开发可持续聚合物以减少对化石原料的依赖非常重要。二氧化碳作为可再生原料,不仅可以改善聚合物的降解性,还能降低温室气体排放。二氧化碳基脂肪族聚碳酸酯(CO2-APCs)因其热稳定性和生物降解性,成为替代传统石油聚合物的有前景材料。尽管CO2的热力学稳定性使其在聚合物合成中面临挑战,现有的共聚合方法常需高压和其他高能原料,还会产生难以分离的副产品。此外,CO2-APCs的回收仍旧以填埋为主,物理回收往往导致材料性能下降。而化学回收(CRM)虽然可以将聚合物回收至单体,但现有方法会导致CO2再次释放,从而抵消了环境效益。因此,有必要探索将CO2转化为可聚合中间体的新策略。这类方法应致力于实现聚合物的再聚合与化学回收,使得CO2固定在聚合物与中间体的闭环中,将减少CO2的重新排放,从而推动更加可持续的聚合物经济发展。这不仅有助于新材料的研发,也对环保和资源循环利用具有积极意义。

该研究以聚羟基脂肪酸酯(PHAs)衍生的生物质二醇与CO2为原料,开发了一种高效温和的两步合成策略,成功制备了CO2基脂肪族聚碳酸酯(CO2-APCs)。该研究巧妙地引入取代基调控策略,不仅实现了CO2-APCs的高效化学回收,还完成了CO2的闭环固定,为CO2的资源化利用提供了新途径。单体中α-取代基的引入显著降低了环状碳酸酯的环张力,这一特性使得所得CO2-APCs能够在温和条件下完全解聚回收为原始单体,且在整个过程中未发生脱羧反应。这一高效回收机制成功实现了CO2在单体与聚合物之间的闭环循环,有效避免了CO2向大气的再次释放。此外,烷基侧链的引入不仅增强了CO2-APCs的疏水性,还显著降低了材料在生命周期内因水解而导致CO2释放的风险,从而实现了CO2的闭环固定,为发展可持续高分子材料提供了重要策略。(图1)。

图1. 传统方法:通过环氧化物与CO2的共聚反应合成CO2-APCs及其解聚过程(上图);本研究提出方法:基于生物质二醇与CO2的温和两步策略制备可化学回收聚碳酸酯及闭环CO2固定(下图)

图2. (A)和(B)通过有机膦腈碱t-BuP2催化的ROP反应合成的P(M1)的MALDI-ToF MS谱图;(C) ln(([M]0-[M]e)/([M]t-[M]e))随时间变化的动力学曲线; (D) Mn,NMR和Ð随单体转化率的变化趋势; (E)合成的P(M1)的SEC(尺寸排阻色谱)曲线
图2展示了基于有机膦腈碱t-BuP2催化α-取代六元环状碳酸酯(M1)的开环聚合,所合成的CO2-APCs的大分子质谱图呈现正态分布,并且聚合过程表现出活性可控的特征。此外,研究团队对不同取代基单体的聚合动力学进行了系统比较,重点评估了取代基位阻效应对反应速率的影响。结果表明,具有显著空间位阻效应的异丙基(M3)取代单体表现出最慢的聚合动力学(Kpapp = 0.387 h-1)。

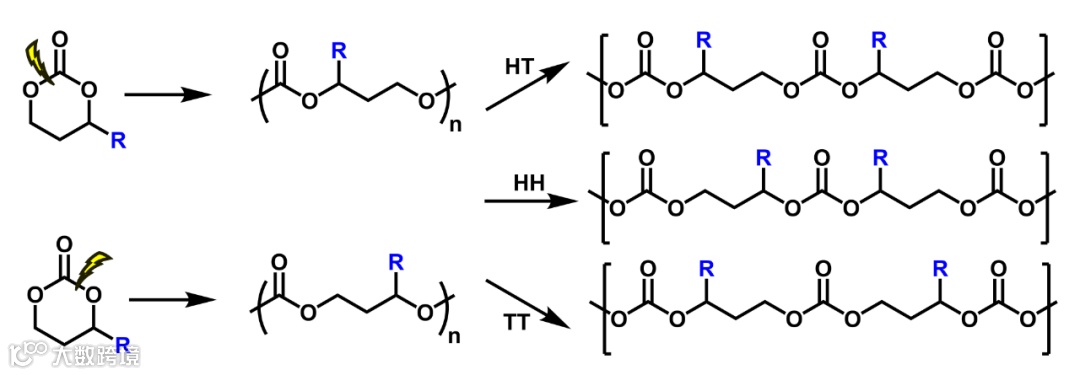
图3. 合成的α-取代六元环状碳酸酯单体的可能开环位点及相应聚合物的微观结构(头-尾(HT)、头-头(HH)、尾-尾(TT))。
图3展示了含不同侧基CO2-APCs区域选择性(Xreg)的相关研究。值得注意的是,具有异丙基侧基的P(M3)表现出极高的区域选择性(Xreg > 0.99)。这种异常高的区域选择性主要归因于异丙基基团的显著空间位阻效应,导致亲核试剂优先进攻碳酸酯键中空间位阻较小的一侧。相比之下,其他侧基取代的聚合物的区域选择性较低(Xreg : 0.74-0.83)。这些结果表明,单体取代基的空间位阻效应是调控该聚合体系区域选择性的关键因素。

