搜索
首页
大数快讯
大数活动
服务超市
文章专题
出海平台
流量密码
出海蓝图
产业赛道
物流仓储
跨境支付
选品策略
实操手册
报告
跨企查
百科
导航
知识体系
工具箱
更多
找货源
跨境招聘
DeepSeek
首页
>
魔德案例分享:采用量子化学方法对磁性分子印迹聚合物的筛选和检测
>
0
0
魔德案例分享:采用量子化学方法对磁性分子印迹聚合物的筛选和检测
魔德科技
2023-07-12
1
导读:本文采用量子化学计算方法辅助建立了分子印迹聚合物的筛选和检测方法。
合作单位:
Hainan University
参考文献:
Yuge Hou, Xiaofei Jiang, Yuhang Gao, et al. Microchemical Journal 166(2021). DOI
:
10.1016/j.microc.2021.106232
(
IF = 5.304
)
本文合成了
II
型拟除虫菊酯的磁性分子印迹聚合物。将制备的
MMIPs
与气相色谱串联质谱(
GC-MS
)结合,用于人血浆中痕量
II
型拟除虫菊酯残留的选择性分析。方法学验证表明,该方法可有效检测复杂生物样本中
II
型拟除虫菊酯痕量残留。
背景:
拟除虫菊酯是一种常用的合成杀虫剂,具有高效、广谱和可生物降解性。大量研究表明,拟除虫菊酯农药及其代谢物可对免疫器官和免疫细胞产生毒性作用。含有
α
-
氰基的
II
型拟除虫菊酯比不含
α
-
氰基的拟除虫菊酯农药毒性更大,并且随着卤素原子的取代毒性增加。因此,有必要建立生物样本中
II
型拟除虫菊酯的分析方法,用于临床监测和毒理学研究。
由于所处环境的复杂性和含量相对较低,生物样本中拟除虫菊酯类杀虫剂残留的分析仍然是一个挑战。目前国内外对拟除虫菊酯残留分析的研究较多,然而以往的预处理方法不能明显消除基质或共存物质的干扰。此外,
II
型拟除虫菊酯残留的分析方法很少报道。因此,有必要建立一种对这些化合物具有高选择性的预处理方法。
分子印迹技术
(molecular imprinting technology, MIT)
起源于免疫学,是指以特定的靶分子
(
模板分子、印迹分子
)
为模板合成具有选择性的聚合物的过程。分子印迹聚合物本身具有预定性,识别性和实用性等特点,该方法在固相萃取(
SPE
)和模拟酶催化等许多领域得到了迅速的应用。磁性分子印迹是一种在磁性颗粒表面进行的印迹反应,其中磁场的应用使过程更简单,耗时更少。
经与魔德科技(
www.modekeji.cn
)技术团队沟通,本文选择
II
型拟除虫菊酯的合成中间体和代谢物
3-
苯氧苯甲酸
(3-PBA)
作为模板分子,通过量子化学方法筛选合适的单体及单体与模板分子的比例。
制备了具有特定吸附性能的磁性分子印迹聚合物
(MMIPs)
,并通过扫描电镜
(SEM)
、透射电镜
(TEM)
、
X
射线衍射分析
(XRD)
、傅里叶变换红外光谱
(FT-IR)
和振动样品磁强计
(VSM)
对其进行了表征。利用一系列吸附曲线模型对磁性微球的吸附特性进行了表征。
方案设计:
以
3-PBA
为模板分子,
AM
、
MAA
和
PY
作为功能单体,通过理论计算,构建并优化了模板分子及功能单体的结构。对模板分子与不同比例的功能单体的进行结合能计算。为基于
3-PBA
的印迹分子设计提供了理论指导。
主要结果:
模板分子及功能单体的构型及电荷分布
模板分子
