以水和氧气为原料,在太阳能驱动下用于人工光合作用生产H2O2的途径为传统的H2O2生产方法提供了一种替代性的新策略。在光催化生产H2O2的氧还原反应中,虽然许多研究都集中在增强光催化剂中光生电子的参与,但氧气的高度参与在反应中的关键作用往往被忽视。用于高效生成H2O2的光催化ORR反应需要电子和氧气之间的协同相互作用,氧气在催化剂表面的吸附和活化对反应的进程有着显著的影响。光催化活性是催化剂和反应物上的活性位点之间表面反应的累积结果。因此,在催化剂内构建调节氧气行为的活性位点是增强光催化活性和开发高效光催化剂的可行策略。

近日,河北地质大学卢昶雨&江苏科技大学施伟龙课题组开发了间苯二酚-甲醛树脂(RF)上Ni金属位点改性的聚合物催化剂(NiRF)。研究发现,镍离子的掺入优化了NiRF树脂的能带结构,并为氧的转化提供了活性位点。Ni金属活性位点显著调节NiRF对O2的吸附能力,并确保合适的吸附构型和能量。在可见光照射下,最佳的NiRF催化剂表现出令人印象深刻的H2O2生成速率,高达31.75 mM g-1 h-1,明显优于迄今为止报道的大多数催化剂。这项工作为基于RF树脂的光催化剂提供了一种新颖的设计理念,并为开发高效光催化生产H2O2的方法提供了一种方案。


图2. NiRF纳米球形貌,元素分布及高分辨率XPS光谱
通过一步水热法合成镍掺杂RF树脂,并使用扫描电子显微镜分析了其微观结构,NiRF表现出直径约为 400 nm的均匀球形形貌。镍离子的引入没有使RF树脂的均匀球形形貌受到影响,并且没有明显的镍纳米颗粒聚集,镍离子的掺入不会干扰 RF 树脂的聚合过程,也不会影响其尺寸和形态。在NiRF的Ni 2p的高分辨率 XPS 光谱中,可以观察到Ni 2p3/2和Ni 2p1/2信号的存在,这充分证实了Ni元素成功掺杂到RF树脂中。

RF和NiRF-5树脂在2θ= ~20°处都表现出较宽的衍射峰,这对应于石墨碳的(002) 晶面。使用紫外-可见光 (UV-vis) 漫反射光谱分析了RF和NiRF树脂的光学特性。Ni元素的成功掺杂导致RF树脂固有吸收边缘发生红移,增强了其在可见光谱中的光吸收能力。在RF树脂中,苯基和醌单元分别作为价带(VB)和导带(CB)。这种窄带隙半导体由用于电子迁移的π对杂化供体-受体(D-A)产生的,在掺杂Ni元素后进一步缩小了其带隙,并且其能带位置向更负的电位移动。NiRF适当的能带结构不仅完全满足光催化氧还原产生H2O2的热力学条件(O2/H2O2 =0.68 V vs NHE),而且其负 CB 也对光生电子的还原能力产生积极影响。

与RF树脂相比,所有样品在纯水中都表现出增强的光催化生成H2O2活性。其中,NiRF-5在没有额外氧气的条件下表现出最高的光催化性能,显著超过RF树脂。此外,NiRF-5的光催化产H2O2速率也比纯RF树脂高1.45倍,镍掺杂显著提高了RF树脂的H2O2生产能力,超过了近年来报道的光催化H2O2产率。NiRF的选择性相较于RF树脂发生了显着提高,并且相应的电子转移值(N)均接近理论理想值2,这些结果共同阐明了在光催化H2O2生产过程中会发生两步单电子ORR反应。

