冲峰与松弛阶段时间trest的依赖关系与界面层有关。

图3.反向剪切的流变实验,实验温度为162 °C。所有样品需要先经过100应变的预剪切,然后并松弛0~1000秒,再进行反向剪切。预剪切预反向剪切的剪切速率均为
。a) 4 wt% (2.3 vol%) PLA/NF复合材料。b) 4 wt% PLA/mNF复合材料。

图4. a) 反向剪切过程中的粘度过冲峰应变γovershoot;b) 反向剪切过程中的粘度过冲强度ηovershoot/ηsteady 。
本研究提出的机理如图5所示:该体系经过剪切以后,界面层的分子链解缠结、解吸附的行为降低了纳米纤维的有效流体力学直径、增加了其有效长径比,根据纤维碰撞理论则会增加纤维发生碰撞的应变,此时反向剪切过程中的粘度过冲应变γovershoot最大;相反,在剪切停止后随松弛时间的增加,界面层的分子链重新缠结、吸附的行为增加了纳米纤维的有效流体力学直径、降低了其有效长径比,从而降低了纤维发生碰撞的应变,因此反向剪切过程中的黏度过冲应变γovershoot随时间降低。

图5. a) 纯聚合物熔体剪切诱导解缠结/重新缠结的示意图。b) 示意图:在剪切与松弛过程,纳米纤维界面层出现剪切诱导解缠结、解吸附过程,与此同时,该界面层出现松弛导致的重新缠结、重新吸附过程,这两种过程共同决定纳米纤维的有效流体力学直径。
基于该机理,本研究结合纤维碰撞理论构建了纳米纤维/聚合物体系的反向过冲应变γovershoot与纳米纤维界面层厚度ιint的关系,如图6a所示。应用该关系,本研究获得了该体系在加工停止后纳米粒子界面层厚度的恢复动力学,并且进一步发现界面层厚度的恢复过程由高分子链的重新缠结速率决定,如图6b所示。

图6. (a) 粘度过冲应变γovershoot与有效流体力学界面层厚度ιint的关系。(b) 停止剪切后,PLA/NF复合体系中纳米纤维界面层厚度的回复过程。
本研究所提出的研究纳米纤维界面层的流变学方法、相关机理及动力学对聚合物纳米复合材料加工理论的研究和应用具有广泛的借鉴意义。
该工作以“Revealing the Shear Effect on the Interfacial Layer in Polymer Nanocomposites through Nanofiber Reorientation”为题发表在《Macromolecules》上(April 12, 2023)。论文的第一作者是上海交通大学与金发科技公司联合培养博士后李本科博士,其从事纤维、聚合物流变学研究并已发表多篇论文(Journal of Rheology, 2021, 65, 1169-1185;Journal of Rheology, 2021, 65, 291-309;Journal of Rheology, 2020, 64, 177-190.)。通讯作者为上海交通大学化学化工学院流变学研究所俞炜教授和金发科技中央研究院院长兼首席技术官黄险波博士。第一完成单位是上海交通大学,第二完成单位是金发科技有限公司。该研究得到国家自然科学基金、金发科技公司、荷兰聚合物研究所(Dutch Polymer Institute,DPI)的支持。
原文链接:
https://doi.org/10.1021/acs.macromol.2c02121
相关进展
上海交大刘思俊/俞炜团队 ACS AMI:基于多层级能量耗散复合水凝胶的新型柔性防护材料
上海交大俞炜教授和尤伟助理研究员团队:构建团聚纳米粒子/高分子复合材料特征结构参数和模量增强定量关系的流变学本构模型
上海交通大学颜徐州研究员/俞炜教授/谷国迎教授JACS:冲击防护超分子聚合物材料
上海交通大学俞炜教授团队:聚合物纳米复合材料中纳米粒子的受限扩散和慢松弛线性黏弹性行为
高分子科技原创文章。欢迎个人转发和分享,刊物或媒体如需转载,请联系邮箱:info@polymer.cn
欢迎专家学者提供稿件(论文、项目介绍、新技术、学术交流、单位新闻、参会信息、招聘招生等)至info@polymer.cn,并请注明详细联系信息。高分子科技®会及时推送,并同时发布在中国聚合物网上。
欢迎加入微信群 为满足高分子产学研各界同仁的要求,陆续开通了包括高分子专家学者群在内的几十个专项交流群,也包括高分子产业技术、企业家、博士、研究生、媒体期刊会展协会等群,全覆盖高分子产业或领域。目前汇聚了国内外高校科研院所及企业研发中心的上万名顶尖的专家学者、技术人员及企业家。
申请入群,请先加审核微信号PolymerChina(或长按下方二维码),并请一定注明:高分子+姓名+单位+职称(或学位)+领域(或行业),否则不予受理,资格经过审核后入相关专业群。