聚苯并噁嗪树脂是一种新型且前景广阔的高性能热固性树脂,具有优异的热稳定性、近乎零的固化收缩率、卓越的机械性能和出色的耐化学性。这种高性能树脂在航空航天、民用基础设施、电子和涂料等各行各业都有广泛的应用。苯并噁嗪的固化机理包括开环反应和随后的聚合反应。然而,开环反应所需的高温极大地阻碍了它们的加工性和生产效率。因此,降低苯并噁嗪的固化温度已成为一个重要的研究领域,其目的是提高苯并噁嗪的实际应用。
近日,中北大学王智教授课题组针对降低苯并噁嗪的固化温度这一领域,深入研究了燃烧合成法在苯并噁嗪体系中的应用,在《Polymer》期刊发表名为:“High Performance Combustion Synthesis-Based Low-temperature Curing of Benzoxazine”的文章。该文章基于燃烧合成原理,使用In(NO3) 3和Ga(NO3)3作为氧化剂,乙酰丙酮(AcAcH)作为燃料。通过形成过渡金属硝酸盐和乙酰丙酮的前体复合物,将自发和连续的氧化还原反应生成的热量引入到苯并噁嗪的固化过程。该文章研究了不同过渡金属硝酸盐的燃烧合成对苯并噁嗪性质的影响,并尝试使用较少的过渡金属硝酸盐达到预期效果。研究结果表明,随着前驱体含量的增加,苯并噁嗪的固化温度逐渐降低。
值得注意的是,与In-Ac前驱体相比,Ga-Ac前驱体表现出更渐进、更可控的热释放,促进了更均匀的聚苯并噁嗪交联结构的形成。这种结构均匀性有助于全面提高材料的性能。此外,固化过程中无机颗粒的形成也对材料的微观结构特征产生了深远影响。具体来说,In2O3颗粒分布在异质结构域中,而 Ga2O3颗粒则分布在更均匀的结构域中。这种不同的分布在改善聚苯并噁嗪基体的机械性能和耐腐蚀性方面发挥了关键作用。
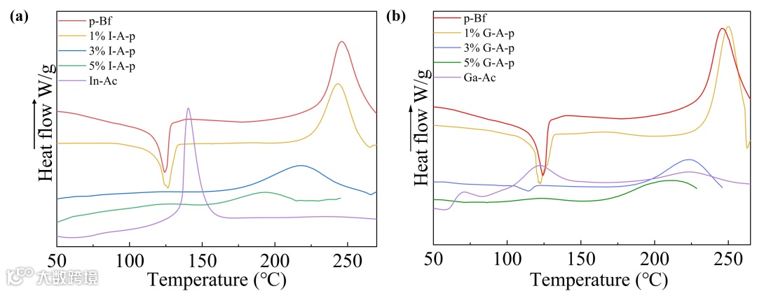
图1. DSC曲线:(a)不同比例的的I-A-p和(b)不同比例的G-A-p。
5% PI-A-p的初始固化温度为102 ℃,5% PG-A-p的初始固化温度为97 ℃。这些温度与In-Ac和Ga-Ac前驱体的氧化还原反应有关,氧化还原反应产生了大量热量,从而加速了苯并噁嗪的开环聚合。
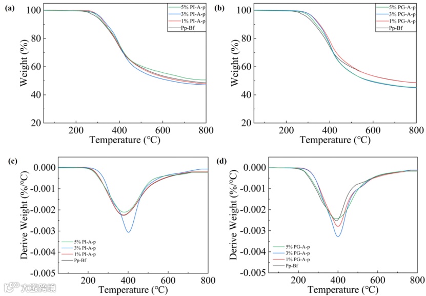
图2. (a) Pp-Bf和1%,3%,5% PI-A-p的TGA曲线,(b) Pp-Bf和1%,3%,5% PG-A-p的TGA曲线,(c) Pp-Bf和1%,3%,5% PI-A-p的DTG曲线,(d) Pp-Bf和 1%,3%,5% PG-A-p的DTG曲线。
使用热重分析法(TGA)评估了 Pp-Bf 以及不同浓度的 In-Ac和Ga-Ac前驱体在 N2气氛下的热稳定性。结果表明,无论苯并噁嗪中掺入的是In-Ac还是Ga-Ac前驱体,这两种前驱体都有助于提高苯并噁嗪5%和10%的失重温度(T5%和T10%)。加入5% In-Ac前驱体可提高相应聚苯并噁嗪在800 °C时的残炭率,而加入5% Ga-Ac前驱体仅会略微降低聚苯并噁嗪在800 °C时的残炭率。与5% PI-A-p相比,5% PG-A-p的残炭率相对较低,这可能是因为酚类曼尼希桥结构的形成明显减少,N,O-缩醛醛曼尼希桥结构的存在增加,以及氧化镓的形态发生了变化。
图3. (a) 3.5% NaCl 电解质溶液中的Tafel曲线,(b) 3.5% NaCl电解质溶液中 Pp-Bf、5% PI-A-p 和 5% PG-A-p 涂层的Nyquist图,(c) Nyquist局部放大图;(d) 涂层的等效电路图,(e) 保护机制。
为了进一步研究腐蚀电位机制,采用了电化学阻抗法(EIS)。如图3(b)及其局部放大图3(c)所示。与5% PI-A-p相比,5% PG-A-p涂层表现出更强的耐腐蚀性。这可能是因为在添加相同比例的前驱体后,5% PG-A-p中生成的氧化镓相对较多。同时,5% PG-A-p最终能形成结构域均匀的聚合物。由于这些原因,苯并噁嗪涂层内部更加致密,从而有效减少了液固接触面积,提高了涂层的耐腐蚀性,最终增强了对基底的保护。
上述研究得到了山西省留学基金资助研究项目(项目编号:2022-135)、山西省选派留学回国人员科技活动基金项目(项目编号:20220011)、山西省科技成果转化引导专项(项目编号:202204021301050)。 山西省研究生实践创新项目(项目编号:2024SJ259)等项目资助。
论文链接:
https://doi.org/10.1016/j.polymer.2025.128596
相关进展
高分子科技原创文章。欢迎个人转发和分享,刊物或媒体如需转载,请联系邮箱:info@polymer.cn
诚邀投稿
欢迎专家学者提供稿件(论文、项目介绍、新技术、学术交流、单位新闻、参会信息、招聘招生等)至info@polymer.cn,并请注明详细联系信息。高分子科技®会及时推送,并同时发布在中国聚合物网上。
欢迎加入微信群 为满足高分子产学研各界同仁的要求,陆续开通了包括高分子专家学者群在内的几十个专项交流群,也包括高分子产业技术、企业家、博士、研究生、媒体期刊会展协会等群,全覆盖高分子产业或领域。目前汇聚了国内外高校科研院所及企业研发中心的上万名顶尖的专家学者、技术人员及企业家。
申请入群,请先加审核微信号PolymerChina(或长按下方二维码),并请一定注明:高分子+姓名+单位+职称(或学位)+领域(或行业),否则不予受理,资格经过审核后入相关专业群。
点
这里“阅读原文”,查看更多