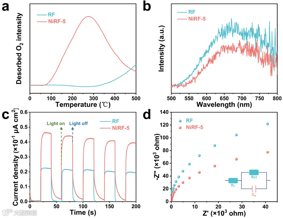
图5. NiRF程序升温脱附(TPD-O2)曲线及光电性质
与RF相比,NiRF表现出更高的峰面积,表明NiRF对O2具有优越的吸附能力,这充分表明镍掺杂到RF树脂中促进了O2的吸附和活化,从而增强了光催化生产H2O2的性能。在RF树脂光催化生产H2O2的过程中,光生电子的参与起着不可替代的作用。在光致发光(PL)光谱中,与RF树脂相比,NiRF表现出更低的PL强度,这充分表明Ni掺杂后,RF树脂中光激发电子和空穴的复合受到了抑制。在光电化学测试中,NiRF树脂表现出更强的光电流密度,NiRF-5树脂的电化学阻抗谱(EIS)具有更小的光谱半径,表明 RF 树脂中Ni掺杂后空间电荷转移电阻降低,这也表明Ni的掺入导致RF树脂中光生电荷载流子的有效转移和分离。

图6.金属位点上O2吸附结构示意图,吸附能,电荷差密度,静电势,PDOS和自由能分布
NiRF上Ni位点可以有效吸附O2。这种增强的吸附能力是NiRF在光催化生产H2O2中性能提高的关键因素。通过进一步计算和分析RF和NiRF样品上O2吸附时的电荷差密度,NiRF的电荷转移明显大于RF,Ni位点促进了O2的吸附和活化。NiRF中增强的离域效应促进了电荷分离,从而促进了氧吸附后产生H2O2的后续过程。Ni 活性位点确保了适当的O2吸附能和吸附构型,从而保证了后续H2O2的高效生成。此外,Ni活性位点的掺入增强了氧活化并减少了与生产H2O2相关的能量势垒,从而促进H2O2的产生。

图7. NiRF在光催化2e- ORR 中Ni位点结构演变的示意图和光反应过程中记录的NiRF的原位DRIFT光谱

图8.基于NiRF纳米球的光催化产H2O2机理示意图。
Ni离子的掺杂调节了RF树脂的能带位置,使其在热力学上为H2O2生产提供了更有利的条件。光激发后,NiRF树脂在CB中产生光生电子,在VB中产生空穴。在光生电子与氧结合产H2O2的过程中,Ni位点作为氧吸附的高效活性位点,不仅增强了NiRF树脂的氧吸附能力,还促进了光生电子在NiRF上的分离和迁移,促进了涉及更多氧和光生电子的连续双电子氧还原反应,导致形成各种氧化中间体和H2O2。同时,Ni位点还抑制了催化剂表面产生的H2O2的分解,从而通过光催化手段实现H2O2的高效生产。
上述成果以“Oxygen Modulation by Ni Metal Sites in Resorcinol-Formaldehyde Resins for Boosted Photocatalytic H2O2 Production from Pure Water”为题发表在《Small》期刊(Small, (2025) 2500213)。
原文链接:
https://doi.org/10.1002/smll.202500213
文章信息:K. Sun, L. Guo, J. Luo, B. Xiong, J. Hou, C. Lu,* X. Du,* W. Shi,* Oxygen modulation by Ni metal sites in resorcinol-formaldehyde resins for boosted photocatalytic H2O2 production from pure water, Small, (2025) 2500213
相关进展
高分子科技原创文章。欢迎个人转发和分享,刊物或媒体如需转载,请联系邮箱:info@polymer.cn
欢迎专家学者提供稿件(论文、项目介绍、新技术、学术交流、单位新闻、参会信息、招聘招生等)至info@polymer.cn,并请注明详细联系信息。高分子科技®会及时推送,并同时发布在中国聚合物网上。
欢迎加入微信群 为满足高分子产学研各界同仁的要求,陆续开通了包括高分子专家学者群在内的几十个专项交流群,也包括高分子产业技术、企业家、博士、研究生、媒体期刊会展协会等群,全覆盖高分子产业或领域。目前汇聚了国内外高校科研院所及企业研发中心的上万名顶尖的专家学者、技术人员及企业家。
申请入群,请先加审核微信号PolymerChina(或长按下方二维码),并请一定注明:高分子+姓名+单位+职称(或学位)+领域(或行业),否则不予受理,资格经过审核后入相关专业群。