从可再生资源出发,制备可降解可循环利用的高分子材料对可持续发展具有重要意义。酚类高分子在热固性树脂、抗氧化剂、粘合剂等领域都具有重要应用价值,但基于可再生资源高效制备结构性能可控的酚类高分子材料的研究报道不多。
近期,安徽农业大学林学与园林学院,生物质分子工程中心袁亮教授、汪钟凯教授与中国林科院林化所徐士超副研究员采用多元硫醇和醛功能化的生物基酚类物质经Lewis酸催化缩聚,在室温条件下制备一系列具有酚羟基的聚合物(图1),过程具有高原子经济性,副产物仅为水。这一方法适用于不同结构硫醇和醛功能化的酚类化合物,包括香草醛、对羟基苯甲醛和3,4-二羟基苯甲醛等,当单体中“巯基+醛基”官能度之和超过3时,缩聚之后可以得到交联网络结构。

图1. “巯基-醛基”缩聚制备线性酚类高分子及交联网络结构
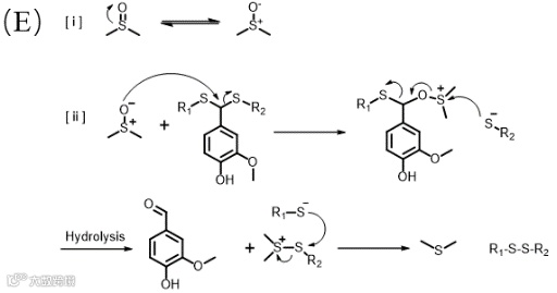
此项研究探讨了线性酚类聚合物的抗氧化性能和针对玻璃基底的粘附性能。其中,含有邻苯二酚基团的线性聚合物展示出了较好的粘附性能和抗氧化性能(图2,A-B)。双醛基化合物A2与四巯基化合物T4交联制备的网络PATN-6展现了高达54MPa的拉伸强度(图2C),A2与T2交联产物PATN-3经多次循环热压后其机械性能基本保持不变(图2D)。同时,酚类聚合物在DMSO加热氧化条件下,可以硫缩醛基团为“断点”,降解产物经升华后可回收香草醛,实现循环利用。(图2E-F)





图2. (A)线性高分子黏附性能;(B)PAT-2的抗氧化性能;(C)基于T2的交联网络力学性能;(D)PATN-3循环加工后力学性能对比;(E)DMSO降解硫缩醛基团的机理;(F)交联网络PATN-1降解及升华回收香草醛
此研究拓展了硫醇和醛基缩聚反应的催化体系,制备了结构丰富的绿色高分子材料,原料易得、合成简便、产物性能优异,具有化学可回收性,相关成果以“Thiol-Aldehyde Polycondensation for bio-based adaptable and degradable phenolic polymers”为题发表于Angew. Chem. Int. Ed., 并被选为VIP论文作为Inside Cover报道(下图)。

安徽农业大学生物质分子工程中心袁亮教授与中国林科院林化所徐士超副研究员为论文通讯作者,研究生金禹和胡程程为论文共同第一作者。作者感谢安徽农业大学林业工程学科平台、生物质分子工程中心创新平台,中国林科院林木生物质低碳高效利用国家工程研究中心和国家林产化学工业技术研究中心的大力支持。此项研究得到了“十四五“国家重点研发计划项目、安徽农业大学高层次人才启动项目、安徽省自然科学基金和安徽省海外高层次人才创新项目资助。
原文链接:
https://onlinelibrary.wiley.com/doi/10.1002/anie.202305677
相关进展
北理工陈煜教授、冯立辉副教授《ACS AMI》:采用天然高分子绿色微球构建高灵敏可回收无线监测QCM湿度传感器
四川大学傅强教授/白红伟教授 Polymer:通过界面增容和动态硫化制备刚韧平衡的可降解PLA/PBAT共混物
吉林大学孙俊奇教授团队 AFM: 基于动态交联策略制备高强度、可多次加工和可降解的生物基超分子塑料
高分子科技原创文章。欢迎个人转发和分享,刊物或媒体如需转载,请联系邮箱:info@polymer.cn
诚邀投稿
欢迎专家学者提供稿件(论文、项目介绍、新技术、学术交流、单位新闻、参会信息、招聘招生等)至info@polymer.cn,并请注明详细联系信息。高分子科技®会及时推送,并同时发布在中国聚合物网上。
欢迎加入微信群 为满足高分子产学研各界同仁的要求,陆续开通了包括高分子专家学者群在内的几十个专项交流群,也包括高分子产业技术、企业家、博士、研究生、媒体期刊会展协会等群,全覆盖高分子产业或领域。目前汇聚了国内外高校科研院所及企业研发中心的上万名顶尖的专家学者、技术人员及企业家。
申请入群,请先加审核微信号PolymerChina(或长按下方二维码),并请一定注明:高分子+姓名+单位+职称(或学位)+领域(或行业),否则不予受理,资格经过审核后入相关专业群。
点
这里“阅读原文”,查看更多


