当环状高分子与线性高分子进行共混时,可以将是否被线性链所穿插作为判断标准将环状链分为穿插环(threaded ring,tR)与自由环(free ring, fR)两大类。而随着共混体系组成的差异,两类环的比例也随之改变,研究者将这一现象称为环状链的多态性(Polymorphism)。澄清两类环的比例与各组分链长及其比例之间的关系,对于预测环线共混熔体的流变学性质至关重要。研究者通过分别给出两类环的扩散系数与松弛模量公式,同时结合分子动力学模拟研究了一系列环线共混体系的扩散与松弛行为,验证了上述理论的有效性。
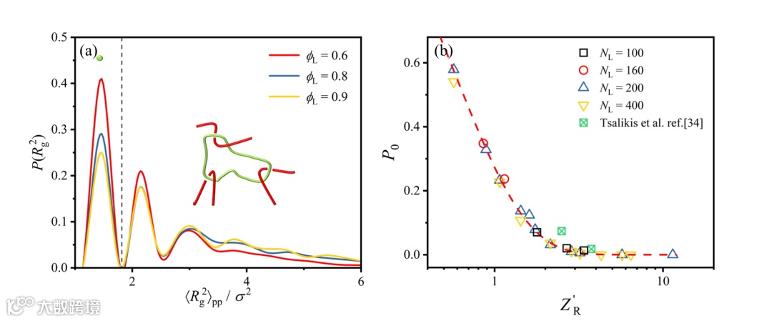
研究者认为共混体系中的自由环与纯环状链熔体的松弛模式类似,符合Rubinstein在2016年提出的分形环圈球滴(fractal loopy globule, FLG)模型(Macromolecules 2016, 49, 2, 708–722);而穿插环则与二元线性共混体系中长线性链的松弛模式类似,通过限制解除Rouse机制(CR-Rouse)进行松弛,基于上述假设,研究者分别给出了两种环的扩散系数与松弛模量的计算公式。为了验证上述理论,研究者借助Kremer-Grest模型与分子动力学模拟系统研究了一系列环线共混体系,涵盖了十分宽的链长(缠结数高达14.3)与环线组分比(0.5 ≤ ϕL ≤ 0.95,ϕL为线性链占比)。研究者首先利用主路径分析(primitive path analysis, PPA)方法,统计了环线共混体系中自由环与穿插环的比例(图1(a))。研究者发现对于所有的体系,自由环占总环状链的比例与环状链的约化缠结度符合一条主曲线,如图1(b)所示,可以统一使用公式1进行描述。
(1)
其中系数A = 1.56,γ = 1.74为拟合参数。

图1. (a) 共混体系中环状链主路径的均方回旋半径。垂直虚线表示区分自由环和穿插环的临界值。(b) 共混体系中自由环的比例(P0)与环状链有效缠结数(Z'R)的关系,红色虚线为公式1的拟合曲线。
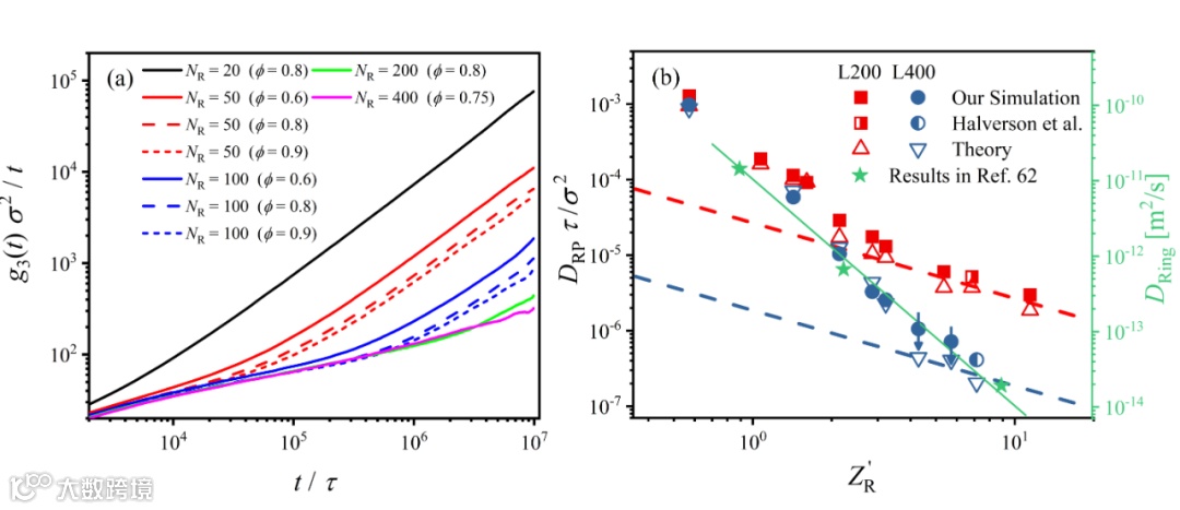
在得到自由环与穿插环的比例后,体系中环状链的扩散系数可以写为两种环各自扩散系数的加权平均(公式2)。自由环的扩散系数与FLG模型中纯环公式相同,穿插环的扩散系数则由公式3给出,将两者代入公式2即可得到体系中环状链扩散系数理论预测值。为验证理论结果,研究者统计了所有体系中环状链的均方位移(图2(a))并计算了相应的扩散系数。发现模拟结果与理论预测一致(见图2(b))。此外,研究者还发现,环状链的扩散系数随链长变化呈现与实验中一致的标度规律,澄清了这一现象正是由于体系中同时存在自由环与穿插环的结果。
