开环聚合是一项合成主链功能高分子材料的重要策略。由于C(sp³)–N键广泛存在于许多环状有机化合物中,若能有效断裂此类化学键,将为开环聚合提供一种新颖的途径。然而,C(sp³)–N键具有较高的键解离能,导致其断裂难度相当大。目前的研究主要依赖于高环张力单体(如氮丙啶、氮杂环丁烷和扭曲酰胺)来驱动C(sp³)–N键的断裂以实现开环聚合。而在无明显环张力的环状单体中实现C(sp³)–N键的断裂,仍然面临着巨大的挑战(图1)。
图1. C(sp3)-N键断裂在开环聚合中的应用
中山大学黄汉初课题组主要致力于硫自由基聚合及大环开环聚合方法的研究,旨在为主链功能高分子材料的可控制备提供高效的合成技术。在前期工作中,他们首次利用“迈克尔加成-断裂”机制成功实现了无张力环状单体中C(sp³)–S键的选择性切断,构建了一类新颖的开环聚合反应体系,并成功制备了分子量可控、分布窄且能够在主链嵌入任意基团的含硫高分子材料(Angew. Chem. Int. Ed. 2023, 62, e202217895)。在本项研究中,他们与华南理工大学曹德榕教授课题组合作,进一步将该策略拓展至无张力环状单体中的C(sp³)–N键断裂,首次实现了基于迈克尔加成-断裂机制的C(sp³)–N键断裂开环聚合反应(图2)。同时,从机理角度出发,作者将他们所发展的这类聚合反应正式命名为“迈克尔加成–断裂开环聚合(Michael Addition–Fragmentation Ring–Opening Polymerization, MAFROP, /ˈmæfrɒp/)”,以便更加系统地开发和研究这类基于“迈克尔加成-断裂”机制的开环聚合反应。
图2. 基于C(sp3)-N键断裂的迈克尔加成-断裂开环聚合反应
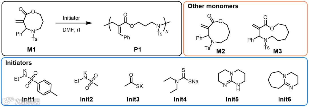
在本项研究中,作者首先设计并合成了新型环状单体M1,并在室温空气条件下筛选了不同的引发剂。结果表明,N-乙基甲磺酰胺基钾(Init2)展现出优异的聚合控制性能,所得聚合物的理论分子量(Mn,theo)与核磁分子量(Mn,NMR)高度吻合(图3)。在最优反应条件下,具有不同碳链长度的单体M1–M3均能实现可控聚合。通过调控单体与引发剂的比例,成功合成了分子量可调、分布窄的聚合物。值得一提的是,所得聚合物中肉桂酸酯结构以顺式构型为主(>90% cis)。此外,通过调节环尺寸,可以灵活地控制主链中氮原子的间距,这对于传统单体(如氮丙啶和氮杂环丁烷)而言极具挑战性。
图3. 聚合反应研究
动力学研究表明,该聚合反应遵循一级反应动力学规律,数均分子量(Mn)与转化率呈线性关系,且整个聚合过程中分子量分布保持较窄水平(Đ < 1.1)。进一步的MALDI-TOF质谱分析显示,每组主峰间隔的数值和聚合物重复单元的分子量相同,且聚合物具有完整的末端结构。基于此,作者进行了链延伸实验,成功制备了不同的嵌段共聚物。首先,通过M1的均聚合成大分子链转移剂P1,随后一锅法加入M2进行链延伸,成功得到了二嵌段共聚物P1-b-P2。同样,使用单体M1和M3亦可成功制备嵌段共聚物P1-b-P3。此外,通过顺序加入M1、M2和M3能够一锅法制备三嵌段共聚物P1-b-P2-b-P3,且能够精准控制聚合物分子量及其分布。这些实验不仅验证了MAFROP的可控性,更突出了该方法在合成具有明确结构聚合物方面的高效性。
