
αc弛豫是一种与半结晶聚合物材料的机械和铁电性能有关的次级弛豫现象,可以被分离出多个独立的弛豫过程,包括α1弛豫(折叠区的链环和晶区表面的链尾的运动)和α2松弛(晶区内部沿c轴的旋转或扩散运动)。量化链旋转和链扩散的动态分布将为开发具有特定功能的材料奠定基础。然而,受空间分辨率的限制,传统研究方法很难准确区分二者并量化其动态分布情况。
近日,吉林大学张文科教授团队在Macromolecules上发表了单分子力谱(SMFS)方法研究聚乙烯(PE)单晶中αc弛豫的动态分布的最新研究成果。首先,研究人员在链排列最为简单的PE单晶上进行了SMFS实验,发现在39℃时典型曲线上主要存在三种力谱形态(图1)。其中类型Ⅰ和类型Ⅱ曲线的峰间距均在25 nm左右,这与单晶厚度的两倍能够刚好对应,证明锯齿峰来源于PE单晶中一个折叠结构的打开。尽管曲线形态有所不同,但三种力图案的解折叠力值是相近的。

图1.聚乙烯单晶的SMFS实验。(A)PE单晶中力诱导熔融的示意图。插图为PE单晶的AFM高度图。(B)PE单晶在39℃时获得的典型的力-拉伸(F-E)曲线。(C)类型Ⅰ和类型Ⅱ曲线的峰间距ΔL1和ΔL2的统计图。(D)三种类型曲线的解折叠力值统计图。
三种类型力曲线代表了三种不同的解折叠路径,从类型I到类型III虽然它们的解折叠的峰值力相同,但峰谷处的力值逐渐增大(图2C),表明解折叠中间态的稳定性和寿命也依次增强。其中从类型Ⅰ到类型Ⅱ的转变来自于聚合物链翻转运动的激活,而从类型Ⅱ到类型Ⅲ的转变来自于链扩散运动的激活(图2)。

图2.PE单晶的解折叠路径。(A)三种类型力曲线的放大观察和相应的运动转变示意图。(B)解折叠事件的示意图。(C)中间态的稳定性和寿命对比。
接下来,研究人员还探究了不同温度下的解折叠路径,在低温下,类型Ⅰ曲线占主导,在高温下,类型Ⅲ占主导,而类型Ⅱ曲线只在中间温度出现(图3)。证明了解折叠路径的改变确实是由热激活的αc弛豫所导致的。为了进一步量化,他们统计了不同类型曲线的长度占比随温度变化关系。并将L2和L3比例增加速率最快的温度定义为两种运动的转变温度,得到拉伸速度为1 μm/s时,链翻转和链扩散的转变温度分别为28℃和45℃。

图3.温度对αc弛豫的影响。(A)PE单晶在不同温度下得到的典型F-E曲线。(B) 三类曲线比例的定义。(C) L2/L和L3/L随温度变化图。
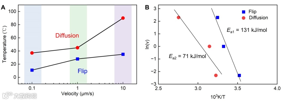
研究还发现,单分子力谱实验的拉伸速度也会对转变温度产生影响。从0.1,1到10 μm/s,链翻转和链扩散的转变温度随着拉伸速度的增加而增加(图4)。研究人员又通过阿伦尼乌斯方程计算了αc弛豫的激活能量。结果表明,从初始状态到链扩散状态所需能量为Ea1与Ea2之和,即202 kJ/mol。

图4.拉伸速度对αc弛豫的影响。(A)链翻转和扩散的转变温度随拉伸速度变化图。(B)阿伦尼乌斯图。
αc弛豫对PE单晶的纳米力学性质也有一定影响,随着温度的增加,解折叠所需力值不断减小(图5A),即PE晶体的纳米力学强度有所降低。但是在相同温度下,从类型Ⅰ到类型Ⅲ单个折叠打开所需的能量不断增加(图5B),这说明αc弛豫会导致材料形变过程中更高的能量耗散,使材料具有更好的延展性。

图5. αc弛豫对PE的纳米力学性能的影响。(A)解折叠力值随温度变化图。(B)三种类型的力曲线的能量耗散对比。
综上所述,该研究工作中提出了一种新型单分子研究方法,可以用于探测晶杆水平的αc弛豫过程,准确区分并量化链翻转和链扩散在不同温度和拉伸速度下的动态分布情况。由于破译了解折叠路径背后的链动力学,并且不受传统方法中同位素标记的限制,这种单分子力学方法原则上适用于广泛的半结晶聚合物体系的链动力学研究。相关研究结果对开发具有优良力学性能的半结晶聚合物材料具有重要意义。
该工作由吉林大学超分子结构与材料国家重点实验室张文科教授研究组完成。相关论文发表在Macromolecules上,吉林大学博士生张晓野为文章的第一作者,张文科教授和宋宇副教授为本文通讯作者。
原文链接:
https://doi.org/10.1021/acs.macromol.3c00561
相关进展
吉林大学张文科教授团队 ACS Macro Lett.:“人多力量大” – 并联共价键策略显著提升聚合物-金界面连接强度
吉林大学张文科教授团队与合作者 Macromolecules:旧体系中的新发现 - 水溶性聚合物的链-球转变
吉林大学张文科教授课题组《Macromolecules》展望:聚合物链的单分子操纵 - 从纳米力学性质到动态结构演变
吉林大学沈家骢院士、张文科教授、孙俊奇教授新著新书 《超分子材料引论》出版
高分子科技原创文章。欢迎个人转发和分享,刊物或媒体如需转载,请联系邮箱:info@polymer.cn
欢迎专家学者提供稿件(论文、项目介绍、新技术、学术交流、单位新闻、参会信息、招聘招生等)至info@polymer.cn,并请注明详细联系信息。高分子科技®会及时推送,并同时发布在中国聚合物网上。
欢迎加入微信群 为满足高分子产学研各界同仁的要求,陆续开通了包括高分子专家学者群在内的几十个专项交流群,也包括高分子产业技术、企业家、博士、研究生、媒体期刊会展协会等群,全覆盖高分子产业或领域。目前汇聚了国内外高校科研院所及企业研发中心的上万名顶尖的专家学者、技术人员及企业家。
申请入群,请先加审核微信号PolymerChina(或长按下方二维码),并请一定注明:高分子+姓名+单位+职称(或学位)+领域(或行业),否则不予受理,资格经过审核后入相关专业群。