图4. (A) 热重分析(TGA)和 (B) 差示扫描量热法(DSC)对所有CO2-APCs的热分析曲线
图4展示了含不同侧基CO2-APCs的热性能。结果显示,P(M1)、P(M2)、P(M3)、P(M4)和P(M5)的Td,5%分别从209 °C逐步升高至227 °C、230 °C、243 °C和245 °C。这一现象归因于从P(M1)到P(M5),烷基侧链逐渐增长,从而增强了材料的热稳定性。随着聚合物烷基侧链长度的增加,链间的增塑效应增强,导致Tg总体呈下降趋势。然而,P(M3)是一个特例,其Tg达到3 °C。这是由于P(M3)具有最高的区域选择性(Xreg > 0.99),形成了近乎完美的头-尾(HT)结构,从而显著提高了链间相互作用力。

图5. (A) P(M1)-P(M5)的180°剥离粘附力测试结果;(B) P(M1)-P(M5)的水接触角测试结果
图5A通过180°剥离粘附力测试评估了CO2-APCs作为粘合剂的潜在应用。其中,具有适中Tg的P(M1)表现出最强的粘附性(剥离粘附强度为2.3 ± 0.13 N cm-1)。合成的CO2-APCs能够实现高效的化学回收(>99%),并且在整个循环过程中未发现脱羧现象。此外,烷基侧链的引入不仅增强了CO2-APCs的疏水性(图5B),还显著降低了材料在生命周期内因水解而导致CO2释放的风险,从而实现了CO2的闭环固定,为发展可持续高分子材料提供了重要策略。

图6.通过α-取代六元环状碳酸酯与L-丙交酯的顺序开环聚合(ROP)合成三嵌段共聚物
最后,利用t-BuP2/硫脲二元催化体系,成功实现了α-取代六元环状碳酸酯与L-丙交酯(L-LA)的可控共聚,合成了一系列结构明确的聚碳酸酯/聚酯三嵌段共聚物。这些材料表现出优异的热性能和多功能性,进一步拓宽了CO2衍生聚合物的功能应用范围。
该工作以研究论文的形式发表于Angewandte Chemie International Edition上,题目为“A General and Mild Two-Step Strategy Using Bioderived Diols and CO2 for Chemically Recyclable Polycarbonates and Closed-Loop CO2 Fixation”。苏州大学材料与化学化工学部硕士研究生田家名为论文第一作者,张正彪教授与王鑫副教授为通讯作者,苏州大学为第一单位。该研究得到国家自然科学基金委项目的支持。
原文链接:
https://onlinelibrary.wiley.com/doi/10.1002/anie.202423162
相关进展
高分子科技原创文章。欢迎个人转发和分享,刊物或媒体如需转载,请联系邮箱:info@polymer.cn
欢迎专家学者提供稿件(论文、项目介绍、新技术、学术交流、单位新闻、参会信息、招聘招生等)至info@polymer.cn,并请注明详细联系信息。高分子科技®会及时推送,并同时发布在中国聚合物网上。
欢迎加入微信群 为满足高分子产学研各界同仁的要求,陆续开通了包括高分子专家学者群在内的几十个专项交流群,也包括高分子产业技术、企业家、博士、研究生、媒体期刊会展协会等群,全覆盖高分子产业或领域。目前汇聚了国内外高校科研院所及企业研发中心的上万名顶尖的专家学者、技术人员及企业家。
申请入群,请先加审核微信号PolymerChina(或长按下方二维码),并请一定注明:高分子+姓名+单位+职称(或学位)+领域(或行业),否则不予受理,资格经过审核后入相关专业群。