动态颜色控制是生物体通过适应环境变化实现的一种重要机制,近年来,随着响应性材料的不断发展,研究者们逐渐能够实现对颜色变化的精确调控,尤其是在液晶材料领域。特别地,蓝相液晶(BPLC)是一种3D手性螺旋超结构,由于其独特的光学特性,如可调节的结构颜色和圆偏振光反射,成为研究热点。然而,要在实际应用中利用BPLC材料实现复杂的多色图案控制,仍面临一些重大挑战。尽管喷墨打印技术为高分辨率、多色图案的实现提供了有效途径,但如何独立控制区域颜色、精确调节颜色变化速率和持续时间,尤其是针对液晶墨水的温度和时间依赖性行为,仍然是该领域亟待解决的关键问题。
中国科学院理化技术研究所江雷院士、王京霞研究员团队在蓝相液晶(BPLC)领域取得了一系列重要突破。团队率先利用商用液晶材料成功制备出具有宽温域、高品质的蓝相液晶聚合物(J. Mater. Chem. C, 2019, 7: 9460)。在此基础上,通过透射电镜、同步辐射、2D光学表征等多种先进手段,揭示了蓝相液晶的马氏体转变机制(Nat. Commun. 2021, 12, 3477),并深入研究了聚合物蓝相液晶的光学热稳定性(Adv. Funct. Mater. 2024, 2412439)。进一步,团队开发了基于聚合物蓝相液晶的高品质激光谐振腔,通过调控带隙变化实现了单模、双模、三模及四模激射的可控调制(Adv. Mater., 2022, 34, 2108330)。通过优化聚合物蓝相液晶的组成及聚合度,团队成功将蓝相激射的温域扩展至超过400°C(-180~230°C)(Adv. Mater., 2022, 34, 2206580; Adv. Mater., 2024, 2308439)。此外,团队还将蓝相液晶模板应用于光子纸领域,通过将聚合物模板蓝相(PTBPs)与喷墨打印技术相结合,利用小分子液晶5CB作为墨水,实现了高精度“活”图案的制备(Adv. Funct. Mater. 2022, 32 (15), 2110985),并进一步实现了3D手性色彩单元的可编程时空调控与加密(Adv. Mater. 2025, 37 (4), 2411988)。
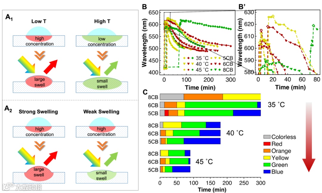
然而,由于液晶墨水复杂的相变特性、流体特性以及与BPLC聚合物网络的相互作用,如何实现对区域颜色的独立“开/关”控制,并深入理解不同液晶墨水决定的颜色变化随温度和时间变化的行为,仍然是一项重大挑战。这一难题极大地限制了基于BPLC的高分辨率复杂动态图案的开发及其潜在应用。
近日,该研究团队基于疏水改性蓝相聚合物模板(FAS-BPPT),系统研究了三种液晶墨水(5CB、6CB、8CB)的扩散动力学,揭示了墨水相变特性、流体性质与聚合物网络相互作用的深层规律。实验表明,墨水渗透会引发反射带隙的“红移-蓝移”两阶段变化,而温度可通过调控墨水粘度和扩散速率,灵活控制颜色变化速率与持续时间。例如,低粘度的5CB墨水扩散最快,颜色变化范围最广;高粘度的8CB则需更长时间触发,但颜色稳定性更优。这一突破性研究为复杂动态图案的可编程化与多维光学加密提供了新的技术路径,推动了蓝相液晶在智能显示、信息加密等领域的应用发展。
此外,基于墨水特性差异,团队成功构建了多层级动态图案。例如:
“生长的苹果树”:通过分层印刷5CB(树叶、树干)与8CB(苹果),在温度梯度下依次触发颜色变化,模拟植物生长过程。
嵌套QR码:利用不同墨水的时间响应差异,设计双层加密信息,仅在特定温度下逐级解密,显著提升防伪安全性。
传统花鸟画:结合5CB、6CB、8CB的区域印刷,实现黄、红、绿多色动态渐变,展现艺术与科技的融合。
这些图案不仅支持裸眼动态观测,还具备圆偏振光选择性反射特性,为多维光学加密提供了新思路。

该研究成果以“Temperature-Time-Dependent Dynamic Pattern from Multi-Inks Printing Based on Chiral Helix Superstructure”为题,发表在Advanced Functional Materials。该文章通讯作者为王京霞研究员。中国科学院理化所硕士生别智莹和直博生杨文杰为文章共同第一作者。工作中相关蓝相液晶晶格结构的表征由上海高能所李秀宏研究员协助完成,中国科学院理化所江雷院士为本研究提供了专业指导和帮助。

