发展聚合物非线性流变测试方法,具有促进聚合物加工理论的发展与实践的重要意义。然而,边缘破裂现象成为了该测试的一个拦路虎。目前,科研人员已提出多种方法来消除边缘破裂,但仍然未能取得令人满意的效果。
为了解决上述问题,希腊FORTH研究所Dimitris Vlassopoulos教授和博士后李本科博士开发了一种新的测试夹具,有效的减弱了该边缘破裂的影响,该研究近期发表于Physics of Fluids。
Dimitris Vlassopoulos教授长期进行聚合物非线性流变研究,通过改进商用分离型椎板夹具CPP(cone-partitioned-plate)的设计,并标准化了测试方法,获得了更好的测试效果,拓展了测试区间。实验室自制的CPP夹具如图1所示。该设计中,内板(inner plate)与外板(outer plate)间的间隙应当尽量小,本设计采用0.1mm的间隙;外侧板(outer plate)的内侧呈现尖角状,从而减弱了进入内外板之间的样品对测量扭矩的影响。另外:在测试方法上,选取合适的样品量也至关重要,样品尺寸影响夹具中心的法向应力大小。基于该设计已取得众多研究成果:(Macromolecules 2013, 46, 5702−5713; Macromolecules 2016, 49, 3925−3935等)。虽然CPP夹具延缓了剪切测试过程中边缘破裂,然而仍然不能完全满足于科研需要。在高剪切速率(高
)下,边缘破裂依然困扰着聚合物熔体的剪切流变测试。
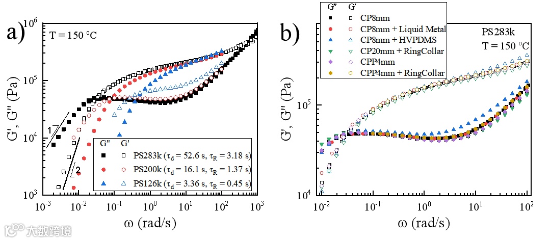
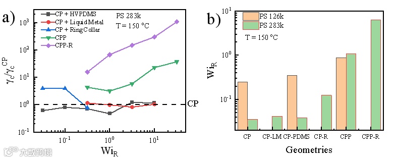
本研究开发了一种新型测试夹具,如图2c-d所示,该设计在CPP夹具外边缘套上保护圆环,称之为CPP-R夹具,从而极大地延缓了边缘破裂的发生。本研究使用的聚合物PS283k在测试温度下具有较长的松弛时间,如图3所示,τR=3.18s,τd=52.6s。使用CPP-R夹具对上述样品进行测试的结果如图4d所示。其表明,使用CPP-R夹具经过长时间强剪切后其流变数据仍处于稳态区间。图5f展示了实验过后其样品形貌。图6量化了其抑制边缘破裂的能力。
该CPP-R夹具也与众多其它夹具的测试结果进行对比,这些夹具包括:普通椎板夹具CP、椎板夹具浸入高黏度硅脂浴CP-HVPDMS、椎板夹具浸入液体金属浴CP-LM、椎板夹具外边缘套上保护圆环CP-R、分离型椎板夹具CPP。夹具示意图及对比结果分别见于图1、2、4、5、6中。
综上,本研究开发的CPP-R夹具极大地提高了聚合物非线性剪切测试的能力。

图1.(a)自制cone-partitioned-plate (CPP)示意图。注意:内径与外筒间的间隙应当尽量小,本设计采用0.1mm的间隙;外侧板(outer plate)的内侧呈现尖角状,该设计可以减弱进入CPP内外板间隙的样品对测量扭矩的影响。(b)CPP整体的示意图,摘自Macromolecules 2016, 49, 3925−3935。

图2:椎板夹具CP的改进型:(a)CP夹具浸入液体浴中;(b)CP夹具边缘套上圆环保护CP-R;(c)CPP夹具边缘套上圆环保护CPP-R;(d)CPP-R的另一种实现方式。

