概览
本教程旨在展示如何运用 SmartCtrl 软件,通过方程编辑器功能来设计数字控制。在本示例中,将以电压模式下的典型降压式(Buck)变换器为例,来演示 SmartCtrl 在考虑采样、调制器影响以及延迟等因素的情况下,设计数字控制的能力。在本教程中,将着重介绍几个方面的内容:
对设计数字控制时需考虑的主要因素进行简要回顾,同时展示降压式变换器的小信号离散时间模型。
介绍如何使用“方程编辑器”模块所提供的新功能,来输入离散时间下的传递函数,如被控对象、传感器以及补偿器的传递函数。
介绍实现补偿器正确设计的步骤。
本教程的结构如下:
首先,针对电压模式下降压式变换器的小信号离散时间模型,提供一个简短的理论介绍。
然后,针对从离散被控对象开始设计的情况,制定设计流程。
最后,提供一个PSIM仿真,以验证控制回路的响应情况。
文章篇幅较长,如您需要PDF版本,可在文末留下微信号以获取!
Buck变换器的小信号离散时间模型
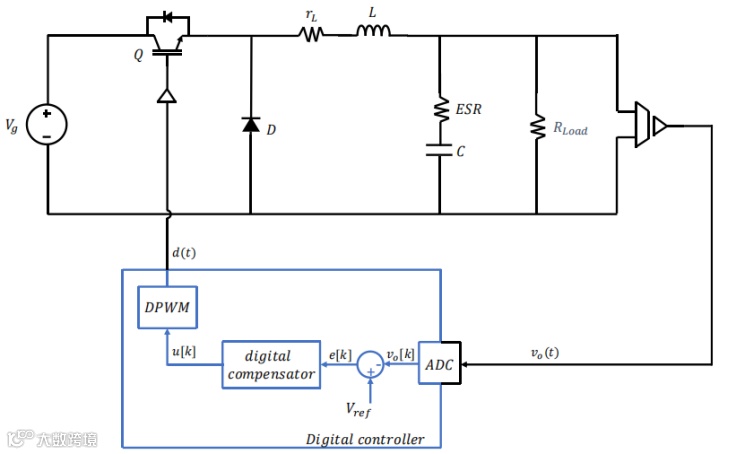
本例采用的降压式(Buck)变换器数字控制的控制结构如图 1 所示。
图 1 Buck变换器:数字电压模式控制
主要参数
Vg = 12V 直流输入电压
Vo = 3.3V 输出电压
Fsw= 250kHz 开关频率
Io= 4.125A 输出电流
输出的 LC滤波器元件参数
rL= 100µΩ 电感等效串联电阻
L = 30µH
ESR = 30mΩ 电容等效串联电阻
C = 160µF
电压传感器参数
Ks = 1,增益
HFpole = 25kHz,极点频率
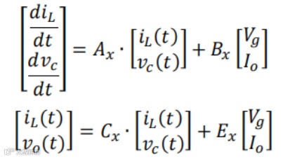
第一步是定义状态空间表达式。
当下标“x”等于 1 时,它表示“开启”状态,而 0 表示“关闭”状态,因此你会得到:
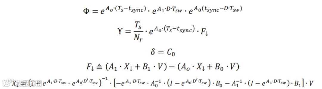
以下离散模型考虑了数字延迟和调制类型。在这个例子中,采样频率Fsamp等于开关频率Fsw。
图 2 后沿调制
tsync:信号被采样时刻与该信号被用于更新补偿器输出时刻之间的时间差。
Nr: 代表步骤数。
以下表达式使我们能够构建离散小信号矩阵:
为了运用上述表达式进行运算,有必要使用一些数学计算软件。由于控制器将使用 SmartCtrl 的“方程编辑器”来进行设计,所以无需在被控对象模型中输入数字延迟,因为 SmartCtrl 允许稍后再输入延迟。因此,我们考虑tsync=0,Nr=1。可以得到了如下的离散传递函数:
另一方面,使用标准平均建模方法得到的频域传递函数由下式给出:
现在我们来比较这两个传递函数。要同时绘制两个传递函数的图像,可进入 “工具”菜单,然后选择“方程编辑器”选项,然后输入这两个传递函数。
图 3 方程编辑器选项
重要提示:为了在方程编辑器中使用z变换,必须输入采样周期Ts。两个传递函数的脚本如图 4 所示。
图 4方程编辑器中的z变换
点击Compile按钮会打开一个对话框,在该对话框中可以输入采样周期Ts。
图 5 定义采样周期
最后,点击OK按钮。从图 6中可以观察到,离散时间下的传递函数(Gvu)的相位下降幅度比频域中定义的传递函数(Gvd)更为急剧。因此,在这个例子中,将使用离散传递函数来设计补偿器,因为这是最具限制性的情况。
图 6 使用 SmartCtrl 方程编辑器对传递函数进行的比较
使用方程编辑器进行数字控制的设计流程
