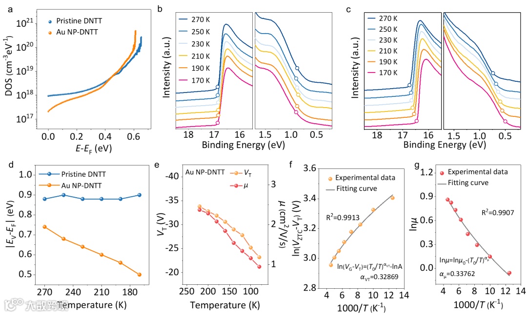
有机半导体材料因其本征柔性、低成本和可大面积加工等优势,在柔性显示、电子皮肤、智慧医疗及物联网等领域具有广阔的应用前景。然而,有机半导体由于其具有温度依赖性的电荷传输机制以及易受温度影响的形貌演变现象,表现为本征温度敏感。以有机半导体作为导电沟道的有机场效应晶体管,其电学特性及稳定性也极易受到温度效应的影响。因此,实现对温度不敏感的有机场效应晶体管对有机电子设备在实际环境中的应用至关重要。针对温度影响有机半导体形貌演变的问题,天津大学李立强-陈小松团队前期开发的应变工程策略可有效解决(Nat. Commun., 2022, 13,1480; Adv. Mater. 2023, 2306975)。而针对有机场效应晶体管表现出的温度依赖的电荷传输模式,目前仍没有有效的解决办法。实现温度不敏感的有机场效应晶体管仍是巨大挑战。



论文信息:
https://doi.org/10.1002/adma.202400089
Jiannan Qi, Kai Tie, Yue Ma, Yinan Huang, Wenbing Gong, Shougang Sun, Zhongwu Wang, Zhiyun Li, Rong Huang, Jinshun Bi*, Liqiang Li*, Xiaosong Chen* and Wenping Hu, Achieving Zero-Temperature Coefficient Point Behavior by Defect Passivation for Temperature-Immune Organic Field-Effect Transistors. Adv. Mater. 2024, 2400089.
相关进展
天津大学李立强-陈小松课题组《Nat. Commun.》:大自然的精巧设计 - 有机半导体内的痕量氧掺杂
中科院化学所于贵课题组 CCS Chem./Adv. Mater.:在高迁移率聚合物场效应晶体管方面取得重要进展
天津大学胡文平教授、杨方旭副教授《Adv. Mater.》:实现面向柔性电子的可弯曲的高性能有机单晶与场效应晶体管阵列
高分子科技原创文章。欢迎个人转发和分享,刊物或媒体如需转载,请联系邮箱:info@polymer.cn
诚邀投稿
欢迎专家学者提供稿件(论文、项目介绍、新技术、学术交流、单位新闻、参会信息、招聘招生等)至info@polymer.cn,并请注明详细联系信息。高分子科技®会及时推送,并同时发布在中国聚合物网上。
欢迎加入微信群 为满足高分子产学研各界同仁的要求,陆续开通了包括高分子专家学者群在内的几十个专项交流群,也包括高分子产业技术、企业家、博士、研究生、媒体期刊会展协会等群,全覆盖高分子产业或领域。目前汇聚了国内外高校科研院所及企业研发中心的上万名顶尖的专家学者、技术人员及企业家。
申请入群,请先加审核微信号PolymerChina(或长按下方二维码),并请一定注明:高分子+姓名+单位+职称(或学位)+领域(或行业),否则不予受理,资格经过审核后入相关专业群。
点
这里“阅读原文”,查看更多

