天然橡胶胶乳通常经过预硫化-后固化过程来生产交联的天然橡胶胶乳材料(VNRL)。随着经济和科技的持续进步,对VNRL的实际需求日益增长,且其服役环境也日益严苛,这导致VNRL产品失效的报道屡见不鲜。因此,为了提升VNRL的性能,我们迫切需要深入探究其微观结构,并明确其微观结构与性能之间的内在联系。近年来,尽管在VNRL的形貌、网络结构及力学性能研究方面已取得了一些进展,但由聚异戊二烯链缠结、非胶组分以及交联网络所构成的复杂多层次结构在VNRL中仍未得到全面深入的研究,这些多层次结构与力学性能之间的关系也尚不清楚。
近日,四川大学吴锦荣教授、华南理工大学张荣纯教授对采用常用硫化配方交联的VNRL的多层次微观结构进行了研究,并将其与机械混炼-热压成型制备的硫化天然橡胶片(VNR)的微观结构进行了对比分析。研究结果显示,VNRL的网络不仅具有更多缠结和更高均匀性,而且由蛋白质和脂质等非胶成分组成的骨架结构也相对完整。更高的缠结程度和网络均匀性使VNRL在大应变下具有较大的晶粒尺寸和较高的结晶度,显著提高了材料的拉伸强度。此外,缠结的解缠和滑移作用及非胶成分的骨架可以增加能量耗散,阻碍裂纹扩展,从而使VNRL具有优异的抗撕裂性。

2024年12月11日,相关工作以“Unveiling the Hierarchical Microstructure of Pre-vulcanized Natural Rubber Latex Film and its Impact on Mechanical Properties”为题发表于《Macromolecules》。
文章所用的VNRL是天然胶乳通过乳液混合加入硫化助剂水分散液,70℃下预硫化1h,130℃下后固化30min制备而成。用于对比的VNR是天然橡胶干胶通过双辊混炼加入硫化助剂,并在130℃下用平板硫化仪热压成型得到。通过调节VNR的硫化配方来控制两者总交联密度(包含永久交联及缠结)一致,并通过双量子固体核磁(DQ-NMR)证明了两者相近的总交联密度,如图1所示。

利用扫描电镜(SEM)和原子力显微镜(AFM)相图对VNRL和VNR的表面形貌进行研究,结果如图2所示。在微米尺度下,VNR表现出相对平整的形貌,而VNRL则表现出类细胞状结构。VNRL中非胶组分则形成明显的骨架结构。

