
固态电解质(SSEs)具有极高的安全性和能够实现更快的充电速率,被认为是电解质材料的终极形态。近年来,电池市场的蓬勃发展激发了人们对于开发多功能的SSE框架的广泛研究,以实现传导多种阳离子和具有高离子转移数的SSE。各种类型的能量储存/转换装置的出现,使得不同阳离子的导电材料成为可能,例如H+、Li+、Na+、K+和Ag+,而能够通用地传导这些阳离子的结构框架将被高度期待。传统的无机陶瓷SSE中离子在晶格内的传输基本上是由高度依赖晶体取向的离子跳跃所控制的,因此离子传输通道结构的保存对高离子导电性至关重要。固态聚合物电解质(SSPEs)具有优良的机械性能、与电极的界面接触和加工性;然而,它们的离子传输由主要是受聚合物链的弛豫主导,一般来说,由于聚合物链动力学缓慢,因此它们显示出内在较差的导电性能。由于这两个因素都高度依赖于聚合物链动力学,因此SSPEs的进一步发展也受到了离子导电性和机械性能之间如何权衡的阻碍。基于对协同效应的预期,无机纳米材料与聚合物基体的复合为具有平衡电导率、机械性能和可加工性的SSEs提供了可能的解决方案。但是,聚合物纳米复合材料(PNC)SSE的发展仍处于早期阶段,需要付出大量的努力来解决两相之间相容性差的问题,更重要的是破译协同效应的结构-性能关系。理想的PNC SSEs设计应协同继承无机相的高离子导电性和聚合物基体的良好机械性能和可加工性。宏观上,无机相在聚合物基体中的分散可以促进离子通道的保存,然而现实中无机颗粒的均匀分散是非常困难的,并且PNC SSE的整体机械性能会受到很大的影响。因此,PNC SSE迫切需要新的策略来解决宏观无机离子通道的高负载、聚合物/无机相的兼容性以及聚合物机械性能的保存之间的权衡。
针对以上问题,华南理工大学的殷盼超教授团队采用自组装离子通道和相分离相结合的设计策略,构筑了多功能的单离子导体框架,并通过链微观动力学精准调控增强了离子传导。该课题组主要通过宽温宽频介电阻抗谱、电化学阻抗等手段研究了聚合物链弛豫的动力学行为及其与所提供离子传导性能的关系。具体来说,是选择中心封装阳离子(Na+、K+、Ag+和Ca2+)的阴离子型的无机穴醚分子(MPW)和阳离子型有机物制备成PNC SSE,将离子传导通道的形成与材料力学性能的增强分离开来。其中,无机相连续的离子传输通道赋予了材料离子的快速传输性能,与此同时,殷盼超课题组基于宽频介电数据的解析指出:快速松弛聚合物的链动力学进一步加速了离子传输过程,进而增强了材料的导电性能。
通过引入不同尺寸的表面活性剂和聚合物来调整相分离结构,并通过小角度X射线散射(SAXS)和透射电子显微镜(TEM)技术来监测相结构。在十六烷基二甲基铵(D16)和[AgP5W30O110]14-(D16-AgPW)复合物的SAXS数据中,可以观察到q*=0.13、q2=0.26和q3=0.39 Å-1的散射峰(图1c),这表明形成了层状相结构,TEM技术进一步证明了该结构存在。类似的层状相结构可以在十二烷基二甲基铵(D10)和PDMS与AgPW(D10-AgPW和PDMS-AgPW)的复合物中观察到,其d间距分别为2.97和7.14 nm。有趣的是,具有三条尾巴的表面活性剂,甲基三烷基铵(T8)和三十六烷基甲基铵(T16)可以分别与AgPW复合(T8-AgPW和T16-AgPW),从SAXS研究中可以识别出六方柱状相结构。同时,在SAXS数据中没有来自MPW晶体的尖锐衍射峰,表明MPW在聚合物基体中的分布是均匀的。FT-IR分析表明,在所有的PNCs中,无机隐元的完整性。同时,热力学和流变测试结果表明,该复合材料可以在广泛的温度范围内稳定地作为SSE应用。更重要的是,无机穴醚分子PW内部的宿主阳离子,可以分别被Na+,K+和Ca2+取代,而PW和阳离子有机成分之间的相互作用并没有改变。因此,与AgPW相比,NaPW、KPW和CaPW的复合物可以得到相同的相结构,为离子传导提供了多功能的框架。

成功地建立了具有离子通道的有序结构,赋予了高转移数的优良离子传导性。这里选择T16-AgPW,并用恒电位极化法进行测试,得出Ag+的迁移数tAg+为0.93,这与许多报道的单离子SSEs的特征一致。在我们的PNC SSEs中,阳离子沿着由密集的无机穴醚分子(MPW)组成的离子通道传输,而由MPW代表的阴离子是不动的,几乎没有对离子传导的贡献。这种设计最终导致了SSEs的单离子传导特征。而且,与典型的聚合物SSEs中的离子传输不同,体系中的阳离子是在无机相MPW构筑的离子通道中传输的,阳离子实际上不与有机相相互作用,例如表面活性剂-Ag系统中的表面活性剂烷基链(图2d),这为解决SSEs的离子传导性和机械性能之间的权衡问题提供了巨大的机会。

