
热塑性聚氨酯弹性体(TPU)以其优异的长程形变能力、可调的强度和模量等优异性能在诸如柔性电子、人工肌肉、致动器等领域具有重要应用。TPU的分子结构由软段和硬段交替共聚而成,其中硬段通过超分子组装形成硬相,维持材料良好的模量、强度和回弹性,软段则利用其构象调整赋予TPU长程形变能力。然而,硬段间的超分子组装在长程形变时往往会发生动态解离和重新缔合,造成TPU回弹受阻。

聚合物分子链高效回弹的本质源自熵弹性。然而,熵弹性理论的前提模型是理想链,即忽略了分子间作用力的影响,导致与实际材料的回弹能量不符,造成不同程度的熵损失。鉴于此,中科院宁波材料所陈海明副研究员、茅东升研究员提出利用回弹时的负焓效应补偿因分子间作用力引起的熵损失,从而获得了在长程形变时仍高达95%的即时回弹效率。以“Negative Enthalpy Variation Drives Rapid Recovery in Thermoplastic Elastomer”为题发表在最新一期的《Advanced Materials》期刊上。
该研究通过引入双结晶性软段(PTMEG和PCL),基于无规共聚构筑了热力学相容的双软段TPU。在形变过程中由于双软段均可发生应变诱导结晶,进而发生微相分离,产生相界面。回弹时,熵弹性促使应变诱导生成的晶体熔融,相界面消失,释放了存储的界面能。所释放的界面能有效补偿了因氢键的动态解离、晶体熔融等过程所消耗的熵弹性,从而起到增弹作用。设计思路如图1所示。

图1. 双软段TPU的设计思路和结构分析。(a)结晶诱导相分离增加了界面能;(b)LCST体系应力诱导自由能升高;(c)合成TPU所用的化学药品分子结构;(d)DSC和(e)DMA曲线证明PCL和PTMEG在拉伸之前处于热力学相容状态;(f)双软段TPU的微观结构示意图。
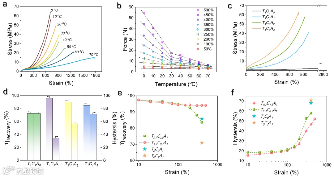
选择PCL和PTMEG摩尔比为1:1的体系作为实例研究了其回弹能力。显然,在相同的最大应变处,T1C1A1具有更加的即时回弹效率(95%),该回弹效率超过了目前所报道的大多数人工合成弹性体,在短程形变时可与生物蛋白相媲美。且T1C1A1在较宽的温度和频率范围都具有良好的回弹能力。

图2. (a)T2C0A1, T1C1A1和T0C2A1的应力-应变曲线;(b)T2C0A1, T1C1A1和T0C2A1的循环应力-应变曲线;(c)T1C1A1的回弹性与其它优异弹性体的对比;(d-f)不同最大应变处回弹时的应力-应变曲线;(g)T1C1A1的回弹效率和滞后比随最大应变的演化规律;(h-i)回弹效率与温度、频率的关系。
利用原位WAXS/SAXS对T1C1A1形变过程中的微观形态进行了追踪,如图3和4所示。相较于单组份软段的弹性体而言,双软段弹性体长周期在拉伸和回弹时几乎重合,表明其微观结构完全可逆。图4i为T1C1A1形变过程中的微观形态演化的结构示意图。

图3. (a-b)T1C1A1的2D WAXS/SAXS图案;(c)T2C0A1, T1C1A1和T0C2A1的1D WAXS积分曲线;(d)T2C0A1,(e)T0C2A1和(f)T1C1A1的长周期演化规律。

图4. T1C1A1的1D SAXS(a-d)和1D WAXS曲线(e-h);(i)T1C1A1在形变过程中的微观结构演化示意图。
在此,作者计算了经界面能补偿熵弹性后依然牺牲熵弹性所引起的能量变化, T2C0A1, T1C1A1和T0C2A1的能量分别为15.82 cal g-1, 9.72 cal g-1和69.65 cal g-1,可见,界面能的释放有效降低了熵损失。更进一步,通过增加氢键密度可知,氢键密度越高则耗能越多,牺牲的熵弹性也越大,造成残留应变更甚。当双软段的比例非对称时,则其回弹能力也会进一步下降,进一步表明了界面能对熵损失的补偿作用。

图5. (a)不同温度T1C1A1的应力-应变曲线;(b)T1C1A1的拉伸力-温度关系;(c)T1C1Az的应力-应变曲线;(d)T1C1Az的回弹效率和滞后比;(e-f)TxCyA1的回弹效率和滞后比。
中科院宁波材料所陈海明副研究员为该论文第一作者,茅东升研究员和新加坡国立大学Chaobin He教授为共同通讯作者。该工作得到了国家自然科学基金(52103014),宁波市自然科学基金(2023J407 和 2023S054),浙江省创新团队(2021R01005)、宁波市创新团队(2021A-045-C)和中科院百人计划的支持。
论文链接:
https://onlinelibrary.wiley.com/doi/abs/10.1002/adma.202311332
相关进展
宁波材料所茅东升研究员/陈海明副研究员 JMCA:离子封端超支化感应型高强度胶粘剂
宁波材料所茅东升研究员/陈海明副研究员团队 AFM: 氢键主导构建全能超分子遥爪型聚合物
新加坡国立大学He Chaobin教授团队在“通用塑料废弃物可控碳化”研究方向上取得重要进展
新加坡国立大学He Chaobin教授团队在“赖氨酸可控碳化”研究方向上取得重要进展
高分子科技原创文章。欢迎个人转发和分享,刊物或媒体如需转载,请联系邮箱:info@polymer.cn
欢迎专家学者提供稿件(论文、项目介绍、新技术、学术交流、单位新闻、参会信息、招聘招生等)至info@polymer.cn,并请注明详细联系信息。高分子科技®会及时推送,并同时发布在中国聚合物网上。
欢迎加入微信群 为满足高分子产学研各界同仁的要求,陆续开通了包括高分子专家学者群在内的几十个专项交流群,也包括高分子产业技术、企业家、博士、研究生、媒体期刊会展协会等群,全覆盖高分子产业或领域。目前汇聚了国内外高校科研院所及企业研发中心的上万名顶尖的专家学者、技术人员及企业家。
申请入群,请先加审核微信号PolymerChina(或长按下方二维码),并请一定注明:高分子+姓名+单位+职称(或学位)+领域(或行业),否则不予受理,资格经过审核后入相关专业群。