图1:这块透明的材料是塑料还是陶瓷?是浙大团队制备的弹性陶瓷塑料。
陶瓷坚硬但易碎,橡胶柔韧却有弹性——刚与柔,很难在单一材料中并存。浙江大学化学系唐睿康教授与刘昭明研究员团队对构成材料的“基元”——分子进行设计——得到含有无机离子和有机片段的杂化分子。这些分子可形成具有离子与共价互穿网络的宏观材料。材料兼具陶瓷般的硬度、橡胶般的弹性和塑料般的可塑性,研究团队于是将它命名为:弹性陶瓷塑料。
6月8日,论文Organic–inorganic covalent–ionic molecules for elastic ceramic plastic(有机-无机/共价-离子杂化分子用于弹性陶瓷塑料的合成)以Article的形式在Nature期刊发表。在同期刊发的研究简报中,材料科学专家、德国康斯坦茨大学的物理化学教授Helmut Cölfen教授评论说:“新的材料会带来新的可能。由新的分子构建的新型材料不仅能引起材料学界的兴趣,对公众来说也是魅力无穷的。”
01
向有机世界“取真经”
在材料的世界,有机物和无机物像两个风景迥异的“花园”。2019年,一直研究无机材料的唐睿康教授发现了一条通向有机世界的“小道”:他的团队在Nature杂志发表论文指出,一种有机小分子可以将含有少量无机离子(碳酸钙)的寡聚体“封装”起来,从而让分子尺度的寡聚体像有机世界的高分子一样发生聚合交联,进而组装成宏观的块体材料。
如何可控地让两者“长”到一起呢?有机“花园”里的另一朵“花”给了课题组灵光——官能团。1832年,德国化学家维勒和李比希提出了 “官能团”的概念,“官能团”是有机分子上参与物理作用与化学反应的构件,决定了分子的活性与功能。这朵当时在有机化学处于懵懂期的“花朵”,让人们对有机分子的认识前进了一大步。官能团与官能团化反应在现在已经成为有机化学这门学科的基础,其中的理论与方法正支持着高分子科学、药物化学、环境科学等诸多重要领域的运行。
“我们能否从分子层面重新设计,先做出一个分子?”刘昭明设想,“我们有了无机离子寡聚体,有了有机小分子,可以想办法让两者先结合为一个单元,再考虑进一步反应生长。在单个的杂化分子内,让有机与无机片段互为‘官能团’。”
02
先组合、后联网,双网络刚柔并济
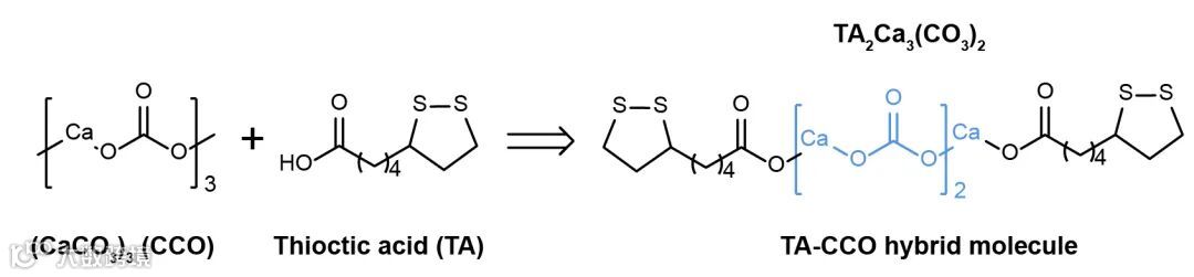
一个杂化分子,包含一个无机离子化合物的片段和一个有机化合物的片段——根据这张分子“蓝图”,刘昭明选择了合适的反应体系——在溶液中,让有机小分子硫辛酸和碳酸钙离子寡聚体发生经典的酸碱反应。“硫辛酸上有一个有机酸的基团,其中的氢离子可以和碳酸钙中的碳酸根‘中和’,使有机酸的基团与碳酸钙中的钙离子连接,从而实现有机和无机片段的‘绑定’。”刘昭明说。
由此,研究团队创造出了第一个有机-无机/共价-离子杂化分子。研究团队测定了他的分子量,其中有机和无机成分的化学计量比为2:3。在加热加压的条件下,许多个这样的杂化分子融合成了一块透明的材料。在电子显微镜下,可以看到碳酸钙和硫辛酸呈一定“节奏”的排布。其中,加压可以使分子靠得更近,加热是硫辛酸上的二硫键打开发并生进一步交联的条件。
图4:从杂化分子到形成双网络结构和可循环性能
加热加压的过程中,两张网络正在同时生成:各个分子中的无机离子片段彼此交联,形成一个离子键主导的无机网络;各个分子中的有机片段彼此聚合,形成一个共价键主导的有机网络,两个网络相互穿插交融,又因杂化分子结构而彼此连接。“通过小角X射线散射实验和冷冻电镜的观察,我们确实看到了结构上的这种分子尺度的双连续网络结构。”刘昭明说。
“无机离子网络是一个刚性的骨架;而有机共价网络则是一个柔性的网络。刚性的无机骨架起到增强、增硬的作用,而硫辛酸的网络起到‘弹簧’的作用。两者在分子尺度上的融合也更好的结合了两者的优势。”唐睿康认为,从这种全新的双网络结构看,理论上能够赋予材料刚柔并济的性能。
03
新材料展露“杂化优势”
视频1:原位压痕视频展示
最初得到这枚透明的“纽扣”时,刘昭明觉得手感像一块塑料。但是有一天博士生方威风说,它在压力测试中表现更像橡胶。“通常我们压陶瓷时,会出现压痕或者裂纹,但是这个材料压下去产生了回弹。”这让研究团队想要对它的“隐藏”技能一探究竟。