(2)
(3)

图2. (a) 共混体系中环状链的均方位移; (b) 环状链扩散系数与有效缠结度Z'R之间的关系,其中虚线为穿插链扩散系数的理论预测值。
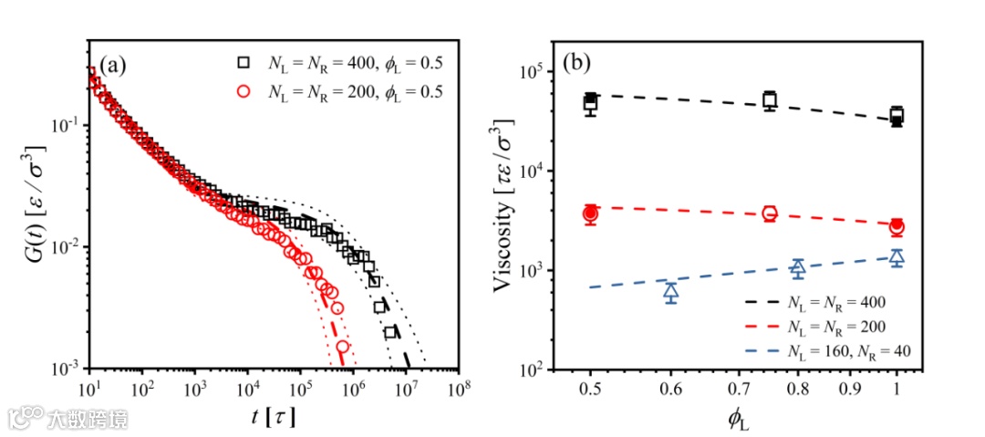
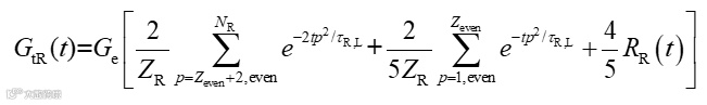
与扩散系数类似,整个共混体系的松弛模量可以写成线性链、自由环与穿插环三部分贡献的加权平均(公式3)。线性链的松弛模量通过经典管子模型给出,自由环的松弛模量与FLG模型中公式一致,而穿插环的松弛模量通过公式(5)给出,将三部分贡献代入公式(4)就能够得到体系整体的松弛模量。为验证理论结果,研究者利用Green-Kubo方法计算了体系的松弛模量(见图3(a))与粘度(见图3(b)),发现模拟结果与理论预测一致。
(4)
(5)

图3. (a) 共混体系理论预测的松弛模量G(t)曲线(虚线)与模拟数据的对比,预测曲线左侧和右侧的点线分别代表线性链与穿插环的贡献。(b) 共混体系理论预测粘度与模拟结果对比,虚线为理论预测曲线。
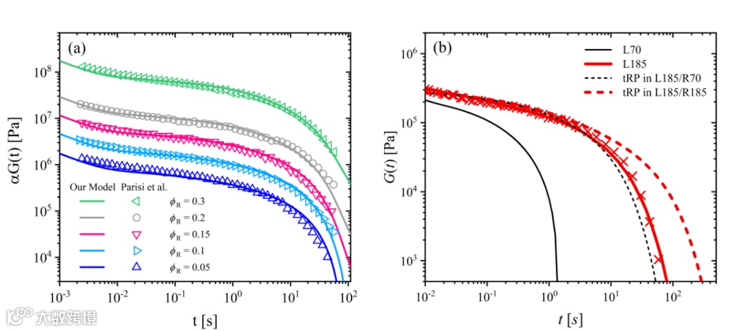
进一步,研究者将理论预测与Parisi前期关于聚苯乙烯环线共混体系(摩尔质量均为185 kg/mol)的实验结果相对照,发现该理论能够很好的预测其松弛模量(见图4(a)),这表明我们的模型可以正确捕捉缠结环线共混体系的松弛行为。此外,研究者还使用公式(4)直接计算了对称环线共混体系(L185/R185,L185与R185分别代表分子量185 kg/mol的线性与环状PS高分子链)和假设的不对称LRB(L185/R70,R70代表分子量70 kg/mol的环状PS链)中穿插环的松弛模量。如图4(b) 所示,发现L185/R185中穿插环的松弛速度比纯线性体系慢,表明较大缠结度穿插环的动力学发生了显著延迟。而对于非对称体系L185/R70中的穿插环,较小的穿插环R70同样发生了动力学延迟,可以看到其松弛速度比纯L70慢得多,而更接近纯L185的松弛模量曲线。

图4. (a) Parisi文献中共混体系松弛模量的理论预测值(实线)与参考文献中的实验数据(空心符号)的比较。 (b) 对称共混体系(L185/R185, ϕL= 0.8)和假定不对称共混体系(L185/R70, ϕL = 0.8)中穿插环松弛模量的理论预测值。
