
由于人口持续增长、工业快速发展和水体污染,全球淡水短缺问题日益凸显。各种海水淡化和污水处理技术例如反渗透和膜蒸馏等被开发用于淡水生产,然而这些技术大多存在资本投入密集,以及依赖并消耗大量化石能源的缺点。近年来,太阳能界面蒸发技术由于环境友好和投资成本低等特点,被视为最具发展前景的淡水生产技术之一。相较于传统的底部加热和整体加热模式,界面加热将蒸发器固定在空气-水界面处,减小热损失,从而提高光-蒸汽转换效率。然而当水体被不可生物降解的有毒有机物污染时,光热蒸发将导致有机物在母液中富集或进入蒸馏水,给环境和健康带来危害。例如,四环素(TC)作为一种常见的抗生素被广泛用于人类和动物感染的治疗,近年来在各种环境基质中被频繁检测到,对生态安全造成严重威胁。
为解决上述问题,人们在太阳能界面蒸发和污染物降解相结合的方面做了很大努力。高级氧化技术(Advanced Oxidation Process,AOP)是利用活性氧(Reactive Oxidative Species,ROS)对有机污染物进行氧化分解的重要方法,包括光催化氧化、芬顿氧化和过硫酸盐活化氧化等。近年来,太阳能界面蒸发和光催化技术的结合受到广泛关注,其中光热材料通常吸收长波光子进行光热蒸发,半导体光催化剂通常吸收短波光子进行污染物的降解。然而,光热材料和光催化剂通常是两种独立的材料,导致蒸发器设计复杂且不利于太阳能高效利用。另一种新兴的策略是将太阳能界面蒸发和基于硫酸根自由基的AOP(Sulfate Radical-based AOP,SR-AOP)结合。SR-AOP具有半衰期长、氧化还原电位高和选择性高等优点,在构建协同的光热-催化体系方面受到关注。在光热蒸发和SR-AOP的集成设计中,光热材料产生的局部热量和催化剂活性位点协同的加速了过硫酸盐例如过一硫酸盐(PMS,HSO5−)的活化以产生ROS降解污染物。然而,目前界面蒸发中的催化剂暴露的活性位点数量有限,不利于高效催化。开发集高多孔结构、暴露活性位点和光热催化性能于一体的蒸发器是问题的核心,但仍然是一个巨大的挑战。
金属-有机框架材料(Metal-Organic Frameworks,MOFs)是一类由金属离子/团簇和有机配体组成的晶态多孔材料,具有比表面积高、孔径可调节、组成和结构可设计等特点,被广泛应用于多相催化、气体分离、传感、能量储存和转化等领域。钴基MOFs被证明是高效的SR-AOPs催化剂,其中均匀分布的钴离子作为PMS活化的催化位点。因此,合理设计具有高比表面积、高效光热转换和丰富的SR-AOP催化位点的“多合一”功能的MOF,以实现光热蒸发和AOP的高效协同,是实现淡水生产和污染物降解的一种有效途径,但目前这方面的工作还未被报道。
在最近的工作中(Applied Catalysis B: Environmental 337 (2023) 123001,影响因子为24.319),他们制备了一种钴基MOF(即Co-CAT),将其涂覆在棉布上并以泡沫为基底,得到双功能蒸发器用于太阳能界面蒸发和AOP催化降解TC(图1)。Co-CAT是通过配体HHTP(C18H12O6)和金属盐醋酸钴在水溶液中加热反应形成的,将洗涤和干燥后的Co-CAT经过球磨成粉末。将Co-CAT粉末涂覆在棉布上,并以聚苯乙烯(PS)泡沫为漂浮基体,制备得到Co-CAT蒸发器。
对合成的Co-CAT进行结构性质表征(图2)。通过SEM和TEM表征Co-CAT的形貌和微观结构。Co-CAT从宏观上看为黑色粉末,从微观上看为形状不规则的颗粒,这是球磨导致的。高分辨TEM图显示出间距为1.68 nm的晶格条纹,对应于Co-CAT的(100)晶面。由N2吸附-脱附等温曲线可知Co-CAT具有较高的BET比表面积(418 m2 g−1)和丰富的微孔。DFT模型孔径分布曲线显示Co-CAT孔径主要集中在1.4 nm,接近于理论孔径1.2 nm,少部分介孔孔径位于2.4和4.4 nm。Co-CAT的高比表面积和丰富微孔有利于太阳光吸收、水蒸发焓降低和质量传递。在固态13C NMR图谱中,位于109、127和144 ppm的化学位移分别对应于有机配体HHTP中三种不同化学环境的碳原子,表明合成的Co-CAT具有预期化学结构。此外,制备的Co-CAT的XRD图谱与标准图谱吻合,说明合成的Co-CAT具有预期晶体结构。