首先,选择“设计通用控制系统”部分中的“方程编辑器”选项。
图 7 点击“设计一个通用控制系统”
然后,我们插入上一节中给出的离散传递函数。为了定义采样周期Ts,点击 Compile按钮,并输入开关频率。在End frequency框中,输入奈奎斯特频率,它等于开关频率的一半,如图 8 所示。
图 8 被控对象参数
点击OK后,输入传感器传递函数。在图 9 中,可以看到在使用z变换时插入系数的另一种方法。对于这个例子,我们考虑的是一个隔离式电压传感器(低通滤波器)。
图 9 传感器传递函数
图 10 中显示的采样周期,与我们在被控对象部分中定义的采样周期是相同的。如果我们想要更改参数值,可以在设计的这一部分进行更改,或者稍后再改,因为这个值会在所有部分中得到更新。
图 10 传感器(方程编辑器)
然后选择Digital选项。
图 11 Digital选项
可以选择一些预定义的补偿器,例如数字比例积分(PI)补偿器和数字比例积分微分(PID)补偿器,或者也可以选择“方程编辑器”选项,该选项允许输入补偿器的传递函数。在这个例子中,选择“方程编辑器”选项。
图 12选择方程编辑器选项
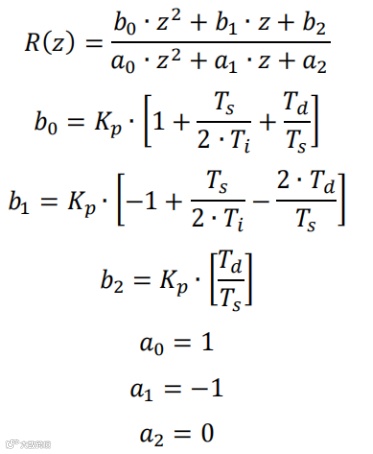
在这个例子中,将使用通过Tustin积分算子法离散化的 PID补偿器,其传递函数由下式给出:
其中:
Kp:比例增益
Ti:积分增益
Td:导数增益
图 13 补偿器部分的方程编辑器
如果点击Select parameters按钮,程序会检测数值参数,并允许通过图 14 中显示的滑块来改变这些参数。通过这种方式,可以分析参数变化时的频率响应。补偿器将在稍后进行调校。
图 14 选择“Select parameters”选项
由于在第 1 节中确定的传递函数里没有考虑数字延迟,因此在模数转换器(ADC)和数字脉冲宽度调制器(DPWM)选项中输入该数字延迟是很重要的。
图 15 选择“ADC and DPWM”选项
ADC面板参数:
Vmin: 模数转换器(ADC)能够读取的最小电压,用于计算其增益。
Vmax:模数转换器(ADC)能够读取的最大电压,用于计算其增益。
Nbits:模数转换器(ADC)用于表示模拟输入值的位数。
Fsamp:数字调节器的采样频率。
tsync:它表示信号被采样的时刻与该信号被用于更新调节器输出的时刻之间的时间差。
可以选择不同类型的载波,必须插入占空比。对于这个例子,考虑总延迟约为1微秒,采用后沿载波,且占空比等于0.275。
图 16 “ADC and DPWM” 参数
注意:如果在被控对象的离散模型中已经考虑了总延迟,那么在同步时间tsync中必须考虑取值为0。
最后,我们点击OK按钮,然后开始对控制器进行调校。利用右侧的滑块,可以像图 17 中所示的那样对补偿器进行调校。
图 17补偿器调校
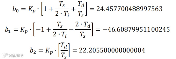
对于这个示例,已选择了3.6kHz的穿越频率和约32.5°的相位裕度。因此,得到了以下常数:
Kp=2.225
Ti=163.5µ
Td=39.92µ
图 18 补偿器参数
PSIM仿真
完成调节器的设计之后,就可以在 PSIM 中进行控制仿真。在图 19 是原理图。
图 19 PSIM原理图
根据 PID 补偿器的参数,计算出传递函数的系数。
ADC增益定义如下:
最后,在图 20 中可以看到该控制在负载扰动情况下的瞬态响应。
图 20 瞬态响应