综上所述,研究者在本工作中提出了一种基于环状链的多态性预测其扩散和流变性能的标准方法,并提供了模拟中与预测这两类环状链所占比例的公式,指出了环线共混体系中自由环比例的一般规律。该模型假定自由环与穿插环分别通过FLG与CR-Rouse模式进行松弛,可以在相当宽的链长与环线比范围内估计环的扩散特性和整个共混体系的流变特性,可以作为预测各种成分的线性/环状共混熔体动力学的参考方法。
论文第一作者为广东工业大学阎志超,通讯作者为深圳先进电子材料国际创新研究院王伟,感谢克里特大学的Dimitris Vlassopoulos与Daniele Parisi提供了相关实验数据。该研究工作得到了国家自然科学基金(21803039),广东省基础与应用基础研究基金(2023A1515011167, 2022A1515011940 and 2020A1515010326),广东省珠江人才计划青年项目(2017GC010659)的支持。
论文信息:Zhi-chao Yan, Wei Wang*. Predicting the Rheology of Linear/Ring Polymer Blends from the Polymorphism of Ring Components.
链接地址:
https://doi.org/10.1021/acs.macromol.3c02382
相关进展
广东工业大学阎志超 Macromolecules: 侧链在共轭高分子堆砌结构与动力学行为中所扮演的角色
深圳大学阎志超等人在环状高分子动力学上取得新进展
高分子科技原创文章。欢迎个人转发和分享,刊物或媒体如需转载,请联系邮箱:info@polymer.cn
欢迎专家学者提供稿件(论文、项目介绍、新技术、学术交流、单位新闻、参会信息、招聘招生等)至info@polymer.cn,并请注明详细联系信息。高分子科技®会及时推送,并同时发布在中国聚合物网上。
欢迎加入微信群 为满足高分子产学研各界同仁的要求,陆续开通了包括高分子专家学者群在内的几十个专项交流群,也包括高分子产业技术、企业家、博士、研究生、媒体期刊会展协会等群,全覆盖高分子产业或领域。目前汇聚了国内外高校科研院所及企业研发中心的上万名顶尖的专家学者、技术人员及企业家。
申请入群,请先加审核微信号PolymerChina(或长按下方二维码),并请一定注明:高分子+姓名+单位+职称(或学位)+领域(或行业),否则不予受理,资格经过审核后入相关专业群。