研究团队设计了一系列的“体能测试”:包括测试硬度的划痕测试,测试弹性的应力测试等,并与标准的陶瓷、金属、橡胶等做了对比。实验显示,新材料在各方面表现优越而均衡,它具有陶瓷般的硬度与强度,又有类似橡胶的弹性,同时像塑料一样可塑。
“杂化分子形成的双网络结构决定了它的‘杂化优势’。”刘昭明解释说,当材料受到外力时,无机网络提供“支撑”;当外力很大使无机骨架发生断裂时,有机网络能予以一定的“缓冲”发生变形;当外力撤去时,有机网络发生“回弹”,无机网络又重新归位并成键。这一过程背后的机理,唐睿康、刘昭明团队曾在2021年发表于Science上的一篇论文中探讨过,指出了离子键在合适的结构中具有可逆成键的特征。这种特征与硫辛酸中二硫键的可逆成键行为结合,又赋予了材料类似热塑性塑料的可塑性。然而,单纯的加热仅仅使有机网络在受热状态不稳定,这时无机骨架的支撑作用能够使材料保持一定的稳定性,表现出优于热塑性塑料的热稳定性。
视频3:划痕科普视频展示
“据我们所知,这种结合了类似陶瓷、橡胶和塑料的特性的材料不属于任何一种已知的材料,我们认为它是一种新型的材料,并将它命名为弹性陶瓷塑料。”唐睿康说。新材料不仅让研究团队兴奋,也让论文审稿专家产生了好奇。一位审稿人提出,除了标准化的材料,能否再与商用的材料做实验对比,以更好地了解它的性能。在研究的后半段,方威风购买了许多商用橡胶、塑料材料等进行对比测试。Helmut Cölfen教授则认为,新材料的优点还不仅体现在机械性能,其光学性能和可回收性也是值得关注的。
图7:弹性陶瓷塑料的“体能测试”报告
当我们想要一种材料同时拥有两种不同甚至矛盾的性能时,我们通常是用不同材料进行叠加或者混合,实现优势互补。比如,给陶瓷杯裹上一层橡胶的保护套;在跑鞋的鞋垫里嵌入一块碳纤维板,增加弹性与支撑等而唐睿康、刘昭明团队采用了一种全新的方案,他们从有机材料的花园中汲取灵感,从分子的层次就进行“杂化”,创造出新的分子,进而形成新的结构,展现新性能与新应用。这种自下而上地设计材料的方法,也有望拓展到其他体系。至少在不久的将来,我们可以端着Q弹的“陶瓷”杯来喝杯咖啡了。
浙江大学化学系2023级硕士转博士研究生方威风为论文的第一作者,浙江大学化学系和硅及先进半导体材料全国重点实验室唐睿康、刘昭明为共同通讯作者。浙大化学系博士研究生慕昭(现已博士毕业在第四军医大工作)、何彦、孔康任,华东师范大学姜凯参与了本项研究。研究受到了国家自然科学基金(22022511, 22275161),国家重点研发项目(2020YFA0710400)和中央高校基本科研业务费(226-2022-00022, 2021FZZX001-04)的支持。
参考论文:
1.https://doi.org/10.1038/s41586-023-06117-1
2.https://www.nature.com/articles/s41586-019-1645-x
3.https://science.sciencemag.org/content/372/6549/1466
相关进展
免责声明:部分资料来源于网络,转载的目的在于传递更多信息及分享,并不意味着赞同其观点或证实其真实性,也不构成其他建议。仅提供交流平台,不为其版权负责。如涉及侵权,请联系我们及时修改或删除。邮箱:info@polymer.cn
诚邀投稿
欢迎专家学者提供稿件(论文、项目介绍、新技术、学术交流、单位新闻、参会信息、招聘招生等)至info@polymer.cn,并请注明详细联系信息。高分子科技®会及时推送,并同时发布在中国聚合物网上。
欢迎加入微信群 为满足高分子产学研各界同仁的要求,陆续开通了包括高分子专家学者群在内的几十个专项交流群,也包括高分子产业技术、企业家、博士、研究生、媒体期刊会展协会等群,全覆盖高分子产业或领域。目前汇聚了国内外高校科研院所及企业研发中心的上万名顶尖的专家学者、技术人员及企业家。
申请入群,请先加审核微信号PolymerChina (或长按下方二维码),并请一定注明:高分子+姓名+单位+职称(或学位)+领域(或行业),否则不予受理,资格经过审核后入相关专业群。
点
这里“阅读原文”,查看更多