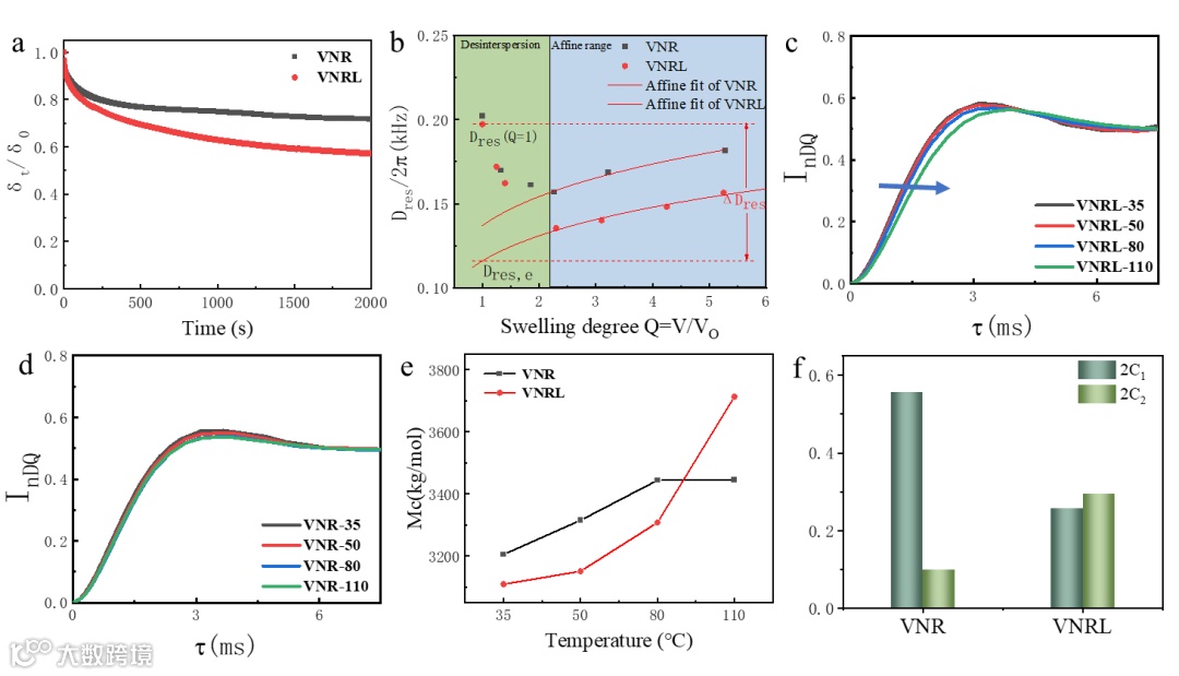
为了研究VNRL的网络结构,采用基于差示扫描量热法(DSC)的热孔隙法对环己烷溶胀的样品进行了分析。如图3a所示,在6℃以下,两个样品之间存在明显差异:环己烷在VNRL中的熔点分布更集中,而在VNR中的熔点分布更分散。这一现象表明VNRL的网络结构比VNR具有更高的均匀性。DQ-NMR对材料结构中残余偶极相互作用参数(Dres)的检测可以反应材料的不同网络结构,Dres的高频分布一般反映材料内部分子链受到的约束作用较强,拥有较紧密的网络结构,Dres的低频分布则反映材料内部分子链受到的约束作用较弱,拥有较为松散的网络结构。如图3b所示,VNRL中观察到的Dres分布更窄,表明其结构更均匀,这与热空隙法的结果一致。

图3.DSC及DQ-NMR证明VNRL网络结构更加均匀。
在VNR的硫化过程中,氧化锌团聚体形成交联核心,因此氧化锌附近的交联密度较高,而远离氧化锌的交联密度较低,导致其交联网络的非均匀性。VNRL拥有更均匀网络结构可归因于硫化助剂在乳胶颗粒内的有效分散和扩散。
分别采用动态力学分析(DMA)及DQ-NMR对VNRL和VNR的缠结结构进行定性和定量研究。结果如图4a-4b所示,结果表明VNRL中存在更多的缠结。通过计算,VNRL中缠结对总Dres的贡献为41.2%,而VNR中缠结的贡献仅为32.2%。采用变温DQ-NMR测量研究缠结对分子链的约束效应。两种样品在不同温度下的归一化双量子积累曲线如图4c和图4d所示,计算可以得到如图4e所示的约束点间分子量(Mc)。结果表明尽管VNRL中较高的缠结结构贡献了总交联密度,但其对分子链的约束作用不如化学交联明显。采用Mooney-Rivlin模型分析了VNRL和VNR的力学曲线,如图4f所示。其中C1和C2的值分别与永久交联和缠结对力学性能的贡献相关。VNRL的C2值更高,表明VNRL中的缠结对拉伸过程的贡献显著,超过共价交联的贡献。相反,VNR的C1值较高,说明共价交联在VNR的拉伸过程起主要作用。

图4.应力松弛、溶胀和变温DQ-NMR证实VNRL比VNR具有更多的缠结结构,MR模型证明VNRL中缠结结构对其拉伸性能贡献更多。
利用同步广角X射线衍射(WAXD)对VNRL和VNR的SIC行为进行了研究,如图5a所示。通过计算得到结晶度指数(CI),如图5b所示。可见,两个样品拥有相近的初始结晶应变,而VNRL的结晶度在初始结晶阶段较小,在大应变下结晶度更高。计算拉伸过程中两者的取向度变化(图5c-5d)。可以看出VNRL的取向行为可以分为四个阶段,而VNR的取向度仅随应变增加,无明显阶段。进一步对两个样品的晶粒尺寸进行计算(图5e-5f),发现VNRL拉伸过程中形成的晶粒尺寸明显更大。

