
缺电子结构单元在n型聚合物的开发中起到至关重要的作用,但是目前在n型聚合物的开发中,可供选择的缺电子结构单元的种类相对较少,这严重制约了其发展。氰基官能团具有强的吸电子能力,能够有效地拉低分子的前线轨道能级,在缺电子结构单元的开发中被广泛应用。南方科技大学郭旭岗教授团队基于氰基功能化这一策略,开发了一系列新型缺电子结构单元及其聚合物半导体材料,报道了一系列原创性的工作(Adv. Mater. 2019, 1905161.; Adv. Mater. 2020, 32, 2001476.; J. Am. Chem. Soc. 2020, 142, 4329.; J. Am. Chem. Soc. 2021, 143, 1539.; Angew. Chem. Int. Ed. 2022, e202205315.; Adv. Mater. 2023, 2210847.)。

图1. (a)氰基丁二烯类缺电子结构单元的设计策略,(b)该类缺电子结构单元及报道的氰基噻吩类结构单元的理论计算LUMO能级(基于自旋限制的密度泛函理论(DFT),在B3LYP/6-31G(d)方法和基组下计算)。
近日,郭旭岗教授课题组和海南大学材料科学与工程学院陈志才副教授合作,基于氰基化丁二烯及其衍生物这一策略,设计、合成了一系列结构简单、吸电子能力强的新型缺电子结构单元,该类缺电子结构单元的设计策略如图1所示。和富电子的噻吩类衍生物相比,丁二烯是一类具有多个修饰位点的电中性结构单元,因此其氰基衍生物的缺电子性强于报道的氰基噻吩类衍生物(图1),其中CNDFDE的缺电子性可以媲美于经典的强受体结构单元萘酰亚胺(NDI),TCNDE、TCNFDE和QCNDE的缺电子性则强于NDI。

图2.氰基丁二烯类缺电子结构单元的合成路线(a),及其聚合物的分子式(b)。
该类氰基丁二烯类缺电子结构单元可以通过简单两步合成高效制备(图2a)。作者将开发的缺电子结构单元与DPP共聚,开发了一系列聚合物半导体材料(图2b)。

为了进一步了解该类缺电子结构单元的几何结构及其聚合物的堆积状态,作者还合成两个模型分子C4TCNDE和C4TCNDFDE,并培养、解析了它们的单晶结构。从图3可以看出,丁二烯类缺电子结构单元不但具有高度的平面性,而且具有小的位阻效应,因此整个模型分子呈现出了优异的平面性;另外模型分子的堆积比较紧密,相邻分子间的π-π堆积距离为3.31 and 3.36 Å,这有利于载流子在分子间的传输。

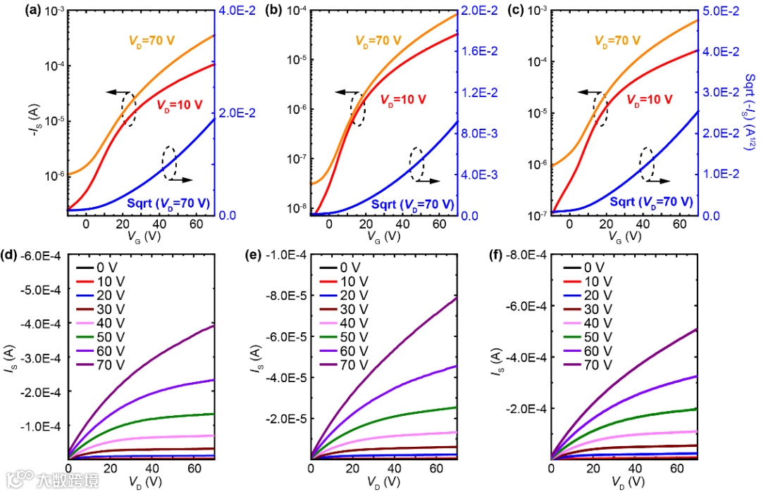
图4. (a, d) PCNDE-DPP, (b, e) PCNFDE-DPP,和(c,f) PCNDFDE-DPP OTFT器件的转移曲线和输出曲线。
得益于该类受体单元的强缺电子性质,它们的聚合物都具有深的LUMO能级(-3.94到-4.06 eV)和HOMO能级(-5.65到-5.79 eV),这有利于实现单一极性的电子传输,理论计算证明该类聚合物具有高度平面性,这和模型分子分析结果一致。作者将该类聚合物应用于薄膜场效应晶体管(OTFTs)器件,三个聚合物都表现出了单极性的电子传输,最高迁移率可以达到1.07 cm2 V-1 s-1(图4)。
在该工作中,作者通过氰基功能化丁二烯及其衍生物,开发了一类结构简单、合成方便且具有高度平面性的强缺电子结构单元,并基于它们开发了一系列新型的n型聚合物半导体材料。该工作不仅丰富了缺电子结构的种类,还为它们的开发提供了一种新的设计思路。
该工作已发表在Angewandte Chemie International Edition上,文章题目为Semiconducting Polymers Based on Simple Electron-Deficient Cyanated trans-1, 3-Butadienes for Organic Field-Effect Transistors.
文章第一作者是南方科技大学博士后李建锋博士和海南大学材料学院陈志才副教授,通讯作者为南方科技大学郭旭岗教授和海南大学陈志才副教授。
原文链接:
https://onlinelibrary.wiley.com/doi/10.1002/anie.202307647
相关进展
高分子科技原创文章。欢迎个人转发和分享,刊物或媒体如需转载,请联系邮箱:info@polymer.cn
欢迎专家学者提供稿件(论文、项目介绍、新技术、学术交流、单位新闻、参会信息、招聘招生等)至info@polymer.cn,并请注明详细联系信息。高分子科技®会及时推送,并同时发布在中国聚合物网上。
欢迎加入微信群 为满足高分子产学研各界同仁的要求,陆续开通了包括高分子专家学者群在内的几十个专项交流群,也包括高分子产业技术、企业家、博士、研究生、媒体期刊会展协会等群,全覆盖高分子产业或领域。目前汇聚了国内外高校科研院所及企业研发中心的上万名顶尖的专家学者、技术人员及企业家。
申请入群,请先加审核微信号PolymerChina (或长按下方二维码),并请一定注明:高分子+姓名+单位+职称(或学位)+领域(或行业),否则不予受理,资格经过审核后入相关专业群。