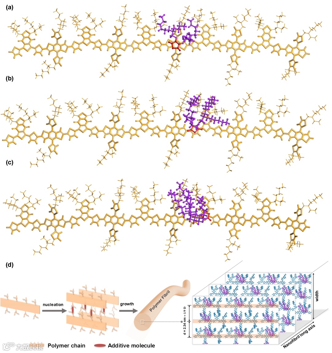
有机太阳能电池(OSCs)作为新兴的光伏技术,具有柔性、便携、半透明等优势,在可穿戴电子设备、光伏建筑一体化等领域的应用潜力巨大。近年来,随着新材料合成、器件结构优化等方面的不断创新,OSCs的光伏性能发展迅猛。但受限于有机半导体相对较低的电荷传输能力,有机光伏器件的光电转换效率(PCE)仍有很大的提升空间,而调控光活性层各组分的聚集行为是进一步提高OSCs性能的关键途径。已有研究证实在活性层中构建纳米纤维聚集体是实现高效激子解离和电荷传输的有效手段,但不合适的纤维尺寸会阻碍器件性能的提升。因此,通过结构设计或物理方法精确调控纳米纤维的形态和几何尺寸,如长度和宽度,仍需深入研究。




原文链接:
https://pubs.acs.org/doi/10.1021/jacs.4c15266
相关进展
武汉理工大学王涛教授 AFM:绝缘聚合物介导的有机光伏电池效率与稳定性
武汉理工大学王涛教授课题组AFM:热场诱导聚集策略实现高效率有机太阳能电池的无卤溶剂制备
武汉理工大学王涛教授《AFM》综述:非富勒烯电子受体及其光伏器件的稳定性
武汉理工大学王涛课题组:调控非富勒烯受体的J聚集实现近红外光吸收及效率提升
武汉理工大学王涛教授团队在非富勒烯有机太阳能电池领域取得重要进展
高分子科技原创文章。欢迎个人转发和分享,刊物或媒体如需转载,请联系邮箱:info@polymer.cn
诚邀投稿
欢迎专家学者提供稿件(论文、项目介绍、新技术、学术交流、单位新闻、参会信息、招聘招生等)至info@polymer.cn,并请注明详细联系信息。高分子科技®会及时推送,并同时发布在中国聚合物网上。
欢迎加入微信群 为满足高分子产学研各界同仁的要求,陆续开通了包括高分子专家学者群在内的几十个专项交流群,也包括高分子产业技术、企业家、博士、研究生、媒体期刊会展协会等群,全覆盖高分子产业或领域。目前汇聚了国内外高校科研院所及企业研发中心的上万名顶尖的专家学者、技术人员及企业家。
申请入群,请先加审核微信号PolymerChina(或长按下方二维码),并请一定注明:高分子+姓名+单位+职称(或学位)+领域(或行业),否则不予受理,资格经过审核后入相关专业群。
点
这里“阅读原文”,查看更多

