
木材自人类从地球上诞生起,就始终伴随我们,具有绿色环保、来源广泛、固碳能力强等优良特性,广泛应用在家具、人造板、建筑等传统领域中。从材料学的视角看,木材具有极其复杂的结构和多种性能,通过学科交叉的方式,借助其它学科的新概念和新原理,有望实现木材组织性能和结构功能的跨越性提升或变革性发展。因此,未来前沿创新材料发展的另一极有望指向如何革新人们习以为常的传统材料体系并进行颠覆性重构和全面提升换代。
激光二极管因其具有发光效率高、照射距离远、使用寿命长、结构紧凑等优点,因此有望成为下一代照明光源。目前激光二极管主要是通过将聚焦激光束照射到荧光材料上产生光,然而这个过程存在光转换效率问题。倘若可以将激光束直接转化成可照明光源,将大大有助于激光照明技术的进一步发展。
透明木材(亦叫透光木材、玻璃木等),是在木材科学与材料科学基础上交叉孕育发展起来的一种新型绿色复合材料,具有透光率高、重量轻、隔热性能好等优点,因而受到人们的广泛关注。然而,透明木材存在高雾度的特点,近年来,该领域的研究人员致力于解决雾度的问题,却忽视了一个道理:是否可以反其道而行之,充分提高并利用雾度主要是由于“光散射引起”这个基本原理,探索其在现代科学史中的作用和功能定位。
基于此,中国林科院木材工业研究所木质复合材料研究室唐启恒研究小组利用逆向思维,提出将折射率与纤维素不匹配的树脂浸入脱除木质素(或脱除木质素发色、助色等基团)木材这个策略,充分提高透明木材的雾度,固化之后,得到高雾度的透光木质复合材料。在相同条件下,倘若采用折射率匹配策略,制备得到材料的雾度约为20%;当采用折射率不匹配策略,该材料的雾度显著提升(>90%)。该材料在微观下表现为木材细胞骨架和树脂形成双相互穿网络结构,该结构形成折射率极其不均匀介质体系,促使光在网络结构中发生高度散射,而这种高散射特性却恰好成为将束状聚集的激光进行3D空间散射的天然优势,无需经过荧光材料的转换,即可实现高效率固态激光照明,有效解决了当前激光二极管(LD)存在光转换引起能量损失的问题,打开木材在激光照明领域应用的可能性;此外,当调整红绿蓝三基色激光照射比例时,该材料还能发出不同颜色的光,从而利用木材再现了牛顿在350多年前光的合成实验,研究小组称之为“木质激光散射体复合材料(简称:激光木材)”。
研究成果发表在国际顶级期刊Advanced Materials(2023,DOI:10.1002/adma.202306593),唐启恒副研究员为本论文的第一作者兼通讯作者,陈勇平研究员为共同通讯作者,该工作得到郭文静研究员和常亮研究员的大力支持和悉心指导。该研究成果是中国林业科学研究院木材工业研究所(可追溯至1928年北平静生生物调查所)近100年历史中,首次有科研人员在Advanced Materials这类级别的国际顶级期刊发表论文,实现“零”的突破。

德国哲学家黑格尔在《法哲学原理》有一句名言:“Was vernünftig ist, das ist wirklich; und was wirklich ist, das ist vernünftig.”翻译过来就是“凡是合乎理性的东西都是现实的;凡是现实的东西都是合乎理性的(经常被人翻译为“合理的就是存在的,存在的就是合理的”)”。雾度作为透明木材的一个特征,可认为是一个合乎自然规律的东西,因此必然有其存在的道理。我国先秦哲学家老子在他的《道德经》第四十章中有一句话:“反者道之动,弱者道之用,天下万物生于有,有生于无。”意思是说:事物发展到极限,就要走向反面,这是道的运动规律,或者说任何事物对立面的双方是可以相互依存和转化的,物极必反。

