嵌段共聚物电解质,通常由具有高模量的嵌段与实现离子传输的嵌段组成,可以通过两种嵌段的比例与化学结构调控材料的力学和电学性能,在能源和柔性电子等领域具有广阔应用前景。以往研究的嵌段共聚物电解质,如锂盐掺杂的聚苯乙烯与聚环氧乙烷的二嵌段共聚物(PS-PEO),具有常见的线形分子链结构。但线形的PEO链具有较高的结晶能力,会显著降低离子传输性能。近期的研究表明:PEO的梳型类似物,聚(寡聚乙二醇甲氧基丙烯酸酯)(PPEGMEA),可以克服PEO的结晶问题,显著提高室温电导率。将梳型的PPEGMEA与另一种高模量的线形嵌段结合,就形成了一种新颖的线梳形嵌段共聚物。目前,对此类高分子的物理化学性质尚处于探索阶段,定量理解化学结构、微观相互作用对微相分离的影响,将为开发高性能聚合物电解质提供理论基础。
为解决该问题,南开大学史伟超研究员课题组合成了一系列锂盐(LiTFSI)掺杂的线梳形PS-PPEGMEA嵌段共聚物电解质,通过系统实验和理论分析,揭示了其微相分离行为由两种嵌段的构象不对称性和锂盐的静电作用共同决定。研究成果以“Microphase Separation of Linear-Comb Block Copolymer Electrolyte: Electrostatic Effect and Conformational Asymmetry”为标题,发表在高分子领域权威期刊Macromolecules上,详细阐述了相关理论和实验方法。
研究人员首先使用小角X射线散射表征了样品的微相分离结构(图1),发现少量离子就可以促使样品从无序相进入有序相(ODT);随着离子浓度增高,样品会进一步发生有序-有序相转变(OOT)。在特定条件下,样品中可以形成复杂的球状堆积相,如A15,σ,以及十二重准晶相(DDQC)等。

图1. PS-PPEGMEA/LiTFSI在150℃的SAXS散射曲线。fPPEGMEA代表PPEGMEA的体积分数;r = [Li+]/[EO]代表掺入的LiTFSI与环氧乙烷重复单元的摩尔比。
基于微相分离的结构表征,研究人员绘制了PS-PPEGMEA/LiTFSI的相图(图2):该相图呈现极不对称的特点,ODT边界向左下偏移,OOT相边界也向PPEGMEA体积分数较低的左边偏移;在层状与柱状相区之间存在明显的共存相;而在PPEGMEA体积分数较高区域,可以得到热力学稳定的复杂球状堆相,以及动力学稳定的类液态堆积相。

图2. LiTFSI掺杂的PS-PPEGMEA嵌段聚合物电解质的相图。粗实线描绘了有序-无序相转变(ODT)边界,细实线描绘了有序-有序相转变(OOT)边界,虚线描绘了动力学介稳态的区域。其中,DIS代表无序相;HEX’代表PPEGMEA柱状相;LAM代表层状相;HEX代表PS柱状相;BCC代表体心立方球状相;A15,σ,以及DDQC代表复杂球状相;LLP代表类液态堆积相。
对于这种极不对称的相图进行细致分析,可以发现:随着锂盐浓度的增加,相图逐渐向左偏移,但当达到r=0.05以后,相图的边界将保持不变。通过对比实验结果和强相分离理论的计算结果,研究人员认为:线梳形嵌段共聚物相图偏移的极限是由构象不对称性决定的,掺杂锂盐有利于促进嵌段共聚物进入强相分离的极限边界。