测试Co-CAT蒸发器的光热水蒸发性能(图3)。光热蒸发测试装置由太阳光模拟器和电子天平组成。在1 kW m−2光强照射下,TC溶液的质量损失与时间呈线性关系。实验结果表明,使用Co-CAT蒸发器和进一步加入PMS时的水蒸发速率分别为2.13 kg m−2 h−1和2.17 kg m−2 h−1,明显高于不使用蒸发器时的水蒸发速率(0.65 kg m−2 h−1)和使用棉布(Cotton)蒸发器时的水蒸发速率(0.78 kg m−2 h−1)。Co-CAT蒸发器在20次蒸发测试中,水蒸发速率始终保持在2.1 kg m−2 h−1以上,表明Co-CAT蒸发器具有良好的循环使用稳定性。此外,Co-CAT蒸发器的光-蒸汽转换效率为97.6%,和一些已报道的蒸发器相比具有突出的光热蒸发性能。
以TC为降解对象,测试Co-CAT蒸发器在PMS作用下的催化降解性能(图4)。50 ppm TC溶液在黑暗30 min和光照60 min后浓度仅下降6.7%,加入Co-CAT蒸发器并光照60 min后浓度降低14.2%。在TC溶液中加入PMS和Cotton蒸发器,光照60 min后TC浓度降低了65.6%(即降解效率为65.6%),表明光照条件下PMS对TC的降解起到作用。当TC溶液中同时加入PMS和Co-CAT蒸发器,光照10 min后TC降解效率达67.4%,光照60 min后降解效率达91.1%,表明Co-CAT有效催化PMS活化以促进TC降解。此外,计算表明使用Co-CAT + PMS时的反应速率常数k(0.063 min−1)明显大于仅使用PMS时的k(0.022 min−1),说明Co-CAT显著加快了降解反应。实验表明TC浓度和PMS浓度对TC降解有影响,当TC浓度从25 ppm增加到100 ppm时,TC降解效率从99.4%下降到63.6%,当PMS浓度从0.03 g L−1增加到0.09 g L−1时,TC降解效率从63.3%增加到96.6%。Co-CAT蒸发器循环使用10次后TC降解效率保持在90%左右,表明蒸发器具有良好的催化稳定性。为验证光热蒸发和PMS引发催化降解的协同效应,以光照为变量进行降解实验。黑暗条件下PMS对TC的降解性能(38.2%,0.009 min−1)明显低于光照条件(65.6%,0.022 min−1),并且黑暗条件下Co-CAT + PMS体系对TC的降解性能(86.8%,0.039 min−1)低于光照条件(91.1%,0.063 min−1),表明光照不仅促进PMS活化,而且增强了Co-CAT对PMS活化的催化作用,这归因于Co-CAT利用光热转化产生的热量加速了PMS的活化分解。也即,通过双功能的Co-CAT协同地实现了光热水蒸发和PMS引发的TC催化降解。
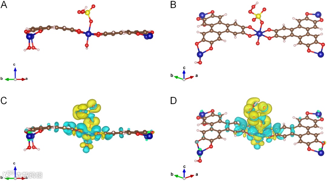
通过密度泛函理论(DFT)计算模拟Co-CAT对PMS(HSO5−)的吸附活化行为(图5)。Co-CAT的(001)晶面作为吸附面,Co-CAT中的Co原子作为吸附位点,分析Co原子和PMS中的O原子的相互作用。为了准确描述PMS与Co-CAT的相互作用,计算PMS的O-O键长(lO-O)和吸附能(Eads)。结果显示,PMS吸附前的lO-O为1.412 Å,吸附后的lO-O为1.472 Å,lO-O的增加有利于O-O键断裂产生ROS,从而表明Co-CAT能够促进PMS活化分解。PMS在Co-CAT上的Eads为−1.201 eV,说明吸附使PMS和Co-CAT的表面能降低。此外,差分电荷密度表明吸附促进电子从Co-CAT向PMS转移,从而有利于PMS活化。以上结果证明了Co原子作为吸附位点对PMS的活化作用。

