近年来,随着5G/6G超高速通信的推进,高分子绝缘材料在GHz乃至THz频段的介电特性成为研究重点。聚酰亚胺(PI)凭借其优异的耐热性、机械强度和薄膜成型性,被视为候选材料之一。但其分子结构中存在的极性酰亚胺基团易与水分子形成氢键,从而导致在高湿度环境下介电常数(Dk)和介电损耗因子(Df)显著上升,这一“湿度依赖”问题长期制约着PI在高频器件中的应用,相关现象此前已有报道(R. Sawada, S. Ando, J. Phys. Chem. C2024, 128, 6979–6990)。
日本东京科学大学安藤研究室的研究团队(博士生澤田梨梨花、劉浩男助理教授、安藤慎治教授)在最新发表于 Journal of Physical Chemistry B (全文开放获取)的研究中,系统解析了15种不同结构PI的吸湿行为与GHz频段介电性能之间的关系,提出了新的机制性理解,并给出了明确的分子设计策略 。
图1. 本研究的概览
图2. 本研究中的15种聚酰亚胺结构
统一规律的提出
研究表明,无论PI的分子结构差异多大,其在10 GHz下的Dk和Df随水分吸收量的变化均遵循相同的规律:
•Dk随水分含量近似线性增加;
•Df在低湿条件下呈线性上升,但在高湿度下出现弯曲上扬,并最终落在一条统一的“主曲线”上。
结果表明,高频介电性能的湿度依赖性主要取决于水分子的吸收量与聚集状态,而非PI骨架本身的差异。这一“统一曲线”的提出,为理解和预测复杂PI体系的湿度敏感性提供了普适框架。
图3. 10 GHz下PI的Dk, Df与含水率的关系
自缔合水效应的揭示
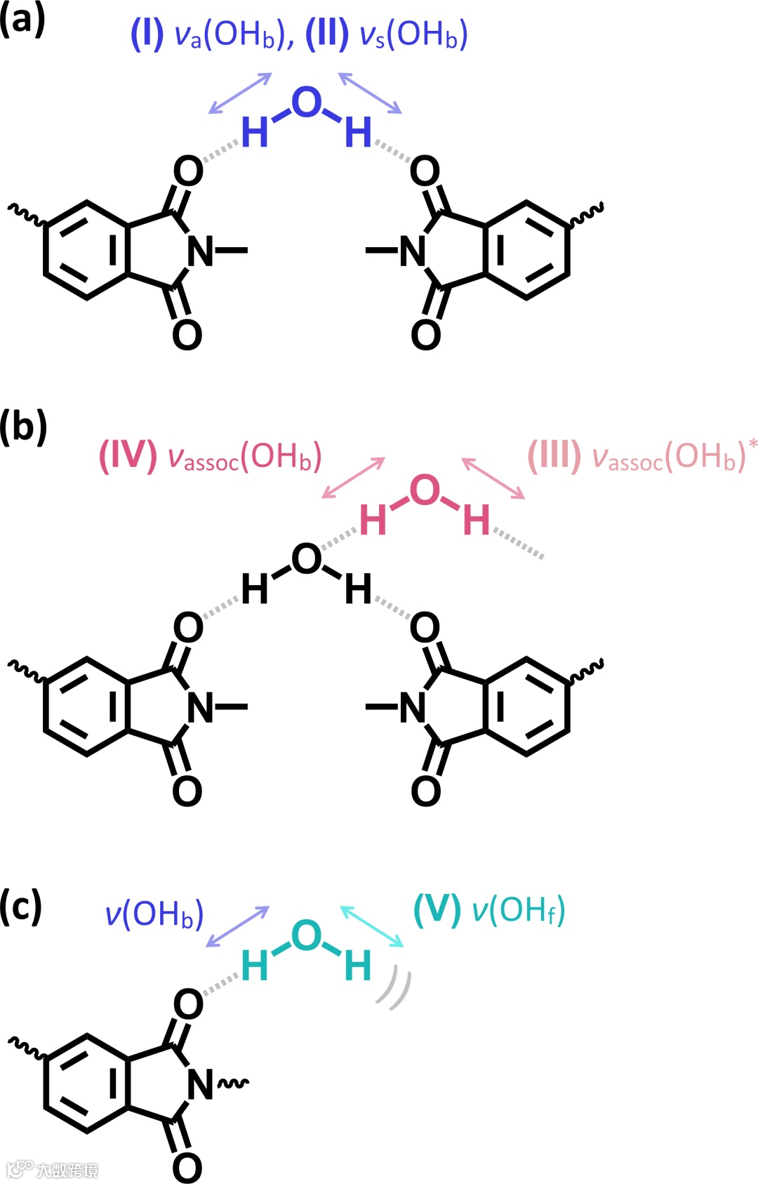
通过可变湿度FT-IR光谱的振动模式分解,研究团队区分了PI中两类吸附水:
1.结合水(bound water)——直接与酰亚胺羰基形成氢键;
2.自缔合水(self-associated water)——在已有结合水的基础上,水分子之间进一步形成氢键网络。
图4. 可变湿度FT-IR光谱的结果(部分)
关键发现是:介电损耗的急剧增加与自缔合水的生成高度相关。当自缔合水比例上升时,水分子不仅作为极性介质参与损耗,还通过“增塑作用”激活了聚酰亚胺链中酰亚胺与酯基等高偶极矩基团的局部弛豫运动。这一过程恰好与10 GHz的频率范围共振,从而显著放大了Df。
