可降解聚酯因其在自然环境中能够分解,具有降低生态环境负面影响的优势,近年来受到广泛关注。不同应用场景对材料的降解速率有着不同的需求,例如医疗器械通常要求较慢的降解速率,以保证其在体内的稳定性;而一次性包装材料则更适合采用降解速率较快的材料,以实现快速降解。为了满足多样化的应用需求,通过制备共聚酯并调控共聚单元的种类与比例,可以有效调节无规共聚酯的多种性能,包括降解性能、热性能(如熔融温度Tm和结晶温度Tc)以及机械性能等。
在无规共聚酯中,共聚单元的结晶能力对材料性能具有重要影响。一般而言,由可结晶单元组成的无规共聚酯体系较难形成共结晶结构,只有当共聚单元之间结构高度相似时,才可能形成共结晶。根据目前的研究,共结晶行为主要分为两类:异质同晶(isomorphism)和异质同二晶(isodimorphism)。在异质同晶体系中,共聚物晶体仅呈现单一晶型,两种单体可在任意比例下共同进入同一晶格中,其晶胞参数、Tm和Tc通常与共聚单元的摩尔分数呈线性关系。而在异质同二晶体系中,当某一共聚单元的结晶能力占主导地位时,另一单元可以以部分插入的方式进入晶体结构中。该类体系的Tm和Tc会随第二单元含量的增加而逐渐降低,最终在主导晶型发生转变时达到一个最低点,即所谓的“伪共晶温度”。近年来,随着对可降解聚酯共聚行为研究的深入,学界开始重新审视某些传统体系的结晶机制。例如,聚(己内酯-co-十五内酯)这一典型的可降解共聚酯体系,长期以来被认为呈现异质同晶行为。
近期,西班牙巴斯克大学Alejando J. Müller教授与北京师范大学朱晓夏教授团队王考进合作,系统研究了聚(己内酯-co-十五内酯)的共结晶行为。作者采用脂肪酶催化合成的方法,成功制备了10种具有不同组成比例的无规共聚物(PCLxPPDLy)。令人惊讶的是,研究发现当己内酯(CL)含量为88%时,体系出现了一个伪共晶温度(图1),这是判断共聚物是否属于异质同二晶的重要依据之一。这一结果表明该体系展现出异质同二晶特征,为进一步理解可降解共聚酯的结晶行为提供了新的证据。
图1. PCLxPPDLy的共结晶行为
作者首先利用差示扫描量热(DSC)对不同组分的PCLxPPDLy进行了非等温测试。结果显示,所有组分的共聚物均表现出单一的结晶峰和熔融峰(图2a和2b)。当己内酯单元的摩尔分数低于83%时,其Tm和Tc与己内酯的摩尔组分呈线性关系。然而,当摩尔分数超过83%时,这种线性关系不再成立(图2c)。除此以外,结晶焓(ΔHc)、熔融焓(ΔHm)和结晶度(Xc)在己内酯共聚单元为88%时呈现一个最低点(图2d)。以上结果初步表明PCLxPPDLy的共结晶属于异质同二晶。
图2. PCLxPPDLy的(a)加热和(b)冷却DSC曲线及其(c)结晶温度Tc、熔融温度Tm,(d)熔融焓ΔHm、结晶焓ΔHc以及结晶度Xc与共聚单元摩尔组分的关系。
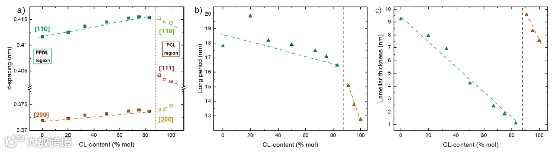
为进一步验证PCLxPPDLy的异质同二晶行为,作者还利用X射线技术对其进行了表征。结果显示,晶面间距(d-spacing)随己内酯单元含量的增加而逐渐增大,并在伪共晶点处出现拐点(图3a),表明了该点两侧晶胞结构的不同。晶胞尺寸的变化反映出主导晶型的转变,进一步佐证了该体系的异质同二晶特性。此外,长周期(long period)和片晶厚度(lamellar thickness)随己内酯共聚单元含量的变化也呈现出一个拐点(图3b和3c),进一步印证了该共聚物的异质同二晶行为。
图3. (a) PCLxPPDLy的广角X射线衍射峰曲线,(b)晶面间距随共聚单元组成的变化,(c)长周期以及(d)片晶厚度与共聚组分的关系。
综上所述,本研究通过合成一系列组分的PCLxPPDLy无规共聚物,并开展系统的结构与热性能表征,明确揭示了其共结晶行为属于异质同二晶,而非此前学界普遍认为的异质同晶。该研究成果以题为“The hidden isodimorphic crystallization of poly(ԑ-caprolactone-ran-ω-pentadecalactone) copolymers”发表在Biomacromolecules期刊上,通讯作者为巴斯克大学Müller教授、Ricardo A. Pérez-Camargo博士以及北京师范大学朱晓夏教授团队的王考进。北京师范大学贾永光研究员和巴斯克大学史云祥博士生亦为本文做了重要贡献。
原文链接:
https://pubs.acs.org/doi/10.1021/acs.biomac.5c00075
相关进展
高分子科技原创文章。欢迎个人转发和分享,刊物或媒体如需转载,请联系邮箱:info@polymer.cn
诚邀投稿
欢迎专家学者提供稿件(论文、项目介绍、新技术、学术交流、单位新闻、参会信息、招聘招生等)至info@polymer.cn,并请注明详细联系信息。高分子科技®会及时推送,并同时发布在中国聚合物网上。
欢迎加入微信群 为满足高分子产学研各界同仁的要求,陆续开通了包括高分子专家学者群在内的几十个专项交流群,也包括高分子产业技术、企业家、博士、研究生、媒体期刊会展协会等群,全覆盖高分子产业或领域。目前汇聚了国内外高校科研院所及企业研发中心的上万名顶尖的专家学者、技术人员及企业家。
申请入群,请先加审核微信号PolymerChina(或长按下方二维码),并请一定注明:高分子+姓名+单位+职称(或学位)+领域(或行业),否则不予受理,资格经过审核后入相关专业群。
点
这里“阅读原文”,查看更多