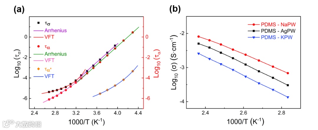
为了进一步揭示离子传输的微观机制,宽频介电光谱(BDS)被应用于量化表面活性剂-AgPW复合体系的离子传输和结构松弛动力学之间的相关性。在T16-AgPW的BDS研究中,在较低的温度下(<323 K)可以观察到两个结构松弛过程(图S11c),对应于介电损耗模量谱中链段的快速运动(α')和表面活性剂和无机隐元复合物的集体运动(α)的缓慢动态。随着温度的升高,α'松弛过程加快,并最终滑出测试频率范围,而相对较低频率的α松弛程序显示出明确的向高频率移动。有趣的是,可以观察到τα'比τσ小得多,并且在T16-AgPW的τσ和τα的温度相关性中遵循不同的弛豫机制(图3d),表明离子传输动力学与链段松弛动力学的解耦,导电阳离子不与烷基链段相互作用。同时,在τα和τσ的随温度变化的曲线中可以观察到Ta ~ 353 K的交叉点,这表明复杂分子结构动力学和离子传输动力学的热激活特征。当T < Ta时,密闭区域内复杂分子的结构动力学明显受阻,阳离子在无机穴醚分子间的跳跃主要负责离子传导。当T>Ta时,结构动力学被激活,表面活性剂-AgPW复合物的集体运动被激活,促进了离子跳动事件。这最终促成了离子传导能力的改善,以及离子导电性的VFT温度依赖性。

在上述离子运输模型的启发下,无机穴醚与具有快速链动力学的有机物,如玻璃化温度极低的聚合物复合,以进一步优化的离子电导率。因此,具有快速链动力学的高度灵活的聚合物PDMS被用来代替表面活性剂来复合无机穴醚分子,以获得快速的结构动力学和由此产生的高离子传导率。同时,受益于无机穴醚PW中心离子的可调性,不同的阳离子(Ag+、Na+、K+或Ca2+)被成功地封装为中心导电离子,这扩展了基于PW的SSE的通用性。与T16-AgPW相比,在PDMS-PW系统中可以观察到类似的传导和结构动力学的温度依赖(图4a)。PNCs中PDMS链的微观快速运动状态,加速了无机隐元分子相中的离子传输过程,以实现更快的离子传导动力学,与表面活性剂-PW体系相比,PDMS-PW的电导率明显提高(图4b)。

图4.柔性聚合物SSEs的多级松弛过程和离子导电性能
综上所述,这项工作提出了一个简单的、可扩展的方案来制造PNC SSEs,这种超分子自组装离子通道和相分离的策略大大简化了传统单离子导体(SIC)的复杂制备过程,通过对PNC结构和链微观动力学的精准调控为设计更高性能的SIC提供了指导思想。重要的是,由于无机穴醚和具有不同功能有机物的广泛可用性,该系统可以很容易地扩展到各种功能的电解质材料。
以上成果近期以“Supramolecular Assembly and Microscopic Dynamics Modulation of Nanoscale Inorganic Cryptand and Polymer Complex for Versatile Design of Flexible Single-Ion Conductors” 为题发表在Nano. Lett.上。文章第一作者为华南理工大学2020级硕士研究生刘禄,通讯作者为华南理工大学殷盼超教授。
论文链接:
https://pubs.acs.org/doi/10.1021/acs.nanolett.2c05043
相关进展
高分子科技原创文章。欢迎个人转发和分享,刊物或媒体如需转载,请联系邮箱:info@polymer.cn
欢迎专家学者提供稿件(论文、项目介绍、新技术、学术交流、单位新闻、参会信息、招聘招生等)至info@polymer.cn,并请注明详细联系信息。高分子科技®会及时推送,并同时发布在中国聚合物网上。
欢迎加入微信群 为满足高分子产学研各界同仁的要求,陆续开通了包括高分子专家学者群在内的几十个专项交流群,也包括高分子产业技术、企业家、博士、研究生、媒体期刊会展协会等群,全覆盖高分子产业或领域。目前汇聚了国内外高校科研院所及企业研发中心的上万名顶尖的专家学者、技术人员及企业家。
申请入群,请先加审核微信号PolymerChina(或长按下方二维码),并请一定注明:高分子+姓名+单位+职称(或学位)+领域(或行业),否则不予受理,资格经过审核后入相关专业群。