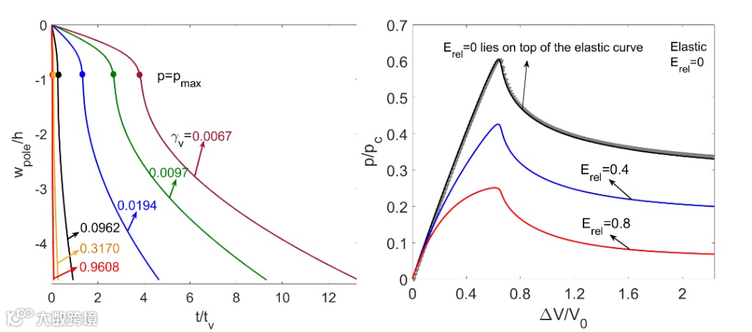
球壳的屈曲行为一直受到研究人员的广泛关注,其屈曲行为的发生一方面可能导致结构灾难性的破环,另一方面,屈曲行为的非线性特征为结构功能设计提供了新的可能性。粘弹性的壳体由于其固有的与时间及速率相关的性质,为屈曲行为带来了额外的新的特征,因此,粘弹性薄壳在压强载荷作用下可以表现出丰富且与加载速率有关的屈曲行为,如,蠕变屈曲及伪双稳态等现象。
参考文献
[1] Tianzhen Liu, Yuzhen Chen, John W. Hutchinson, Lihua Jin. Buckling of viscoelastic spherical shells, Journal of the Mechanics and Physics of Solids, 2022, 169: 105084.
https://doi.org/10.1016/j.jmps.2022.105084
[2] Yuzhen Chen, Tianzhen Liu, Lihua Jin. Pseudo-bistability of viscoelastic shells, Philosophical Transactions of The Royal Society A, 2023, 381(2244):20220026.
http://doi.org/10.1098/rsta.2022.0026
[3] Tianzhen Liu, Yuzhen Chen, Liwu Liu, Yanju Liu, Jinsong Leng, Lihua Jin. Effect of imperfections on pseudo-bistability of viscoelastic domes, Extreme Mechanics Letters, 2021, 49: 101477.
https://doi.org/10.1016/j.eml.2021.101477
[4] Yuzhen Chen, Tianzhen Liu, Lihua Jin. Spatiotemporally Programmable Surfaces via Viscoelastic Shell Snapping, Advanced Intelligent Systems, 2022, 4(9):2100270.
https://doi.org/10.1002/aisy.202100270
相关进展
UCLA金丽华教授课题组AFM:超弹性宽梁的后屈曲研究及其在吸能材料中的应用
高分子科技原创文章。欢迎个人转发和分享,刊物或媒体如需转载,请联系邮箱:info@polymer.cn
诚邀投稿
欢迎专家学者提供稿件(论文、项目介绍、新技术、学术交流、单位新闻、参会信息、招聘招生等)至info@polymer.cn,并请注明详细联系信息。高分子科技®会及时推送,并同时发布在中国聚合物网上。
欢迎加入微信群 为满足高分子产学研各界同仁的要求,陆续开通了包括高分子专家学者群在内的几十个专项交流群,也包括高分子产业技术、企业家、博士、研究生、媒体期刊会展协会等群,全覆盖高分子产业或领域。目前汇聚了国内外高校科研院所及企业研发中心的上万名顶尖的专家学者、技术人员及企业家。
申请入群,请先加审核微信号PolymerChina(或长按下方二维码),并请一定注明:高分子+姓名+单位+职称(或学位)+领域(或行业),否则不予受理,资格经过审核后入相关专业群。
点
这里“阅读原文”,查看更多


