开发低成本、性能优良的新型质子交换膜(PEMs)以替代Nafion具有重要意义。其中,磺化聚芳醚酮砜(SPAEKS)因其价格低廉,甲醇渗透率低和热稳定性高被认为是Nafion膜的理想替代品之一。为了在低磺化度下获得较高的质子传导能力,对SPAEKS进行改性是PEMs领域亟待解决的问题。多金属氧酸盐(POMs)具有表面富氧、强酸性和良好的化学稳定性等优点,通常被用作高质子导体。POMs掺杂的SPAEKS结合二者的优势,从而实现了杂化PEMs的性能优化。

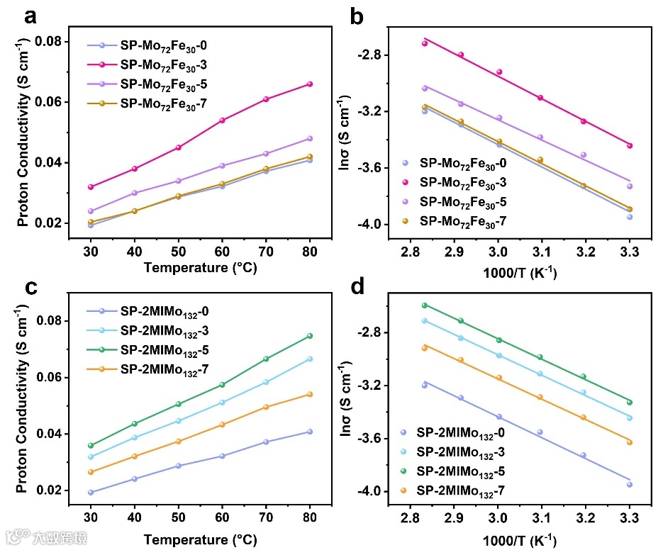
近日,长春工业大学王哲、何雯雯及华南师范大学兰亚乾团队制备了一系列钼簇掺杂的磺化聚芳醚酮砜杂化膜。首先,将{Mo132}引入到SPAEKS中制备了杂化膜(SP-Mo132)。然而,{Mo132}的高亲水性导致其在SPAEKS基质中的严重溶出。随后,将SPAEKS与{Mo72Fe30}进行杂化得到杂化膜(SP-Mo72Fe30)。值得注意的是,{Mo72Fe30}在杂化膜中的溶出大大降低。同时,SP-Mo72Fe30-3在80 °C条件下可表现出良好的质子电导率,为66 mS cm−1。为了进一步提高杂化膜的质子电导率,在SPAEKS体系中引入含氮配体(2-甲基咪唑)修饰的{Mo132}(2MeIm-{Mo132})并制备杂化膜(SP-2MIMo132)。其中,SP-2MIMo132-5在80 °C时表现出75 mS cm−1的优异电导率。2MeIm-{Mo132}的亲水性可以帮助杂化膜吸收更多的水分子,作为额外的质子载体。同时,POMs中的氧原子和配体中的氮原子贡献了大量的质子跳跃位点,从而降低了质子跳跃的能垒,有效地提高了杂化膜的质子电导率。该工作以“Hybrid Membrane of Sulfonated Poly(aryl ether ketone sulfone) Modified by Molybdenum Clusters with Enhanced Proton Conductivity”为题发表在Small期刊上(DOI:10.1002/smll.202312209)

