大数跨境
0
0

东华大学刘庚鑫团队 Macromolecules:单链纳米粒子熔体流变揭示解缠结极限的100倍降黏

东华大学刘庚鑫团队 Macromolecules:单链纳米粒子熔体流变揭示解缠结极限的100倍降黏 高分子科技
2024-07-16
0
导读:欢迎(高分子合成、流变实验、统计物理等方向)博士后的加入…
点击上方蓝字 一键订阅


巨型分子、微乳液聚合软纳米粒子、单链纳米粒子(SCNPs, single-chain nanoparticles)、树状大分子等样品是具有三维结构的高分子,他们的动力学行为已经偏离了经典的缠结概念,需要新的理论与实验进行解释。

近期,东华大学刘庚鑫课题组对粗粒化三维软团簇和单链纳米粒子这两种三维高分子体系进行了系统的研究,揭示了软团簇松弛时间发散内在因素(工作1,以及高分子链转变为纳米粒子过程中“解缠结”带来的100倍的黏度降低(工作2。前期工作讨论过巨型分子(Macromolecules2017, 50, 6637; Macromolecules2019, 52, 4341; 高分子学报, 2020, 51, 687; Giant, 2021, 8, 100070.; Polymer2022, 238, 124336.)和微乳液聚合的软纳米粒子Macromolecules2021,54, 8077; Polymer2023, 283, 126216.


工作1:在利用化学键(弹簧)链接的树枝状软团簇系统中,即使在远高于玻璃化转变温度的条件下也表现出玻璃态。分子动力学模拟的结果揭示了软团簇结构的紧凑性和珠子的数量是控制动力学变慢的关键因素,们共同决定了团簇运动的协同程度,表明协同是理解这种玻璃化的关键。虽然冷却驱动了结构玻璃的协同性,但“强”和“脆”玻璃之间的差异可能归因于此类系统中温度依赖性CCR形成的机制。通过构筑的方式,引入具有人为合成的协同性”的软团簇为探索玻璃动力学和动态异质性提供了一条有前途的途径。

论文第一作者为东华大学博士后邹庆志(已出站)张睿教授(华南理工大学华南软物质科学与技术高等研究院)与刘庚鑫特聘研究员为本文的通讯作者


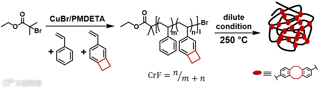
工作2单链纳米粒子(SCNPs)是由线性前驱体链折叠塌缩而得到的一类软纳米粒子,链内交联的稳定结构也使得其可以作为探究从高分子链到纳米粒子转变的模型体系。通过系统的调控线形链前驱体的MW(分子量)与CrF(交联级摩尔分数),渐进式的探究了缠结被抑制的过程,这一发现也有助于理解聚合物到胶体的转变过程。相关工作以“The Extreme of Disentanglement: 100-fold Viscosity Reduction in Model Single-Chain Nanoparticles”为题发表在Macromolecules,论文第一作者为东华大学在读博士生阮一夫博士后邹庆志(已出站)以及硕士生张昊岩(已毕业),刘庚鑫特聘研究员为本文的通讯作者

1 SCNPs的合成过程

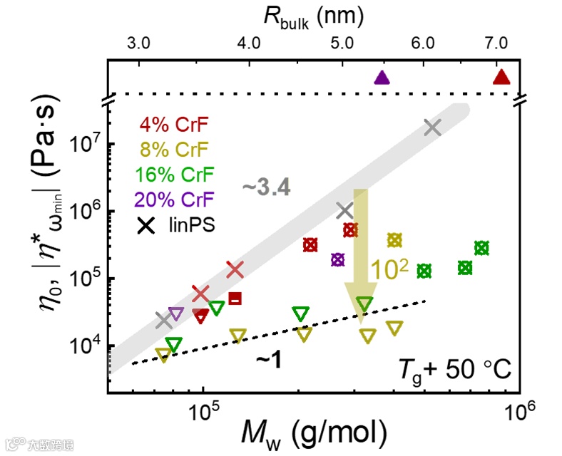
选用经典的4-乙烯基苯并环丁烯BCB4-vinylbenzocyclobutene)作为交联剂,在稀溶液条件下,链内交联制备系列不同分子量与交联程度的SCNPs(如图1)。样品的线性黏弹性测试结果表明,随着CrF(交联剂含量)增加会先呈现有效缠结减少(CrF=4%, 平台模量与表观缠结度明显降低)、缠结完全消失(CrF=8%,模量平台消失,以黏性响应为主的液体)以及黏弹性液体(CrF=16-20%,模量重新出现,其弹性应该源于SCNPs周围粒子产生的类似于软胶体的“笼状”受限),最后高MwCrF处转变为黏弹性固体(VE solid)。这一非单调的转变过程揭示从单链到胶体粒子的转变,这些黏弹行为汇总在图2中。