正是在中西方哲学思想的指引下,研究小组认为:雾度作为一个合乎理性的事实存在,如果无法将其降至最低,是否可以逆向提高其雾度,掌握高雾度透明木材的特性,并为其探索新的应用领域,有望解决困扰学界多年的雾度问题,并为透明木材打开一个全新的研究领域。常规透明木材是将折射率与纤维素匹配的高分子树脂浸入脱除木质素(或脱除木质素发色、助色等基团)的木材中,固化而成。而研究小组则反其道而行之,提出折射率不匹配策略,创制激光木材,并探索其在固态激光照明领域的应用。
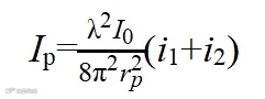
首先,研究小组根据光的散射理论和米氏散射模型,明确散射激光在空间中的强度分布,并且确定入射激光在传播过程中还与原始木材细胞壁厚度、纤维素体积分数等材性存在很大关系,因为这些因素影响光与传播介质之间的相互作用,导致呈现不同散射效果。其光强度分布方程如下:

i1——The function of scattering light intensity in the vertical direction;
i2——The function of scattered light intensity in the horizontal direction;
Both function can be described as follow:
i1=S1(m, θ, a)S1*(m, θ, a)
i2= S2(m, θ, a)S2*(m, θ, a)
S1——the vertical component of the complex amplitude function of scattered light,
S2——the horizontal component of the complex amplitude function of scattered light,
m——negative refraction index,
a=2πrp/λ——parameters of particles,
S1*, S2*—— Conjugate complex number of S1 and S2, respectively.
其次,用于空间照明的材料,还需要有良好的照明均匀性。而不同木材,其细胞壁厚度和纤维素体积分数等自身结构特性完全不一样,这将严重影响激光木材照明均匀性。为此,本研究选用6种不同密度的球形木材为原材料,脱除木质素之后,浸入聚乙二醇二丙烯酸酯,光固化后得到不同类型的激光木材。激光木材的光照均匀性采用光照变异系数来表示,研究结果表明:只有合适的原始木材密度才能用于制备具有高效率3D空间均匀照明的激光木材,其最低变异系数为17.7%,此时激光木材周边散射光强度分布接近于球形,且其变异系数远低于商业的光散射体,而且光照均匀性大于 0.9,远高于国际标准化组织对室内工作场所照明的要求,散斑对比度也远低于商业散射体材料。同时,研究小组还探索球形激光木材的直径以及光入射方向对光变异系数的影响。


图2 入射激光与球形木材、聚乙二醇二丙烯酸酯和激光木材的相互作用关系

图3不同类型激光木材的光照强度分布以及变异系数

将聚乙二醇二丙烯酸酯浸入脱除木质素木材内部,促使树脂和木材形成双相三维互穿网络结构,固化之后,该结构中树脂填充木材细胞腔等孔隙结构,减少孔隙率,弱化应力集中,大大提升了材料的力学性能;而且这个结构受力时,树脂和细胞壁两相之间存在相互拉扯,可以有效阻止离域损伤、开裂,同时延长裂纹传播路径,从而提高材料的韧性。

1665年-1666年,牛顿利用三棱镜将太阳光分成七种颜色,之后又将不同颜色的光重新组合,得到白色的太阳光,由此他推测:白色阳光是由不同颜色的单色光组合而成,该研究成果影响光学数百年,并且还将延续着。基于此,研究小组认为:激光照射到激光木材上时,发生严重散射,倘若将不同颜色激光同时照射激光木材时,多重散射光就可以均匀混合在一起;当改变入射激光的颜色组合时,根据牛顿的光学理论,人眼就可以看到激光木材生成全色域的任意颜色的光照明。根据眼视光医学理论可知,当这些不同颜色的单色光照射到人眼视锥细胞时,形成人脑可自动进行对应处理的信号,使人产生色彩意,即我们感知的光颜色。于是,研究小组调整红绿蓝三基色激光的比例,利用激光木材合成出不同颜色的光,当调控到合适的比例时,可生成明亮的白光,开创性地利用木材再现了350多年前牛顿光的合成实验。同时,该材料还具有显著的耐热、光照、酸、碱、盐等极端溶液环境的性能。

