水凝胶材料柔软、含水量高、生物相容性佳,在组织工程、细胞培育、人机界面、柔性器件等领域发挥着重要作用。优异的力学性能对于水凝胶的实际应用至关重要。然而,传统水凝胶存在断裂韧性-模量冲突(Fracture toughness-modulus Conflict)和疲劳阈值-模量冲突(Fatigue threshold-modulus Conflict),限制了水凝胶的应用。同时提高水凝胶尤其是均质单网络结构水凝胶的断裂韧性、疲劳阈值和模量,是一项挑战。鉴于此,浙江大学钟旦明、曲绍兴等就水凝胶材料的增韧抗疲劳设计、水凝胶力学性能与制备参数间的映射关系等方面做了深入研究,并取得了阶段性进展。相关工作发表在Nature Communications (2024, 15: 5896),固体力学旗舰期刊JMPS (2023, 173: 105206;2024, 190: 105377)。论文作者还包括浙江大学硕士研究生王志成,浙江大学博士研究生许钧崴,明尼苏达大学博士后向玉海,浙江大学百人计划研究员陈哲,西南交通大学刘俊杰助理教授,浙江大学肖锐研究员,浙江大学吴子良教授,浙江大学杨卫院士。
1. 结合低交联与脱水诱导缠结的增韧、抗疲劳设计策略
通过采用低交联形成长链结构,并结合适当程度的脱水处理,诱导形成大量链间缠结,从而实现对断裂韧性、疲劳阈值与模量的同步提升。以丙烯酰胺(PAAm)水凝胶作为模型材料,实现了将常规配方PAAm水凝胶的断裂韧性、疲劳阈值与模量分别提升25倍、27倍与4倍。在保持70%高含水量的同时,断裂韧性值达到22000 J m-2,是目前文献中报道的单网络PAAm水凝胶的最高值。该策略无需复杂的微观设计与加工制备,且具有良好的通用性。

适度脱水的低交联水凝胶具有极高的断裂韧性,其机理如下。首先,所设计水凝胶具有优异的拉伸性能,其断裂拉伸比超过2000%。其次,所设计的凝胶具有高度裂纹不敏感性。对于轻度脱水(初始含水量87%,当前含水量70%)的低交联水凝胶,其预制裂纹与未预制裂纹试样的断裂拉伸比均超过2000%。即使长达20mm的预制裂纹也未显著降低水凝胶的断裂拉伸比,表明材料具有优异的裂纹不敏感性。第三,大断裂过程区(Fracture Process Zone)与强能量耗散能力显著提升了水凝胶的断裂韧性。脱水后水凝胶中的分子链相互靠近,形成链间缠结约束。在外载荷作用下,分子链产生运动,相互摩擦,在解缠的同时耗散大量能量。加卸载实验表明,近50%的外力功以能量耗散的形式所释放。同时,轻度脱水的低交联水凝胶具有很大的断裂过程区,其断裂内聚长度(Fractocohesive Length)达到28.5mm,比传统水凝胶(~1mm)高一个数量级。裂尖周围断裂过程区内材料的能量耗散有效地抑制了裂尖应力集中,阻止了裂纹扩展,从而实现增韧效果。

Lake-Thomas模型表明,水凝胶的疲劳阈值与分子链长的1/2次方呈正比,因此增加分子链长度有利于提升水凝胶的抗疲劳性能。此外,在循环载荷作用下,裂纹的扩展需要破坏裂尖平面内的一层分子链,因而增加分子链密度也能提升疲劳阈值。在当前策略中,低交联导致的长链结构与脱水导致的分子链密度提升协同作用,大幅提高了水凝胶的疲劳阈值,达到近300 J m-2。与普通PAAm水凝胶(约10 J m-2)相比,采用该策略所设计的水凝胶具有更为优异的抗疲劳性能。

常见的单网络水凝胶增韧抗疲劳设计往往以牺牲材料的模量值为代价,导致水凝胶软化。当前策略在提升水凝胶断裂韧性与疲劳阈值的同时,实现了材料的硬化。对于制备(As-prepared)的水凝胶(本研究中的初始含水量均为87%),交联程度越大,则弹性模量越大。当不同交联程度的水凝胶发生脱水时,低交联水凝胶的模量增加最为显著。在当前含水量70%时,高、中、低交联水凝胶的模量值接近。随着进一步脱水,低交联水凝胶展现出更大的模量值。以当前含水量40%为例,低交联水凝胶的模量是高/中交联水凝胶的3.0倍与2.4倍。在脱水过程中,低交联水凝胶更易形成大量缠结,同时链间缠结对模量的贡献大于交联作用对模量的贡献,从而导致脱水时低交联水凝胶表现出更好的硬化效果(作者们建立了相应的力学模型,请见后文介绍)。