图1. PS-BPLC和FAS-BPPT的制备与表征。A) 可打印BPPT的制备过程示意图(A1, A2)及来自不同墨水(5CB、6CB和8CB)的多色印刷图案(A3, A3');B) POM图像:B1) PS-BPLC和B2) FAS-BPPT,插图为对应的反射光谱,B3, B3') FAS-BPPT的同步辐射超小角X射线散射(syn-USAXS);C) Kossel图案,D) TEM图像:C1, D1) PS-BPLC和C2, D2) FAS-BPPT。

图2. 5CB墨水的渗透行为及不同温度下FAS-BPPT的对应颜色变化过程。A) POM图像和B) 打印点的反射光谱,在A1, B1) 30 ˚C, A2, B2) 35 ˚C时。C1, C2) 打印点的中心波长(λcenter)变化,C3) 打印点的颜色随时间变化。D) 不同温度下打印点的λred和半径。E) 模拟结果:E1) 打印点半径的变化,E2) 墨水的渗透深度,E3) 不同温度下基底表面墨水剩余体积随时间变化。随着温度升高,打印点的红/蓝移速率增加,导致颜色保留时间缩短。

图3. 40 ˚C下5CB、6CB和8CB墨水在FAS-BPPT上的渗透行为和颜色变化过程。A) 打印点的POM图像(i-iv)和反射光谱(v),墨水A1) 5CB,A2) 6CB,A3) 8CB,在40 ˚C下的情况。B1, B2) 5CB、6CB和8CB墨水打印点的中心波长(λcenter)和B3) 颜色变化。C) BPPT填充不同墨水时的λcenter和膨胀比。5CB墨水的打印点表现出最快的颜色变化速率和最宽的颜色变化范围,而8CB墨水的打印点则表现出最慢的颜色变化速率和最窄的颜色变化范围。

图4. 打印点的动态颜色变化总结,基于墨水类型和温度。A) 不同颜色机制的示意图:A1) 在不同温度下,A2) 使用不同墨水打印时。B) 打印点的中心波长(λcenter)与时间的关系,B') 放大图。C) 打印点的颜色动态随时间变化。对于单一墨水,打印点的红/蓝移速率随着温度升高而增加,从而导致颜色保留时间缩短。对于不同墨水,5CB墨水的打印点表现出最快的颜色变化速率和最宽的颜色变化范围,而8CB墨水的打印点则表现出最慢的颜色变化速率和最窄的颜色变化范围。

图5. 传统中国鸟花画的制备与表征,通过使用5CB、6CB和8CB进行打印。A) 使用5CB、6CB和8CB墨水分别表现黄色、红色和绿色的图案打印示意图。B) 拍摄的照片:B1) 无滤光片,B2) 左旋偏光滤光片,B3) 右旋偏光滤光片。C) 打印区域的反射光谱:C1) 5CB,C2) 6CB,C3) 8CB,插图:打印区域在0.5小时的POM图像,C4) 打印区域在30天内中心波长(λcenter)的变化。

图6. 用5CB和8CB打印的“生长中的苹果树”动态图案。A) 动态多色图案的示意图,通过采用5CB和8CB的多层打印方式实现。B) 照片:B0) BPPT,打印的动态苹果树,B1) 0小时,B2) 30 ˚C下5小时后,B3) 35 ˚C下11小时后。C) 图案的反射光谱:C1) 叶子,C2) 树干,C3) 苹果。C4) 加热时叶子、树干和苹果图案的中心波长(λcenter)变化。

图7. 通过使用5CB、6CB和8CB打印制备的双层二维码动态多级加密。A1) 设计示意图,A2) 5CB、6CB和8CB的颜色变化,A3) 双层二维码的动态变化过程。B) 打印的动态二维码照片,显示第一条和第二条信息。
研究得到了国家自然科学基金项目(项目编号:52373001、51873221、52073292)及中荷国际合作项目(1A111KYSB20190072)等的资助支持。
原文链接
https://advanced.onlinelibrary.wiley.com/doi/10.1002/adfm.202424107
相关进展
高分子科技原创文章。欢迎个人转发和分享,刊物或媒体如需转载,请联系邮箱:info@polymer.cn
诚邀投稿
欢迎专家学者提供稿件(论文、项目介绍、新技术、学术交流、单位新闻、参会信息、招聘招生等)至info@polymer.cn,并请注明详细联系信息。高分子科技®会及时推送,并同时发布在中国聚合物网上。
欢迎加入微信群 为满足高分子产学研各界同仁的要求,陆续开通了包括高分子专家学者群在内的几十个专项交流群,也包括高分子产业技术、企业家、博士、研究生、媒体期刊会展协会等群,全覆盖高分子产业或领域。目前汇聚了国内外高校科研院所及企业研发中心的上万名顶尖的专家学者、技术人员及企业家。
申请入群,请先加审核微信号PolymerChina(或长按下方二维码),并请一定注明:高分子+姓名+单位+职称(或学位)+领域(或行业),否则不予受理,资格经过审核后入相关专业群。
点
这里“阅读原文”,查看更多