图1 Co-CAT蒸发器的制备并用于太阳能界面水蒸发和TC降解的示意图

图2 Co-CAT的(a)SEM图和瓶装粉末照片,(b)高分辨TEM图,(c)N2吸附-脱附等温线,(d)DFT模型孔径分布曲线,(e)固态13C NMR图谱和(f)XRD图谱

图3 Co-CAT蒸发器用于太阳能界面蒸发产水性能

图4 Co-CAT蒸发器用于AOP催化降解四环素性能

图5(A和B)PMS分子吸附在Co-CAT上的DFT模型示意图,和(C和D)PMS吸附在Co-CAT上的差分电荷密度示意图,黄色区域表示富电子区,绿色区域表示贫电子区。原子颜色:Co,蓝色;O,红色;C,棕色;S,黄色;H,白色
以上研究成果以Rational construction of “all-in-one” metal-organic framework for integrated solar steam generation and advanced oxidation process为题发表在期刊Applied Catalysis B: Environmental(影响因子为24.319)上。论文第一作者为华中科技大学化学与化工学院2020级硕士研究生何攀攀,华中科技大学龚江研究员和湖北大学董志月老师是共同通讯作者。论文作者还包括硕士研究生兰宏宇、白慧颖、朱营营、范子芬、刘洁、刘丽洁,以及牛冉研究员。该研究得到国家自然科学基金、华中科技大学人才引进基金、湖北省海外高层次人才计划等资助。
文章信息
Panpan He, Hongyu Lan, Huiying Bai, Yingying Zhu, Zifen Fan, Jie Liu, Lijie Liu, Ran Niu, Zhiyue Dong*, Jiang Gong*, Rational construction of “all-in-one” metal-organic framework for integrated solar vapor generation and advanced oxidation process. Applied Catalysis B: Environmental 337 (2023) 123001.
https://authors.elsevier.com/a/1hGWL3Id%7Et57dk
https://www.sciencedirect.com/science/article/pii/S0926337323006446
相关进展
高分子科技原创文章。欢迎个人转发和分享,刊物或媒体如需转载,请联系邮箱:info@polymer.cn
欢迎专家学者提供稿件(论文、项目介绍、新技术、学术交流、单位新闻、参会信息、招聘招生等)至info@polymer.cn,并请注明详细联系信息。高分子科技®会及时推送,并同时发布在中国聚合物网上。
欢迎加入微信群 为满足高分子产学研各界同仁的要求,陆续开通了包括高分子专家学者群在内的几十个专项交流群,也包括高分子产业技术、企业家、博士、研究生、媒体期刊会展协会等群,全覆盖高分子产业或领域。目前汇聚了国内外高校科研院所及企业研发中心的上万名顶尖的专家学者、技术人员及企业家。
申请入群,请先加审核微信号PolymerChina(或长按下方二维码),并请一定注明:高分子+姓名+单位+职称(或学位)+领域(或行业),否则不予受理,资格经过审核后入相关专业群。