图4. 不同交联程度、不同当前含水量水凝胶的准静态应力-拉伸比曲线与模量
为了展示所设计的水凝胶具有优异的综合力学性能,将四种预制裂纹的水凝胶试样进行重物提升实验。常规水凝胶软且脆,在小变形下裂纹就发生扩展从而导致结构失效。低交联、高含水量(初始含水量87%)的水凝胶B的韧性较好,裂纹未扩展,但其模量低、强度低,试样在夹具附近发生断裂。低交联、较高含水量(初始含水量70%)的水凝胶A的韧性差,裂纹快速扩展。采用当前策略所制备的水凝胶C(初始含水量87%,当前含水量70%)兼具较大的断裂韧性、模量与强度,成功将500g的重物提起。

上文所述增韧抗疲劳策略的发展,依赖于对水凝胶制备参数(流程)、微观结构、宏观力学性能等的深入理解。针对水凝胶制备参数与力学性能间的映射关系,开展了系统的实验探究与理论建模工作。发展了以聚合物含量为核心变量的本构模型,用以量化当前含水量对水凝胶超弹-粘弹力学行为的影响。此外,构建了制备参数(包含初始含水量、当前含水量与交联程度)与水凝胶超弹性能(包含模量、应变软化、缠结程度)间的映射关系。
实验研究表明,溶胀后的高含水量水凝胶具有优异的超弹性(粘弹性可忽略),而脱水后的低含水量水凝胶往往表现出强粘弹性。这种由含水量主导的超弹-粘弹转变为水凝胶材料的力学性能调控、增韧抗疲劳设计等提供了可能性。然而目前为止,量化粘弹性随含水量演化的、具备明确物理意义的力学模型仍然缺乏。

为了刻画并预测含水量变化所导致的水凝胶力学性能演化,发展了一个基于微观结构的本构模型。在该模型中,应变率无关的超弹性响应来自于交联网络以及交联网络中分子链间缠结约束的贡献。应变率相关的粘弹性响应来源于自由链的蠕动爬行与解缠。模型参数(如交联模量、缠结模量、特征松弛时间)与含水量之间的内在联系通过高分子物理中的标度律理论推导获得。所发展的模型能很好地预测不同含水量(87%至47%)水凝胶在各种复杂加载条件下的力学行为。模型被进一步植入商业化有限元软件COMSOL Multiphysics中,以实现对水凝胶在各种复杂工况下的应用的指导。

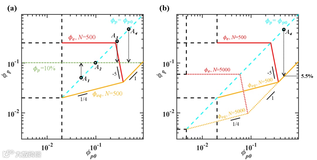
水凝胶的制备参数主导其微观结构,并进一步决定其宏观性能。对制备参数-力学性能映射关系的深入研究有助于指导水凝胶的设计、性能调控、优化与应用。
通过实验探究了当前含水量与交联程度对水凝胶的模量、应变软化现象等超弹性行为的影响规律。研究结果表明,交联程度越低,当前含水量越高,则弹性模量越低;交联程度越低,当前含水量越低,则缠结程度越高且应变软化现象越明显。结合力学本构模型与高分子物理理论,以临界缠结聚合物含量作为核心变量,建立了初始含水量,当前含水量和交联程度这三个制备参数与水凝胶超弹性能之间的映射关系。理论表明,低交联程度(即长链结构)是构建大量分子链间缠结的前提条件。低交联、低初始含水量、高当前含水量水凝胶与低交联、高初始含水量、低当前含水量水凝胶中均可存在大量缠结。低交联、低初始含水量水凝胶,其分子链间缠结在水凝胶前驱液的聚合与交联过程中形成。即使后续的溶胀操作提升了水凝胶的含水量并移除了部分链间缠结,但仍有大量缠结得以保留(参考哈佛大学锁志刚课题组工作:Kim et al., Science 374, 212–216 (2021))。低交联、高初始含水量水凝胶在脱水过程中形成链间缠结。这些缠结可通过施加外载荷而移除,从而导致应变软化现象。

图8. 水凝胶的初始聚合物含量-当前聚合物含量相图
文献链接:
1.https://doi.org/10.1038/s41467-024-50364-3
2.https://doi.org/10.1016/j.jmps.2023.105206
3.https://doi.org/10.1016/j.jmps.2024.105733
点击下方“阅读原文”可下载该篇论文。
相关进展
高分子科技原创文章。欢迎个人转发和分享,刊物或媒体如需转载,请联系邮箱:info@polymer.cn
欢迎专家学者提供稿件(论文、项目介绍、新技术、学术交流、单位新闻、参会信息、招聘招生等)至info@polymer.cn,并请注明详细联系信息。高分子科技®会及时推送,并同时发布在中国聚合物网上。
欢迎加入微信群 为满足高分子产学研各界同仁的要求,陆续开通了包括高分子专家学者群在内的几十个专项交流群,也包括高分子产业技术、企业家、博士、研究生、媒体期刊会展协会等群,全覆盖高分子产业或领域。目前汇聚了国内外高校科研院所及企业研发中心的上万名顶尖的专家学者、技术人员及企业家。
申请入群,请先加审核微信号PolymerChina (或长按下方二维码),并请一定注明:高分子+姓名+单位+职称(或学位)+领域(或行业),否则不予受理,资格经过审核后入相关专业群。