为了深入理解该聚合反应的机理与立体选择性来源,作者进行了密度泛函理论(DFT)计算。结果表明,迈克尔加成能垒低于β-断裂能垒,表明后者为决速步并主导产物的立体构型。接着,作者对β-断裂过程中形成顺反产物的两种可能过渡态(cis-TS2与trans-TS2)进行了计算。计算结果显示,过渡态cis-TS2(14.8 kcal/mol)的能垒显著低于trans-TS2的能垒(25.5 kcal/mol),说明顺式肉桂酸酯的形成更有利。进一步的过渡态结构分析发现,八元环内Et(Ts)NCH2-基团与氢原子之间的跨环张力可能是trans-TS2能量高于cis-TS2的原因(图4)。为了验证这一推测,作者合成了非环状化合物并进行了对比实验,结果表明,产物主要为反式构型,进一步证实了环状单体开环聚合所观察到的较高顺式立体选择性主要源于跨环张力的驱动。
图4. 聚合反应机理的研究
此外,作者进一步将 MAFROP 策略拓展至与 N-磺酰基氮丙啶的共聚中(图5)。通过改变两类单体的投料顺序,成功制备了两种嵌段共聚物P1-b-PTsMAz和PTsMAz-b-P1,并通过DOSY谱证实了嵌段共聚物的成功合成。随后,利用甲醇钠处理二嵌段共聚物PTsMAz-b-P1时,P1段可被选择性降解,而PTsMAz段保持稳定,展示了该方法在聚合物功能化及降解性调控方面的应用潜力。
图5. 与N-磺酰基氮丙啶的共聚研究
最后,作者采用模块化方法将酯序列与开环机关结合,简便地合成了包含ABCDE五元序列的大环单体M4。通过对M4进行开环聚合,成功构建了分子量可控且分布窄的主链序列可控聚合物(图6)。值得注意的是,这类聚合物通常难以通过逐步聚合(其缺点在于分子量不可控)或传统开环聚合(其缺点在于难以在主链上引入任意指定的官能团)等方法进行制备。这一结果标志着MAFROP策略在主链功能高分子材料可控制备方面迈出了关键一步。
图6. 序列可控聚合物的合成
总结,本研究创新性地开发了一种基于C(sp³)–N键断裂的迈克尔加成–断裂开环聚合(MAFROP)新反应体系。该聚合反应可在温和条件下高效进行,合成分子量可控、分布窄且具有顺式立体选择性的肉桂酸酯类聚胺。此外,该聚合方法进一步扩展至与N-磺酰基氮丙啶的共聚以及序列可控聚合物的合成,展示了该类聚合反应在制备具有多样化主链结构的功能高分子材料方面的广阔应用前景。该研究工作以“Aza-Michael Addition–Fragmentation Ring–Opening Polymerization”为题发表于《美国化学会会志》(J. Am. Chem. Soc. 2025, DOI: 10.1021/jacs.5c03181),第一作者为黄丹同学。感谢国家自然科学基金和广东省自然科学基金对本项目的资助,同时也感谢在研究过程中给予帮助的朋友、老师和学生。
原文链接:
https://pubs.acs.org/doi/10.1021/jacs.5c03181
相关进展
中山大学黄汉初课题组 Angew:首例控制硫自由基的SRAFT聚合技术
中山大学黄汉初/华南理工曹德榕 Angew:烯丙基硫大环单体的自由基脱硫可控开环聚合策略
中山大学黄汉初课题组 Angew:大环单体的连锁点击聚合反应
高分子科技原创文章。欢迎个人转发和分享,刊物或媒体如需转载,请联系邮箱:info@polymer.cn
诚邀投稿
欢迎专家学者提供稿件(论文、项目介绍、新技术、学术交流、单位新闻、参会信息、招聘招生等)至info@polymer.cn,并请注明详细联系信息。高分子科技®会及时推送,并同时发布在中国聚合物网上。
欢迎加入微信群 为满足高分子产学研各界同仁的要求,陆续开通了包括高分子专家学者群在内的几十个专项交流群,也包括高分子产业技术、企业家、博士、研究生、媒体期刊会展协会等群,全覆盖高分子产业或领域。目前汇聚了国内外高校科研院所及企业研发中心的上万名顶尖的专家学者、技术人员及企业家。
申请入群,请先加审核微信号PolymerChina(或长按下方二维码),并请一定注明:高分子+姓名+单位+职称(或学位)+领域(或行业),否则不予受理,资格经过审核后入相关专业群。
点
这里“阅读原文”,查看更多