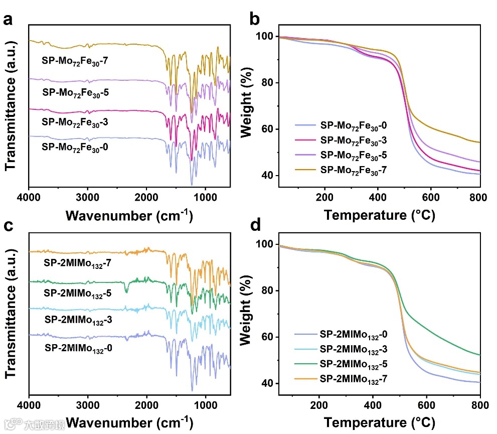
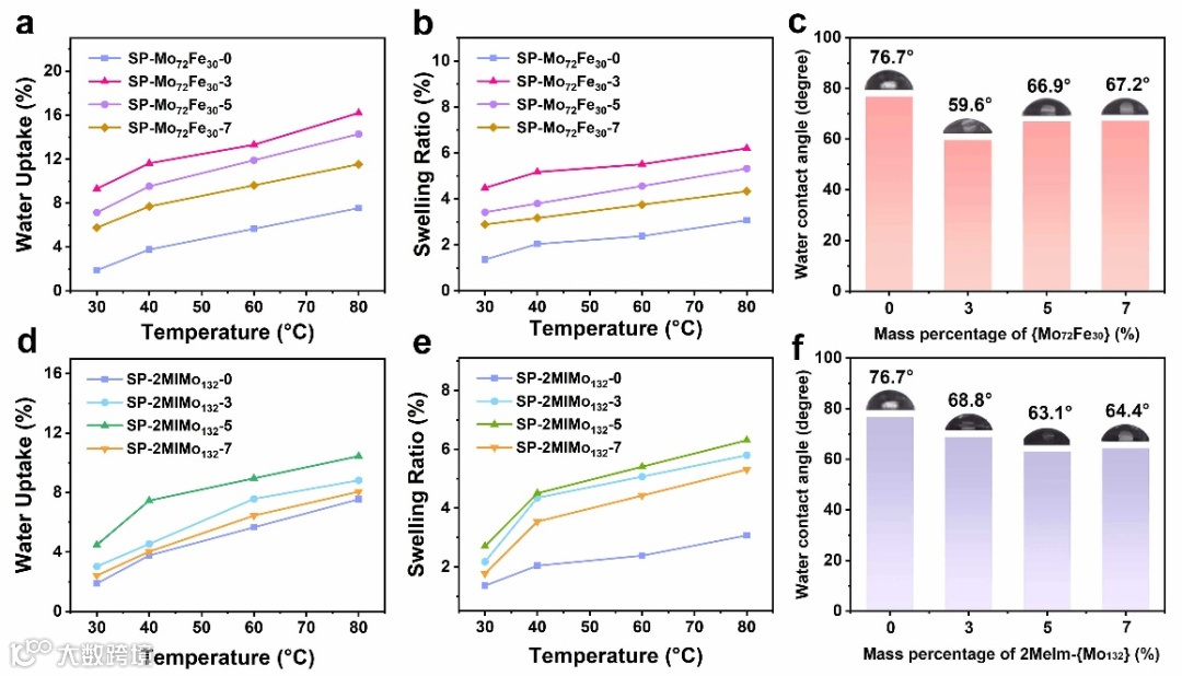
作者对SPAEKS、SP-Mo72Fe30-x(x = 0, 3, 5, 7 wt%)及SP-2MIMo132-y(y = 0, 3, 5, 7 wt%)进行了FT-IR的结构表征和TGA热稳定性表征,结果表明聚合物主链磺酸基团的成功引入以及钼簇的加入不会改变SPAEKS本身的化学结构。TGA显示杂化膜具有良好的热稳定性,可以满足燃料电池工作的温度要求。SEM和EDS证明钼簇被成功引入到SPAEKS中并且分别在杂化膜SP-Mo72Fe30-3和SP-2MIMo132-5中均匀分散,没有发生聚集,这为杂化膜的优良性能奠定了基础。此外,对纯膜及杂化膜的吸水率、溶胀率、IEC、质子传导率等进行了测试。结果表明,掺杂5 wt%的2MeIm-{Mo132}的杂化膜表现出更优异的综合性能。在80 °C时SP-2MIMo132-5的传导率为75 mS cm−1,将其组装到H2/O2燃料电池中,在80 °C和100% RH下的峰值功率密度为266.2 mW cm-2。

图2. a SP-Mo72Fe30-x的红外光谱和b TGA曲线,c SP-2MIMo132-y的红外光谱和d TGA曲线


图4. 杂化膜SP-Mo72Fe30-3和SP-2MIMo132-5的EDS图

图5. a-c SP-Mo72Fe30-x的吸水率、溶胀率和水接触角,d-f SP-2MIMo132-y的吸水率、溶胀率和水接触角

图6. a SP-Mo72Fe30-x在不同温度下的质子电导率和b Arrhenius曲线,c SP-2MIMo132-y在不同温度下的质子电导率和d Arrhenius曲线

图7. SPAEKS、SP-Mo72Fe30-3和SP-2MIMo132-5的电池性能
总结:钼簇2MeIm-{Mo132}的引入显著提高了SPAEKS的质子传导能力。一方面钼簇与主链磺酸基团之间的氢键相互作用减少其溶出;另一方面,2MeIm-{Mo132}优良的亲水性可以保留更多的水分子,为质子传输提供丰富的载体,建立连续的亲水通道,此外,含氮配体也贡献出额外的质子跳跃位点,从而降低杂化膜内的质子传递能垒,加速质子的迁移,显著提升杂化膜的质子电导率。本研究表明,钼簇对提高PEMs的综合性能具有积极作用,为多金属氧酸盐在燃料电池质子交换膜中的应用提供了新思路。
原文链接:
https://onlinelibrary.wiley.com/doi/10.1002/smll.202312209
相关进展
高分子科技原创文章。欢迎个人转发和分享,刊物或媒体如需转载,请联系邮箱:info@polymer.cn
欢迎专家学者提供稿件(论文、项目介绍、新技术、学术交流、单位新闻、参会信息、招聘招生等)至info@polymer.cn,并请注明详细联系信息。高分子科技®会及时推送,并同时发布在中国聚合物网上。
欢迎加入微信群 为满足高分子产学研各界同仁的要求,陆续开通了包括高分子专家学者群在内的几十个专项交流群,也包括高分子产业技术、企业家、博士、研究生、媒体期刊会展协会等群,全覆盖高分子产业或领域。目前汇聚了国内外高校科研院所及企业研发中心的上万名顶尖的专家学者、技术人员及企业家。
申请入群,请先加审核微信号PolymerChina(或长按下方二维码),并请一定注明:高分子+姓名+单位+职称(或学位)+领域(或行业),否则不予受理,资格经过审核后入相关专业群。