2 SCNPs的黏弹行为状态图(左)和相近分子量(大约330k)的线形PS与不同CrFSCNPs的线性黏弹性主曲线(右)


3汇总了样品的零切黏度,可以看到相较于线形聚苯乙烯,处在黏性主导液体区域的SCNPs样品的对Mw的依赖性要弱得多(如斜率为1的虚心所示)。因此,对高分子量区域的样品(150~500k,SCNPs的黏度相较其线形前驱体降低了约100倍,可以认为这是“解缠结”的极限。利用这100倍流动性提升,有望设计出易加工、更节能高分子材料。

样品在Tg+50 °C的参考温度下零切黏度的汇总

刘庚鑫课题组最近搭制了仅需2mg样品的剪切流变仪,降低了流变学表征对样品量的需求门槛,欢迎各种产量有限、新奇样品的合作交流!

欢迎(高分子合成、流变实验、统计物理等方向)博士后的加入!


主页http://calm.dhu.edu.cn/liugxgroup/


原文信息:

Tunable Slow Dynamics of Three-Dimensional Polymer Melts through Architecture Engineering

Qingzhi Zou, Yifu Ruan, Rui Zhang, Gengxin Liu, Macromolecules 2024, 57, 777−785

https://pubs.acs.org/doi/10.1021/acs.macromol.3c02337

The Extreme of Disentanglement: 100-fold Viscosity Reduction in Model Single-Chain Nanoparticles 

Yifu Ruan, Qingzhi Zou, Haoyan Zhang, Yipeng Zhang, Hao Zhang, Weiwei Wu, Hao Liu, Jiajun Yan, GengXin Liu, Macromolecules 2024, ASAP

https://pubs.acs.org/doi/10.1021/acs.macromol.3c02650


相关进展

东华大学刘庚鑫、浙江理工大学罗锦添 Macromolecules:可偶联的遥爪缔合高分子的稀溶液拉伸流变

东华大学刘庚鑫课题组:熔融态的软团簇仍不能扩散

“直径小于20纳米的QQ糖是液体” - 直径和弹性决定纳米软球的松弛行为

东华大学刘庚鑫特聘研究员Macromolecules:巨型分子作为软团簇展现出协同玻璃态

高分子科技原创文章。欢迎个人转发和分享,刊物或媒体如需转载,请联系邮箱:info@polymer.cn

诚邀投稿

欢迎专家学者提供稿件(论文、项目介绍、新技术、学术交流、单位新闻、参会信息、招聘招生等)至info@polymer.cn,并请注明详细联系信息。高分子科技®会及时推送,并同时发布在中国聚合物网上。

欢迎加入微信群 为满足高分子产学研各界同仁的要求,陆续开通了包括高分子专家学者群在内的几十个专项交流群,也包括高分子产业技术、企业家、博士、研究生、媒体期刊会展协会等群,全覆盖高分子产业或领域。目前汇聚了国内外高校科研院所及企业研发中心的上万名顶尖的专家学者、技术人员及企业家。

申请入群,请先加审核微信号PolymerChina (或长按下方二维码),并请一定注明:高分子+姓名+单位+职称(或学位)+领域(或行业),否则不予受理,资格经过审核后入相关专业群。

这里“阅读原文”,查看更多


【声明】内容源于网络
0
0
高分子科技
高分子科技®协同全球高分子产业门户及创新平台 “ 中国聚合物网 www.polymer.cn ” ,实时报道高分子科学前沿动态,关注和分享新材料、新工艺、新技术、新设备等一线科技创新设计、解决方案,促进产学研及市场一体化合作的共同发展。
内容 16581
粉丝 0
高分子科技 高分子科技®协同全球高分子产业门户及创新平台 “ 中国聚合物网 www.polymer.cn ” ,实时报道高分子科学前沿动态,关注和分享新材料、新工艺、新技术、新设备等一线科技创新设计、解决方案,促进产学研及市场一体化合作的共同发展。
总阅读6.6k
粉丝0
内容16.6k