
作为本征柔性光电材料,共轭聚合物离不开堆砌结构与黏弹性的精准设计与调控。侧链工程是上述两个因素的主要调节方法,然而,调控背后的分子机制仍存在争议,例如,与堆砌相关的中子散射峰的归属、半刚性主链与烷基侧链在动力学上的相互影响等。已有的实验现象迫切需要分子层面的解释,以准确指导共轭高分子的黏弹性与加工性能调控。

图1. 聚(3-己基噻吩)的堆砌结构及对应的中子散射峰
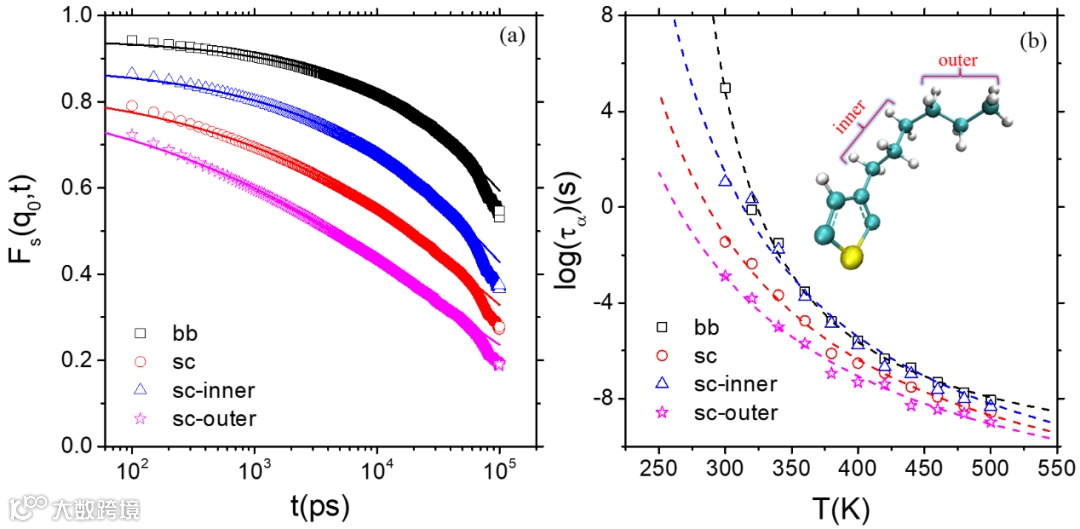
近期,广东工业大学阎志超副教授利用全原子分子动力学模拟,通过系统调控聚(3-烷基噻吩)的侧链长度,揭示了共轭聚合物链堆砌与动力学现象背后的分子机制。堆砌结构方面,明确了中子散射低矢量(q)峰对应链间的edge-to-edge堆砌,而高q峰不仅代表链内相邻侧链的距离,也反映了链间的face-to-face堆砌距离(图1)。动力学方面,模拟发现了侧链上不同位置碳原子的动力学差异,从而证实了他们在之前实验中发现的两步松弛现象(图2,3);非高斯参数表明,共轭聚合物的侧链原子感受到来自侧链和主链两个动力学“笼(cage)”的束缚,有别于聚丙烯酸酯只有侧链cage的情况(图4)。这项工作有望推进对共轭聚合物分子堆砌与动力学行为的认识,可用于指导共轭聚合物黏弹性的分子设计。该工作以“Role of Side Chains in the Packing Structure and Dynamics of Conjugated Polymers”为题发表在《Macromolecules》上(DOI: 10.1021/acs.macromol.3c00633)。文章第一作者为焦贵省博士,该研究得到了国家自然科学基金、广东省自然科学基金的支持。

图2. 聚(3-烷基噻吩)上不同位点碳原子的动力学行为

图3. 聚(3-己基噻吩)侧链上不同位点碳原子的动力学温度依赖性

该工作是阎志超副教授关于复杂结构高分子动力学与流变学相关研究的最新进展之一。为阐明支化、环状等复杂结构高分子的分子流变学机制,指导此类材料的黏弹性设计与加工,阎志超副教授及其合作者结合分子动力学模拟与实验流变学开展了一系列工作。包括线性/支化共混物分子本构方程的发展(Macromolecules, 2021, 54, 11047),含支化结构共聚物的玻璃化转变与流变学研究(Polymer Chemistry, 2023, 14, 1043; Polymer Chemistry, 2021, 12, 3427),以及长支链共轭聚合物的主侧链动力学实验研究等(Macromolecules, 2021, 54, 4061)。此外,他们还系统探索了环状高分子在相容性共混物中的玻璃化转变与分子动力学问题(Macromolecules, 2020, 53, 658)。
原文链接:
https://doi.org/10.1021/acs.macromol.3c00633
相关进展
深圳大学阎志超等人在环状高分子动力学上取得新进展
南开大学陈永胜教授团队《ACS Mater. Lett.》:共轭侧链方向聚合构建新型聚合物电子受体材料
北京化工大学李韦伟教授课题组Angew:高结晶双缆共轭聚合物晶相排列、光电性能随侧链长度改变的规律演变
天津大学邓云峰副教授、耿延候教授团队:直接芳基化缩聚合成水/醇溶性共轭聚合物—侧链官能团对聚合的影响
高分子科技原创文章。欢迎个人转发和分享,刊物或媒体如需转载,请联系邮箱:info@polymer.cn
欢迎专家学者提供稿件(论文、项目介绍、新技术、学术交流、单位新闻、参会信息、招聘招生等)至info@polymer.cn,并请注明详细联系信息。高分子科技®会及时推送,并同时发布在中国聚合物网上。
欢迎加入微信群 为满足高分子产学研各界同仁的要求,陆续开通了包括高分子专家学者群在内的几十个专项交流群,也包括高分子产业技术、企业家、博士、研究生、媒体期刊会展协会等群,全覆盖高分子产业或领域。目前汇聚了国内外高校科研院所及企业研发中心的上万名顶尖的专家学者、技术人员及企业家。
申请入群,请先加审核微信号PolymerChina(或长按下方二维码),并请一定注明:高分子+姓名+单位+职称(或学位)+领域(或行业),否则不予受理,资格经过审核后入相关专业群。