这一机制性认识超越了以往“吸水量越大→性能越差”的经验结论,首次揭示出:决定高频损耗异常上升的关键在于水的结构状态,而非仅仅是吸收量。
图5. 不同PI在FT-IR光谱中的水分子伸缩振动模式分解
图6. 三种氢键状态中水分子的拉伸振动模式示意图
分子设计的指导
基于上述发现,研究提出了降低湿度依赖的分子设计策略:
•引入氟原子或疏水基团,以减少水分吸收并削弱自缔合水的形成;
•提高链段刚性与有序堆积,以抑制因增塑作用而激活的分子链局部运动。
这一策略不仅为实现低Df聚酰亚胺提供了新的路径,也为未来的6G通信、高速电子封装与太赫兹波段应用提供了材料设计原则。研究团队未来将进一步拓展至太赫兹频段的吸收与介电行为研究,从而实现对宽带通信材料性能的更系统解析。
论文链接(全文开放获取):
https://doi.org/10.1021/acs.jpcb.5c05709
相关进展
东京工业大学安藤慎治教授团队:聚酰亚胺的压力诱导室温磷光增强现象
东京工业大学安藤慎治教授团队 Appl. Phys. Lett.:聚酰亚胺在6G频率范围内的介电特性
高分子科技原创文章。欢迎个人转发和分享,刊物或媒体如需转载,请联系邮箱:info@polymer.cn
诚邀投稿
欢迎专家学者提供稿件(论文、项目介绍、新技术、学术交流、单位新闻、参会信息、招聘招生等)至info@polymer.cn,并请注明详细联系信息。高分子科技®会及时推送,并同时发布在中国聚合物网上。
欢迎加入微信群 为满足高分子产学研各界同仁的要求,陆续开通了包括高分子专家学者群在内的几十个专项交流群,也包括高分子产业技术、企业家、博士、研究生、媒体期刊会展协会等群,全覆盖高分子产业或领域。目前汇聚了国内外高校科研院所及企业研发中心的上万名顶尖的专家学者、技术人员及企业家。
申请入群,请先加审核微信号PolymerChina(或长按下方二维码),并请一定注明:高分子+姓名+单位+职称(或学位)+领域(或行业),否则不予受理,资格经过审核后入相关专业群。
点
这里“阅读原文”,查看更多

