由于对石油资源的大量需求,传统的商用热固性材料在后处理、降解和循环利用方面面临着巨大的挑战,造成了巨大的环境负担,聚亚胺材料由于其独特的动态特性而具有良好的循环可用性。近年来,研究人员逐渐聚焦于生物基材料的研究和开发,并通过磷氮协效的本征阻燃效应来改善聚合物体系的易燃、不安全问题。

中国科学技术大学余彬教授团队、江苏海洋大学宇平研究团队联合开发了一种基于席夫碱反应的聚亚胺体系,其利用生物基香草醛单体合成的三醛基结构与两种线性多苯环的双端氨基结构按照不同摩尔比聚合,制备了系列高性能动态交联网络,并根据两种胺侧端三氟甲基含量不同,讨论了具有大自由体积的侧基对动态交联网络的综合影响。三氟侧基引入可以极大的提高动态薄膜的透明性,最高可见光范围内透过率为约同时91%,同时降低黄度和介电性能,为产品后续进一步的应用提供借鉴。

其中,利用可再生资源合成的三醛单体与氟化的1,4-双(4-氨基-2-三氟甲基苯氧基)苯和无氟的1,4-双(4-氨基苯氧基)苯按照不同比例反应。所制备的聚亚胺材料由于多苯环刚性结构以及很高的交联密度而具有优异的力学性能,并且研究人员发现在热压前后薄膜的应力应变曲线存在明显的差异,热压后薄膜的屈服行为消失但抗拉强度明显上升,最高达到为96.2 MPa,远高于聚碳酸酯等商用塑料(~65 MPa)。并且独特的刚性结构极大地改善了亚胺耐水性差的缺点,在水中浸泡一个月后强度并无明显下降。
动态网络的一个重要特点在于,在加热过程中动态键能够重新组合或键合,以实现材料的循环利用,该工作将不同比例的BQP剪碎后在160 ℃,20 MPa下重新热压即可实现材料的重新塑形。同时研究人员提出一种化学循环方案,将薄膜剪碎后重新溶解于溶剂中,在室温下超声1个小时即完全重新溶解,在添加等摩尔量的醛基后重新反应,即可再次成膜,避免了单体回收方案的损耗等问题,并且多次循环后仍保留了大部分的力学强度。

图2. (a) 热压前BQP薄膜的应力-应变曲线;(b) 热压后BQP薄膜的应力-应变曲线。(c) BQP薄膜再加工后的力学性能;(d) 160 ℃,20 MPa下再加工后的BQP薄膜照片;(e) 重加工的微观机理。(f) 重加工前后样品的力学对比柱状图;(g)本研究中BQP薄膜与其他聚亚胺材料或商业塑料的力学性能对比。

图3. (a) N2条件下BQP的热解行为。(b)微型量热计算中Q3P2和B3P2的放热速率。(c) BQP的垂直燃烧和氧指数测试结果柱状图。(d) UL-94测试中Q3P2和B3P2的燃烧照片。(e) B3P2碳层的SEM照片。(f)能谱仪测得的P, O, N, f元素分析。(g) B3P2和Q3P2炭层的拉曼光谱。(h) BQPs的炭层XPS分析。(i) TG-IR测定不同热解温度下B1.5Q1.5P2的气体释放。(j)阻燃机理的简单示意图。(k)燃烧过程中的部分自由基反应。
BQP的多苯环结构使得其在高温下具有极高的成炭性,燃烧过程中大量的炭层能够对内部进行保护。在氮气氛围下的热解曲线证明,三氟甲基的存在并不能直接促进成炭,但能够帮助提高体系的耐热性能。此外,BQP它具有优异的阻燃性能,所有比例均在UL-94测试中达到V0等级,极限氧指数(LOI)最高中达到55%的。后续,通过多种阻燃测试分析了聚合物的本征阻燃效应,证明了燃烧后的聚合物保持了致密的炭层,并且随着三氟甲基含量的升高阻燃效果越好,证明三氟甲基的存在可能以气相阻燃方式改善体系的阻燃性能,而炭层中大量的磷氮元素则能够极大地保护内部结构不被损坏。其阻燃性能大于大多常见的多碳氢元素的交联聚合物。

