手性材料具有独特且出色的应用性能,其合成和应用研究具有重要的科学意义和市场价值(图1)。到目前为止,手性材料研究往往局限于天然手性高分子材料和极少数人工合成手性材料。手性材料领域的发展面临着诸多问题和挑战,其中“合成难”、“表征难”是其核心瓶颈问题之一,这也直接制约手性催化聚合机理、材料构效关系和功能应用等领域的发展。

图1. 手性材料的应用领域

图2.不对称拆分聚合反应

图3“双配体”的Bis(Salen)Al催化剂用于外消旋苯乙基乙交酯的不对称拆分聚合


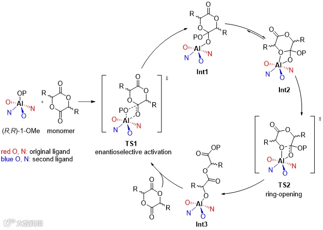
图4 DFT计算数据
原文链接:
https://doi.org/10.1021/jacs.3c14091
相关进展
青岛能源所王庆刚研究员团队Green Chem.综述:循环高分子材料领域最新进展
中科院青岛能源所王庆刚研究员发展了聚酯的可控聚合和高效解聚新方法
中科院青岛能源所王庆刚团队开发出超高分子量支化聚烯烃橡胶的高效合成新方法
中科院青岛能源所王庆刚课题组提出不对称拆分聚合制备手性聚合物新策略
高分子科技原创文章。欢迎个人转发和分享,刊物或媒体如需转载,请联系邮箱:info@polymer.cn
诚邀投稿
欢迎专家学者提供稿件(论文、项目介绍、新技术、学术交流、单位新闻、参会信息、招聘招生等)至info@polymer.cn,并请注明详细联系信息。高分子科技®会及时推送,并同时发布在中国聚合物网上。
欢迎加入微信群 为满足高分子产学研各界同仁的要求,陆续开通了包括高分子专家学者群在内的几十个专项交流群,也包括高分子产业技术、企业家、博士、研究生、媒体期刊会展协会等群,全覆盖高分子产业或领域。目前汇聚了国内外高校科研院所及企业研发中心的上万名顶尖的专家学者、技术人员及企业家。
申请入群,请先加审核微信号PolymerChina (或长按下方二维码),并请一定注明:高分子+姓名+单位+职称(或学位)+领域(或行业),否则不予受理,资格经过审核后入相关专业群。
点
这里“阅读原文”,查看更多