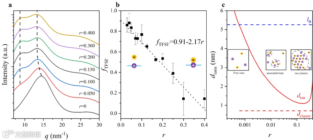
图3. (a) PS-PPEGMEA/LiTFSI的广角X射线散射曲线。(b) PS-PPEGMEA/LiTFSI中自由TFSI-阴离子浓度fTFSI-随盐浓度r的变化。(c)离子之间的特征尺寸与r的关系。
为了分析离子静电作用的影响,研究人员结合广角X射线散射(图3a)以及拉曼光谱(图3b)对锂盐的解离和分布情况做了研究。他们指出:只有在极低的锂盐浓度时,离子才可能完全解离;当自由离子的平均间距小于比耶鲁姆度时,离子之间就可能发生缔合;当离子浓度更高时,离子就会形成显著的团簇。因此,在本实验的体系中,有两种共存的离子形式,离子之间的特征尺寸可以通过计算和实验测量得到(图3c)。

图4. (a) 微相分离特征尺寸d与锂盐浓度r的双对数作图。(b)不同浓度LiTFSI掺杂的PS-PPEGMEA中,相互作用参数和实验温度的关系。(c)理论模型预测的静电作用与锂盐浓度r的关系。
由于离子解离的影响,实验上同时发现(图4a):当r < 0.14时,微相分离形成的特征尺寸d与锂盐浓度r遵循特定的指数关系d ~ r1/12;当r > 0.14时,特征尺寸几乎不再增加,甚至略有减小。研究人员由此推断,离子的静电作用Δχeff与锂盐浓度r呈现1/2次方关系Δχeff ~ r1/2,并通过散射实验测量出静电作用确实符合此关系(图4b),进一步结合理论模型对静电作用做了定量解释。在实验测试范围中,理论模型预测的指数关系为0.47 ± 0.05(图4c),与实验结果非常接近。
该研究从实验与理论上揭示了静电作用与构象不对称性共同驱动线梳形嵌段共聚物电解质的微相分离:离子的静电作用显著促进相分离,但在高离子浓度下被离子团簇的形成所削弱;构象不对称性决定了高离子浓度下微相分离的极限边界。该研究深入解析了线梳型嵌段共聚物的相行为,为开发新一代聚合物固态电解质提供了参考。
本论文的第一作者为南开大学化学学院博士研究生沈雷,通讯作者为南开大学化学学院史伟超研究员。该工作得到了国家自然科学基金的经费支持,并得到了北京和上海同步辐射光源的大力支持。
论文链接:
https://doi.org/10.1021/acs.macromol.4c00444
南开大学史伟超课题组正在以高分子物理为核心开展多学科交叉研究,拟招收2025级博士研究生1名,硕士2名。
申请人应具备高分子物理、软物质物理、或高分子化学等学科的教育背景。有聚电解质研究、散射技术、精确嵌段共聚物合成等方面科研背景优先。已发表科研论文是加分项,但不是必须要求。
拟通过“申请-考核”方式录取,申请人的科研基础主要通过面试交流考察。具体要求请参见南开大学官网:
https://chem.nankai.edu.cn/2022/1014/c24089a485729/page.htm
请将相关的申请材料直接发送至邮箱:weichaoshi@nankai.edu.cn
相关进展
高分子科技原创文章。欢迎个人转发和分享,刊物或媒体如需转载,请联系邮箱:info@polymer.cn
欢迎专家学者提供稿件(论文、项目介绍、新技术、学术交流、单位新闻、参会信息、招聘招生等)至info@polymer.cn,并请注明详细联系信息。高分子科技®会及时推送,并同时发布在中国聚合物网上。
欢迎加入微信群 为满足高分子产学研各界同仁的要求,陆续开通了包括高分子专家学者群在内的几十个专项交流群,也包括高分子产业技术、企业家、博士、研究生、媒体期刊会展协会等群,全覆盖高分子产业或领域。目前汇聚了国内外高校科研院所及企业研发中心的上万名顶尖的专家学者、技术人员及企业家。
申请入群,请先加审核微信号PolymerChina(或长按下方二维码),并请一定注明:高分子+姓名+单位+职称(或学位)+领域(或行业),否则不予受理,资格经过审核后入相关专业群。