3-PBA
及功能单体
AM
、
MAA
和
PY
的构型及关键原子的自然布居分析(
Natural population analysis, NPA
)电荷分布如图
1
所示。根据原子的
NPA
电荷分布可以看出,功能单体作为氢键供体的能力大小顺序为:
MAA>AM>PY
;而作为氢键受体的能力大小顺序为:
MAA>AM>PY
。
图
1
模板分子
3-PBA
和功能单体(
AM
、
MAA
和
PY
)最低
能量
的结构,数值表示对应原子的
NPA
电荷(黄色表示
C
原子,蓝色表示
N
原子,红色表示
O
原子,白色表示
H
原子)
复合物结构优化及能量计算
表
1
给出了
3-PBA
与不同比例的功能单体之间的相互作用能。从整体上来看,随着功能单体与
3-PBA
的比例不断增加,模板分子与功能单体之间的结合能也不断增加。但当二者比例达到
1:6
时,结合能减小;而在比例为
1:4
时,三个体系的结合能均达到了最大值,表明,对于三个体系来讲,
1:4
的比例是
3-PBA
与功能单体结合最适合的比例。具体来讲,在
1:4
的比例下,
3-PBA
与
AM
、
MAA
和
PY
的结合能分别为
-104.174
、
-144.487
和
-76.482 kJ/mol
,三者大小顺序为
MAA>AM>PY
,其中
MAA
与模板分子
3-PBA之间的亲和力最强。
图
2
模板分子与功能单体的结合能
表
1 3-PBA
与
AM
、
MAA
和
PY
在不同比例下的最低能量
3-PBA
与功能单体最低结合能的构象
模板分子
3-PBA
与功能单体
AM
、
MAA
和
PY
相互作用形成的最低能量构象如图
3
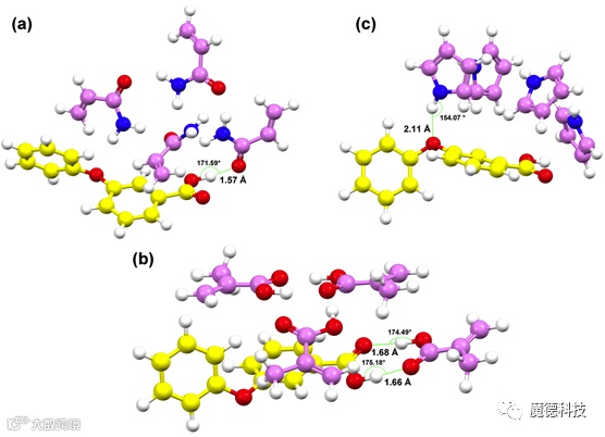
所示。整体来讲,
MAA
与
3-PBA
之间的氢键最多,亲和力最强,而与
PY
之间的氢键作用较弱,因此亲和力最弱。
图
3
模板分子
3-PBA
与功能单体在
1:4
比例下的结合模式(
a
:
3-PBA-AM
;
b
:
3-PBA-MAA
;
c
:
3-PBA-PY
;黄色和粉色分别表示
3-PBA
和功能单体中的
C
原子,红色表示
O
原子,白色表示
H
原子,绿色实线表示氢键作用,弧线表示氢键的
角度
)
FT-IR
、
XRD
等表征实验验证了磁性微球印迹成功且包裹均匀。
MNIPs
对拟除虫菊酯类杀虫剂的吸附效果无显著差异。相比之下,
MMIPs
对
II
型拟除虫菊酯的吸附高于其他拟除虫菊酯。将
MMIPs
与
GC-MS
相结合,用于人血浆中
II
型拟除虫菊酯的痕量残留测定。方法学验证表明,该方法可作为复杂生物样品中
II
型拟除虫菊酯痕量残留分析的有效检测方法。
【声明】内容源于网络
0
0
魔德科技
魔德科技目前主要提供从生物分子模拟、化学反应机理到物理材料性能模拟的全程专业技术服务,让您的研究内容更加完善,研究结果更富有影响力。公司的定制化工作站能满足分子模拟、虚拟筛选、材料研究、药物研发等方面的需求。
内容
65
粉丝
0
关注
在线咨询
魔德科技
魔德科技目前主要提供从生物分子模拟、化学反应机理到物理材料性能模拟的全程专业技术服务,让您的研究内容更加完善,研究结果更富有影响力。公司的定制化工作站能满足分子模拟、虚拟筛选、材料研究、药物研发等方面的需求。
总阅读
62
粉丝
0
内容
65
在线咨询
关注