图6 激光木材实现全色域光照明、水下照明以及远距离照明
基于激光可以长距离照射的功能,当将激光木材放在远处时,依然可以实现照明效果。因此,激光木材未来在涉及国防军工、民用科技的照明(如远距离岛屿、无接触室内外、深水、深海、极端环境等)等领域均具有巨大的应用前景。
该项研究是木材科学、材料科学、经典光学、眼视光医学、神经学等多学科交叉的成果,这不仅为木材光电子学的发展及木材高值化利用提供理论参考,而且还可以助力我国绿色低碳高质量发展和生态文明建设。研究小组将激光木材戏称为“透明木材2.0版本”,未来将瞄准3.0、4.0等版本的研发。
审稿人对这项工作给予很好的评价:“这项工作非常有趣,为天然木材应用于新兴的激光照明领域提供了一条道路”;“这个想法极其fascinating(极具吸引力的;迷人的;使人神魂颠倒的;使人陶醉的),因为它从完全不同的角度提出了一个全新的照明材料系统,并且找到了非常新颖的应用,为光学照明系统未来的发展打开了一扇新的窗户”;“这项工作为解决雾度问题提出了一个极其令人兴奋想法,从另一个角度为透明木材未来的应用打开了一条崭新的道路”;“建议以目前的形式尽快发表于《Advanced Materials》杂志”。
自2016年以来,研究小组一直致力于透明木(竹)材基础理论及前沿科技的应用研究,是国内最早从事透明木(竹)材研究的团队之一。经过多年研究,团队研制出高强韧透明木(竹)材、雾度可控透明木(竹)材、刚柔可控透明木(竹)材等一系列材料的制造技术,并且还探索该类型材料在柔性器件电极材料、量子点发光材料、摩擦纳米发电机、可感知疼痛柔性电子皮肤等前沿领域的应用(Chemical Engineering Journal, 2022, 430: 132152;ACS Sustainable Chemistry & Engineering, 2022, 10: 2097−2106;Nanoscale, 2018, 10(9): 4344-4353;木材科学与技术, 2023, 37(5): 47-52;木材科学与技术, 2022, 36(6):1-12;ZL202111085114.7;ZL202010907668.X;ZL201711447041.5)。
该项工作得到国家林草局青年拔尖人才项目(2022132007)、国家自然科学基金(31800484)等经费的支持。
https://onlinelibrary.wiley.com/doi/10.1002/adma.202306593
木质复合材料研究室成立于2009年,目前,研究室主要在木质复合材料基础理论、结构设计、数值模拟与仿真、轻质/高强复合材料制造技术及产品开发、木质复合材料性能评价与应用等领域开展相关研究。主要研究内容有:轻质高强人造板及复合材料制造技术、装饰用木竹纤维复合材料(卷材)制造技术、无醛添加热塑性树脂胶合板及制品制造技术、模压复合材料结构-性能一体化制造技术、木质前沿新材料制造技术、建筑结构用木竹复合材料制造技术、木质复合材料用胶制备技术、木塑复合材料制造技术等,研究成果主要应用于人造板、汽车工业、轨道交通、先进制造工程及尖端前沿材料等领域。

木质复合材料研究室成员
相关进展
中国林科院木材所郭文静研究员/唐启恒副研究员CEJ:可感知疼痛的力致/电致双响应超柔性透明木材电子皮肤
中国林科院木材所郭文静研究员/唐启恒副研究员ACS Sus. Chem. Eng. 封面文章:高强度三维互穿网络结构木基复合材料
高分子科技原创文章。欢迎个人转发和分享,刊物或媒体如需转载,请联系邮箱:info@polymer.cn
欢迎专家学者提供稿件(论文、项目介绍、新技术、学术交流、单位新闻、参会信息、招聘招生等)至info@polymer.cn,并请注明详细联系信息。高分子科技®会及时推送,并同时发布在中国聚合物网上。
欢迎加入微信群 为满足高分子产学研各界同仁的要求,陆续开通了包括高分子专家学者群在内的几十个专项交流群,也包括高分子产业技术、企业家、博士、研究生、媒体期刊会展协会等群,全覆盖高分子产业或领域。目前汇聚了国内外高校科研院所及企业研发中心的上万名顶尖的专家学者、技术人员及企业家。
申请入群,请先加审核微信号PolymerChina(或长按下方二维码),并请一定注明:高分子+姓名+单位+职称(或学位)+领域(或行业),否则不予受理,资格经过审核后入相关专业群。