结合之前部分和SIC部分的研究结果,作者提出了VNRL微观结构对其应变诱导结晶行为影响的模型,如图6所示。VNRL中含有大量的缠结结构且网络结构更加均匀。由于总交联密度相似,两个样品拥有相近的初始结晶应变。然而,在拉伸过程中,缠结不断解缠和滑移,VNRL在中等应变下的取向度几乎保持不变。因此,在这一阶段,VNRL的CI值一直处于较低水平。释放的分子链为形成大尺寸晶粒创造了生长空间,因此大应变下VNRL的晶粒尺寸更大。同时,VNRL均匀的网络结构使其具有更高的断裂应变,因此VNRL在大应变下具有更高的结晶度。相反,VNR中的交联网络主要由永久交联点组成,这些交联点难以滑动或解缠,因此在中应变下结晶度较高。然而,较高的共价交联密度阻碍了VNR中形成尺寸较大的晶体。同时,不均匀的交联网络导致的应力集中使得VNR的断裂应变较小,这也限制了其 CI值的增加。

图6. VNRL中微观结构对其应变诱导结晶性能影响的示意图
VNRL和VNR的单轴拉伸曲线如图7a所示。VNRL展现出更为优异的断裂应变及断裂强度。这种现象主要与两个原因相关:一是VNRL在大应变下结晶度更高,晶粒更大,二是均匀的网状结构使得VNRL在断裂前能够承受更高的应变。此外,非胶成分骨架结构对VNRL的断裂强度也有贡献。对比两种试样的抗撕裂性能(图7b-7d),可以发现VNRL具有明显更好的抗撕裂性能。对缺口拉伸过程中缺口处的形貌进行研究(图7e-7f),应变云图反映出VNRL中非胶成分的骨架网络通过传导应力来避免应力集中,从而提高了VNRL的抗撕裂性能。

图7. VNRL及VNR的应力-应变曲线、抗直角撕裂性能、缺口拉伸性能及缺口处形貌和应变云图。
该工作系统研究了VNRL的多层次结构,结果表明,VNRL具有更均匀的网络结构以及更多的链缠结。在拉伸过程中,链缠结的解缠或滑动导致VNRL在初始结晶阶段的CI和应力较低,但有利于VNRL在大应变下形成较大的晶体。因此在大应变下VNRL具有较高的结晶度。更均匀的网络结构使VNRL能够在断裂前承受更高的应变。此外,VNRL的非胶组分形成微观骨架结构,在缺口拉伸过程中增加能量耗散、分散应力和阻止裂纹扩展,从而具有较好的抗撕裂性。该工作为揭示VNRL的构效关系提供了新的见解,为未来的研究和优化VNRL性能提供了理论依据。
原文链接
https://pubs.acs.org/doi/10.1021/acs.macromol.4c02599
相关进展
高分子科技原创文章。欢迎个人转发和分享,刊物或媒体如需转载,请联系邮箱:info@polymer.cn
欢迎专家学者提供稿件(论文、项目介绍、新技术、学术交流、单位新闻、参会信息、招聘招生等)至info@polymer.cn,并请注明详细联系信息。高分子科技®会及时推送,并同时发布在中国聚合物网上。
欢迎加入微信群 为满足高分子产学研各界同仁的要求,陆续开通了包括高分子专家学者群在内的几十个专项交流群,也包括高分子产业技术、企业家、博士、研究生、媒体期刊会展协会等群,全覆盖高分子产业或领域。目前汇聚了国内外高校科研院所及企业研发中心的上万名顶尖的专家学者、技术人员及企业家。
申请入群,请先加审核微信号PolymerChina(或长按下方二维码),并请一定注明:高分子+姓名+单位+职称(或学位)+领域(或行业),否则不予受理,资格经过审核后入相关专业群。