

高效且具有选择性的聚合反应对于结构明确的功能聚合物的制备至关重要。基于其反应高效、条件温和、选择性好及官能团耐受性好等优点,点击聚合已成为制备功能聚合物的强有力工具。作为其中的突出代表,一价铜催化的叠氮-炔点击聚合已被广泛研究并用于制备各种功能性1,4-立构规整聚三唑,而其他的尤其是具有1,5-区域选择性的叠氮-炔点击聚合的研究相对较少,仍有待进一步开发。
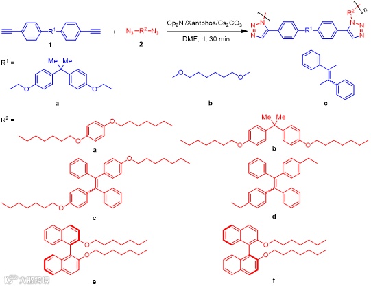
华南理工大学唐本忠院士团队秦安军教授课题组一直致力于发展基于炔类单体的高效点击聚合(Aggregate 2023, 4:e350,Polym. Chem., 2018, 9, 2853),叠氮-炔点击聚合是重要的研究方向之一。近期,该课题组报道了一种全新的镍络合物催化的叠氮-炔点击聚合。该聚合反应以Cp2Ni/Xantphos/Cs2CO3为催化体系,叠氮和炔类单体在室温反应30分钟即可以高达96.7%的产率获得重均分子量Mw高达67900的聚三唑,且其1,5-立构规整度高达100%(图1)。与已报道的一价铜催化的点击聚合的最佳聚合结果(30 oC反应4小时,获得Mw为32000的聚三唑,Polym. Chem., 2021, 12, 1078)相比,镍催化点击聚合表现出更高的聚合效率,在更短时间内可获得更高分子量的聚合产物。另外,目前已报道的具有1,5-区域选择性的叠氮-炔点击聚合中,二价钌催化点击聚合催化剂价格昂贵且反应需加热,拓扑点击聚合对单体结构和晶体中分子的排列有严格要求,有机碱催化点击聚合则仅适用于芳香叠氮和芳香炔类单体,相比而言,镍络合物催化的点击聚合不仅更高效且没有这些不足。

图1. 镍络合物催化叠氮-炔点击聚合制备1,5-立构规整聚三唑
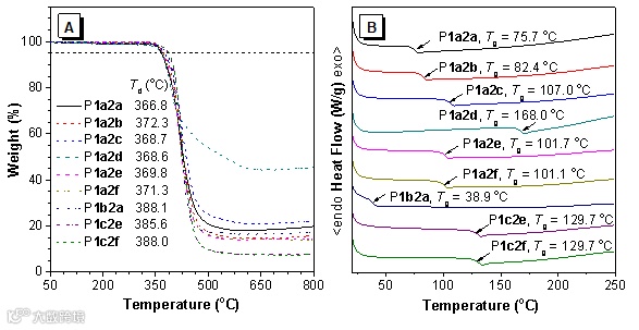
随后,作者对所制得1,5-立构规整聚三唑的热性质和光学性质进行了研究。结果显示,这些聚三唑具有较好的热稳定性,热失重5%的温度在366.8 oC以上,玻璃化转变温度(38.9-168.0 oC)则与其聚合物结构中的烷基链含量密切相关(图2)。聚合产物在632.8 nm处的折光指数为1.5921-1.6759,高于常规的商用塑料,与聚合物结构中的芳香环含量密切相关,芳香环含量越高折光指数越高(图3)。


得益于其优秀的官能团耐受性,作者通过该点击聚合成功向聚合物结构中引入了具有聚集诱导发光(AIE)性质的四苯基乙烯基元和具有手性的联二萘基元,分别制得了具有AIE活性和手性的聚合物(图4和5)。上述结果表明镍络合物催化的叠氮-炔点击聚合不仅为1,5-立构规整聚三唑的制备提供了新方法,而且在功能聚合物的制备方面表现出较大潜力。

图4. 聚合物P1a2c, P1a2d, P1c2e和P1c2f在不同含水量的THF/水混合溶液中的发光行为

图5. 聚合物P1a2e, P1c2e, P1a2f, P1c2f及其单体2e-2f在THF溶液中的圆二色谱
该工作以“Nickel-Catalyzed Azide–Alkyne Click Polymerization toward 1,5-Regioregular Polytriazoles”为题发表在Macromolecules 上,论文第一作者为华南理工大学黄蝶博士,通讯作者为华南理工大学秦安军教授和唐本忠院士。相关研究工作获得国家自然科学基金、广东省基金及中国博士后基金的资助。
原文链接:
https://pubs.acs.org/doi/10.1021/acs.macromol.3c02000
高分子科技原创文章。欢迎个人转发和分享,刊物或媒体如需转载,请联系邮箱:info@polymer.cn
欢迎专家学者提供稿件(论文、项目介绍、新技术、学术交流、单位新闻、参会信息、招聘招生等)至info@polymer.cn,并请注明详细联系信息。高分子科技®会及时推送,并同时发布在中国聚合物网上。
欢迎加入微信群 为满足高分子产学研各界同仁的要求,陆续开通了包括高分子专家学者群在内的几十个专项交流群,也包括高分子产业技术、企业家、博士、研究生、媒体期刊会展协会等群,全覆盖高分子产业或领域。目前汇聚了国内外高校科研院所及企业研发中心的上万名顶尖的专家学者、技术人员及企业家。
申请入群,请先加审核微信号PolymerChina (或长按下方二维码),并请一定注明:高分子+姓名+单位+职称(或学位)+领域(或行业),否则不予受理,资格经过审核后入相关专业群。