图3:(a)PS126k, PS200k and PS283k的储能模量G'和损耗模量G"。(b)在不同夹具下测试的G'和G"的区别。

图4:PS 283k的瞬态黏度曲线,测试方法分别为椎板夹具CP以及改进型:(a)椎板浸入高黏度硅脂中CP-HVHDMS;(b)椎板浸入液态金属中CP-LM;(c)椎板外套上圆环保护CP-R;(d)CPP夹具,以及CPP夹具外加上圆环保护CPP-R。上下箭头分别标示实心图标与空心图标曲线的边缘破裂位置。

图5:剪切测试结束时PS283k的样品形状:(a)CP 8mm,剪切速率1s-1,剪切时间300 s;(b)CP 8mm浸入高黏度硅脂浴中CP-HVPDMS,剪切速率1s-1,剪切时间300 s;(c)CP 8mm浸入液态金属浴中CP-LM,剪切速率1s-1,剪切时间300 s;(d)CP 20mm外边缘套上圆环保护CR-R,剪切速率1s-1,剪切时间3,000 s;(e)CPP 4mm,剪切速率,剪切时间1, 000 s;(f)CPP 4mm外边缘套上圆环保护CPP-R,剪切速率1s-1,剪切时间5,000 s。

图6:(a)边缘破裂相对特征应变
与剪切速率
的关系,不同的夹具见图示说明。γc指的是开始边缘破裂的应变,
指的是使用CP8mm夹具测试的开始边缘破裂的应变。(b)不同夹具开始边缘破裂的特征
,开始边缘破裂的剪切速率
判定标准为:黏度偏离Cox-Merz 规则20%时。其中CPP-R夹具指的是CPP夹具外边缘套上圆环保护。
该工作以“A practical guide to mitigate edge fracture instability in sheared polymer melts”为题发表在《Physics of Fluids》上(March 22, 2024),在线链接为:https://doi.org/10.1063/5.0189558。论文的第一作者是希腊FORTH研究所博士后李本科博士,其具有令人印象深刻的流变夹具开发经历,其在上海交通大学俞炜教授指导下开发的水平拉伸流变夹具HER(Horizontal extensional rheometry)解决了低黏度聚合物拉伸流变测试难题,并发表于Journal of Rheology(Jan. 01, 2021)。通讯作者为希腊克里特大学和FORTH研究所Dimitris Vlassopoulos教授,2019年流变学会宾汉奖得主。
原文链接:
https://doi.org/10.1122/1.5134532
相关进展
上海交大俞炜教授、金发黄险波、李本科博士 JoR/SM:短玻纤填充聚合物材料在狭窄流道和薄壁加工的流变机理研究
上海交大俞炜教授、金发科技黄险波博士、李本科博士:应用流变方法表征加工流场对纳米粒子界面层的影响及其动态演变
厦门大学曹学正/吴晨旭《Macromolecules》: 活性纳米颗粒掺杂实现超分子凝胶增强增韧的动力学统计与流变机理揭示
四川大学黄茜研究员、金发科技黄险波博士、刘双博士:构筑可视化高分子揭示拉伸流动诱导浓度梯度对缠结聚合物溶液拉伸流变行为的影响
高分子科技原创文章。欢迎个人转发和分享,刊物或媒体如需转载,请联系邮箱:info@polymer.cn
欢迎专家学者提供稿件(论文、项目介绍、新技术、学术交流、单位新闻、参会信息、招聘招生等)至info@polymer.cn,并请注明详细联系信息。高分子科技®会及时推送,并同时发布在中国聚合物网上。
欢迎加入微信群 为满足高分子产学研各界同仁的要求,陆续开通了包括高分子专家学者群在内的几十个专项交流群,也包括高分子产业技术、企业家、博士、研究生、媒体期刊会展协会等群,全覆盖高分子产业或领域。目前汇聚了国内外高校科研院所及企业研发中心的上万名顶尖的专家学者、技术人员及企业家。
申请入群,请先加审核微信号PolymerChina(或长按下方二维码),并请一定注明:高分子+姓名+单位+职称(或学位)+领域(或行业),否则不予受理,资格经过审核后入相关专业群。