
离子的静电作用是一种普遍的物理现象,影响多组分体系的相态结构,是能源、生物、材料等领域共同关注的基础研究方向。在能源材料领域,聚环氧乙烷(PEO)具有较高的介电常数和优异的锂盐溶解能力。将PEO与良好机械性能的聚合物共混,可以得到兼具电导和力学性能的固态聚合物电解质,其中离子的静电作用对共混物的相容性影响显著。从微观相互作用分析,锂盐掺杂的聚合物共混物非常复杂,既包含链段与链段之间的范德华力,还有离子与链段、离子与离子之间的相互作用,甚至离子聚集等效应。深入理解微观静电作用,将为开发新型固态聚合物电解质提供理论基础。但直到目前,从实验上明确解析离子的静电作用仍然相当困难!
为解决这一问题,南开大学史伟超研究员课题组以LiTFSI掺杂的PEO和氘代聚苯乙烯(DPS)共混物作为研究对象,在极低的盐浓度进行散射实验,明确揭示了链段之间的范德华作用、阴离子与链段的溶剂化作用、以及阳离子与链段的静电作用。研究成果以“Electrostatic interaction on liquid-liquid phase separation at low salt fraction revealed by scattering techniques”为标题,在高分子领域权威期刊Macromolecules上发表13页论文,详细阐述了相关理论和实验方法。

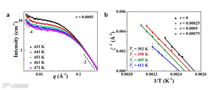
图1. (a)小角中子散射实验数据(实心点)和拟合曲线(实线)。(b) ξ -2与1/T的线性关系。
研究人员通过小角中子和X光散射实验,表征了聚合物共混物在均相状态的浓度涨落。在LiTFSI浓度r =[Li+]/[EO]=0.0005时,体系的散射强度随温度的降低而增加,表明PEO/DPS共混物具有高临界溶解温度的相分离行为(图1a)。对散射数据进行拟合分析,可以获得相关长度ξ (correlation length) 随锂盐浓度而增大。将ξ -2外推等于0可以获得旋节温度Ts (spinodal temperature),可知Ts随锂盐浓度而显著升高(图1b)。

图2. (a)不同锂盐浓度时,有效相互作用参数χeff与温度1/T的关系。(b) r =0.0005时,χ0、χ1、χsol 与温度T的关系。(b) r =0.0005时,m1和msol与温度T的关系。
研究人员结合无序相近似模型分析获得有效相互作用参数χeff (effective interaction parameter)与温度T的定量关系(图2a),并通过相分离理论推导出χeff = χ0 + χ1 + χsol,其中χ0是链段之间的范德华相互作用,χ1 = m1r是阳离子与高分子链段的相互作用,χsol = msolr是阴离子与高分子链段的溶剂化作用(图2b,c)。由实验结果可知,在极低盐浓度下,范德华作用仍是主导,但随温度升高而减弱;离子的静电作用微弱,但不容忽视,并且随温度和浓度而显著增强。
进一步,研究人员利用小角激光散射实验测定了聚合物共混物的相分离温度(图3)。通过实验可以确认:静电作用显著促进相分离的发生,并且相图向PEO体积分数较低的一侧偏移,反映了静电作用对高分子浓度的依赖性,与中子散射实验和理论计算结果吻合。

图3. PEO/DPS共混物的相图。绿点和蓝点为小角激光散射实验(SALLS)测量得到的相边界,其余为理论计算的两相共存线。
该论文综合使用小角散射技术研究了静电作用对聚合物共混物相行为的影响,定量揭示了阴、阳离子的静电效应,为近期的理论工作提供了实验支撑,并且为准确测量静电作用提供了一种可靠的实验方法。
本论文的第一作者为南开大学化学学院博士研究生吴小雪,通讯作者为南开大学化学学院史伟超研究员。该工作得到了国家自然科学基金的经费支持,并得到了中国散裂中子源、北京/上海同步辐射光源的大力支持。
论文链接:
https://doi.org/10.1021/acs.macromol.3c00012
南开大学史伟超课题组正在以高分子物理为核心开展多学科交叉研究,拟招收2023级博士研究生1名。
申请人应具备高分子物理、或生物物理、或高分子化学等学科的教育背景。有聚电解质研究、多肽或蛋白质组装、散射技术、精确嵌段共聚物合成等方面科研背景优先。已发表科研论文是加分项,但不是必须要求。
拟通过“申请-考核”方式录取,申请人的科研基础主要通过面试交流考察。具体要求请参见南开大学官网:
https://chem.nankai.edu.cn/2022/1014/c24089a485729/page.htm
请将相关的申请材料直接发送至邮箱:weichaoshi@nankai.edu.cn
相关进展
高分子科技原创文章。欢迎个人转发和分享,刊物或媒体如需转载,请联系邮箱:info@polymer.cn
欢迎专家学者提供稿件(论文、项目介绍、新技术、学术交流、单位新闻、参会信息、招聘招生等)至info@polymer.cn,并请注明详细联系信息。高分子科技®会及时推送,并同时发布在中国聚合物网上。
欢迎加入微信群 为满足高分子产学研各界同仁的要求,陆续开通了包括高分子专家学者群在内的几十个专项交流群,也包括高分子产业技术、企业家、博士、研究生、媒体期刊会展协会等群,全覆盖高分子产业或领域。目前汇聚了国内外高校科研院所及企业研发中心的上万名顶尖的专家学者、技术人员及企业家。
申请入群,请先加审核微信号PolymerChina (或长按下方二维码),并请一定注明:高分子+姓名+单位+职称(或学位)+领域(或行业),否则不予受理,资格经过审核后入相关专业群。