设计新型化学结构并深入理解树脂结构—性能之间的构效关系对推动热固性树脂的高性能化发展具有重要意义。苯并噁嗪树脂单体通常由酚、伯胺和醛类化合物经Mannich缩合反应合成,其最为显著的优点是具有灵活的分子结构可设计性,可通过单体分子化学结构设计来调控固化后树脂材料的目标性能。随着新型苯并噁嗪树脂系列产品的不断推出,目前该树脂已具备与双马来酰亚胺树脂相当的耐热性,与环氧树脂相当的工艺性以及优异的阻燃、低烟、低毒性,有望发展成为与环氧、酚醛、双马来酰亚胺等基础树脂同等重要的热固性树脂材料。
江苏大学张侃教授团队基于近年来在高性能黄酮类生物基苯并噁嗪树脂领域的研究工作基础,通过设计合成系列单、双、三官苯并噁嗪单体,研究噁嗪环数量以及氢键对苯并噁嗪树脂开环固化机理与树脂热性能的影响。通过对黄酮类单、双、三官苯并噁嗪单体精准合成与表征,指明了黄酮类生物基苯并噁嗪的高性能化设计策略。本工作丰富了苯并噁嗪树脂单体结构,利用对树脂结构—性能构效关联机制的深入解析来帮助同行研究者进一步理解官能度与分子内氢键对苯并噁嗪树脂固化行为与热稳定性的影响。文章以《Design and Synthesis of Flavonoid-Based Mono-, Bis-, and Tri-Benzoxazines: Toward Elucidating Roles of Oxazine Ring Number and Hydrogen Bonding on Their Polymerization Mechanisms and Thermal Properties》为题,在线发表在《Macromolecules》。文章第一作者是江苏大学材料科学与工程学院博士生杨蕊,张侃教授为本文的通讯作者。该研究得到了国家重点研发计划、国家科技重大专项、国家农业重大项目与国家自然科学基金的经费支持。

图1. 由黄酮类衍生物合成生物基单、双、三官苯并噁嗪单体。


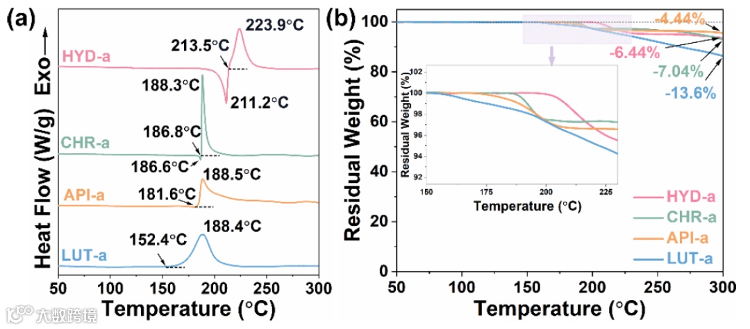
图3. 黄酮类生物基苯并噁嗪树脂单体DSC(a)与TGA(b)图谱。

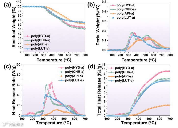
图4. 固化后树脂的TGA(a)、DTG(b)、HRC(c)以及THR(d)曲线图谱。
近年来,苯并噁嗪树脂已在电子封装材料、航空航天材料等领域实现了大范围的应用。然而,由于苯并噁嗪树脂发展起步较晚,当前还存在固化温度高、固化后材料过脆、难回收利用等不足。该工作是课题组对近几年黄酮类生物基苯并噁嗪树脂相关工作的系统总结研究工作,通过树脂单体化学结构与固化机理及固化后树脂性能之间构效关联机制的深入分析,指明黄酮类生物基苯并噁嗪高性能化设计方向。此外,团队近年来从分子设计角度出发,深入探索热固性树脂单体的分子结构与固化机理及树脂材料性能的关联,创新高性能苯并噁嗪树脂体系(Macromolecules, 2018, 51, 6524-6533; Macromolecules, 2018, 51, 7574-7585; Macromolecules, 2019, 52, 7386-7395; Macromolecules, 2022, 55, 6973-6981; Macromolecules, 2023, 56, 1311-1323; Macromolecules, 2023, 56, 6667-6678;Macromolecules, 2024, 57, 5608-5619),发展可再生绿色生物基热固性树脂性能优化方法(Green Chemistry, 2020, 22, 1209-1219; Macromolecules, 2022, 55, 3106-3115; Chemical Engineering Journal, 2022, 448, 137670; Chemical Engineering Journal, 2023, 457, 141232),设计制备多种新型树脂基功能化材料(Carbon, 2024, 221, 118892; Journal of Materials Chemistry A, 2024, 12, 9113-9123; ACS Sustainable Chemistry & Engineering, 2024, 12, 1728-1739)。团队坚持将基础研究与应用推广紧密结合,旨在开发并商业化可广泛应用于电子封装、航空航天等领域的树脂基体材料。
原文链接:
https://pubs.acs.org/doi/10.1021/acs.macromol.4c02616
相关进展
江苏大学张侃教授团队 Macromolecules:具有多轮环结构的本征低温固化型苯并噁嗪树脂
江苏大学张侃团队《Macromolecules》:富含噻吩的酰胺官能化苯并噁嗪树脂
江苏大学张侃团队《Macromolecules》: 含三蝶烯结构的新型苯并噁嗪树脂
江苏大学张侃团队《Macromolecules》封面论文:含分子内氢键的磷杂菲官能化苯并噁嗪树脂
高分子科技原创文章。欢迎个人转发和分享,刊物或媒体如需转载,请联系邮箱:info@polymer.cn
欢迎专家学者提供稿件(论文、项目介绍、新技术、学术交流、单位新闻、参会信息、招聘招生等)至info@polymer.cn,并请注明详细联系信息。高分子科技®会及时推送,并同时发布在中国聚合物网上。
欢迎加入微信群 为满足高分子产学研各界同仁的要求,陆续开通了包括高分子专家学者群在内的几十个专项交流群,也包括高分子产业技术、企业家、博士、研究生、媒体期刊会展协会等群,全覆盖高分子产业或领域。目前汇聚了国内外高校科研院所及企业研发中心的上万名顶尖的专家学者、技术人员及企业家。
申请入群,请先加审核微信号PolymerChina(或长按下方二维码),并请一定注明:高分子+姓名+单位+职称(或学位)+领域(或行业),否则不予受理,资格经过审核后入相关专业群。