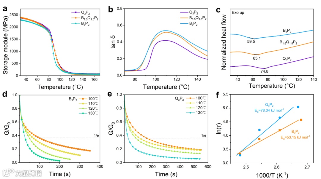
图4. (a)由DMA计算的BQPs在30℃~ 165 ℃时的储能模量。(b) BQPs的损耗切角。(c) BQP的DCS以及玻璃化转变温度。(d) B3P2的应力松弛。(e) Q3P2的应力松弛。(f) Q3P2和B3P2之间的阿伦尼乌斯方程得到的活化能。
研究人员通过DMA测试了BQP的动态热力学性能,其在室温下的初始储能模量最高达到2400 MPa,通过聚合物的交联网络密度计算,得到了单位体积内的摩尔数量为6578 mol/m3,证明了体系极高的交联程度。并且发现随着三氟甲基的含量增加,交联程度逐渐下降,也导致了体系的刚性下降和力学性能降低,通过分子模拟计算了侧基对空间自由体积的影响。进一步的,聚合物网络在高温下具有明显松弛行为,研究人员通过四种温度下的的松弛结果对两种氟化或非氟化体系进行了归一化计算,得到了不同体系的反应活化能,发现三氟甲基的引入能够降低反应活化能,这能够帮助其更好地实现动态键交换。

以上成果近日以“Ultrastrong, High Fire Resistance, Repairable, and Recyclable Fluorinated Biobased Polyimine Networks”为题在线发表在国际著名学术期刊《ACS Materials Letters》上。通讯作者为中国科学技术大学余彬教授,江苏海洋大学青年教师宇平博士为文章共同通讯作者,王爵硕士和丁洪亮博士为共同一作,江苏海洋大学王海跃、贾子辰等共同参与。团队一直致力于发展高性能、防火阻燃的动态聚合物材料,并取得了系统的理论和研究成果。第一完成单位是中国科学技术大学,第二完成单位是江苏海洋大学。在此,也期待更多的基础性策略和有趣的应用场景在动态高分子材料等前沿聚合物材料上得到突破。
论文信息:
Ultrastrong, High Fire Resistance, Repairable, and Recyclable Fluorinated Biobased Polyimine Networks
Jue Wang1, Hongliang Ding 1, Ping Yu , Jia Zichen, Chuanshen Wang, Wang Haiyue, Hongfei He , Weiyi Xing, Wei Yang, Ping Zhang , Bin Yu
ACS Materials Lett. 2024, 6, 3899−3908
DOI: 10.1021/acsmaterialslett.4c01369
原文链接:
https://doi.org/10.1021/acsmaterialslett.4c01369
点击下方“阅读原文”可下载该篇论文。
相关进展
江苏海大宇平/中国科大余彬教授《Adv. Sci.》: 具有机械鲁棒性、可回收性及自修复性的聚亚胺聚合物网络
南昆大王浩教授/中科大余彬教授/杭师大汤龙程教授《ACS Nano》:氧化石墨烯基超分子纳米防火/预警材料
高分子科技原创文章。欢迎个人转发和分享,刊物或媒体如需转载,请联系邮箱:info@polymer.cn
欢迎专家学者提供稿件(论文、项目介绍、新技术、学术交流、单位新闻、参会信息、招聘招生等)至info@polymer.cn,并请注明详细联系信息。高分子科技®会及时推送,并同时发布在中国聚合物网上。
欢迎加入微信群 为满足高分子产学研各界同仁的要求,陆续开通了包括高分子专家学者群在内的几十个专项交流群,也包括高分子产业技术、企业家、博士、研究生、媒体期刊会展协会等群,全覆盖高分子产业或领域。目前汇聚了国内外高校科研院所及企业研发中心的上万名顶尖的专家学者、技术人员及企业家。
申请入群,请先加审核微信号PolymerChina(或长按下方二维码),并请一定注明:高分子+姓名+单位+职称(或学位)+领域(或行业),否则不予受理,资格经过审核后入相关专业群。