概览
SmartNetics是一款用于设计和分析磁性器件(电感器和变压器)的软件。
在之前的教程中,我们已经展示了如何设计专用磁性元件。在本次内容中,我们将介绍SmartNetics所能提供的另一项应用:磁性元件分析。
本教程旨在说明如何对已制造完成且许多参数未知的磁性元件进行分析。除了获取主要参数外,SmartNetics还能让用户了解该器件能否在不同条件下运行,检查其距离饱和或过热还有多大余量,甚至可以在第三方软件中对其进行仿真分析。本文篇幅较长,为了便于阅读可以在文末留下你的微信号以获取PDF版文章。
这次我们要分析一个变压器,它是为一个以前的项目制造的,相关数据完全未知。在完成特性分析后,我们将确认是否能将其用于新的项目,以及其预期性能和使用限制是什么。
图1所示的就是用于分析的变压器。
图 1 用于分析的变压器
物理测试
尽管该变压器的原始规格、用途和制造商均不得而知,但通过对其几何结构的简单检查,我们可以获取若干参数。在本次分析中,我们将要获取的参数如下:
磁芯几何结构
导线几何结构
初级线圈匝数
次级线圈层数
骨架
2.1 磁芯几何结构
首先,磁芯的几何尺寸很容易测量。
图 2 磁芯尺寸
对于该变压器,其大致的宽度、高度和长度如下:
宽度:约为100mm
高度:约为120mm
长度:约为192.5mm
根据宽度和高度,我们可以确定所使用的磁芯几何结构,并在数据库中选中它。在本例中,这些尺寸与E100/60/28型号相符,因此这是我们在数据库中唯一可以使用的磁芯几何结构(可通过配置Configuration=>数据库Databases=>磁芯几何结构Core geometry访问),如图3所示。
图 3 磁芯几何
可以看出,在数据库中我们选择了一种几何结构,其与测量的宽度(在 SmartNetics中由参数“l (m)”定义)和高度(为参数“h (m)”的2倍)相匹配,这对应于E100/60型号的磁芯。而长度比数据库中显示的(“w (m)”)大得多,这意味着存在不止一个磁芯,它们是平行堆叠的。一个E100/60/28型号磁芯的原始长度为27.5毫米,因此,在本例中,堆叠的磁芯数量为:
为避免使用其他数量,我们将在配置Configuration=>设备部件Device parts=>最小堆叠磁芯数Minimum stacked cores/最大堆叠磁芯数Maximum stacked cores下,把堆叠磁芯的最小数量和最大数量都设置为该数值,如图4所示。
图 4 最大/最小堆叠磁芯
确定磁芯几何结构后,下一步是分析导线。
2.2 导体几何结构
绕组从正面和背面都很容易接触到。如图5所示,初级线圈和次级线圈使用的是同一种导体。该导体带有一些绝缘层,这些绝缘层看起来是专门添加的,但无论如何,我们可以用卡尺测量其大致的外径。
图 5 导体直径测量
导体的外径大约为7.17mm,但由于绝缘层的厚度存在不确定性,且测量时的夹持力度也会影响结果,因此不会只选择一个选项,而是会在数据库(可通过 配置Configuration=>数据库Databases=>导体Conductors访问)中选中所有与测量值接近的导体(直径在5至8mm之间)作为可能的选项:
图 6 选择导体几何结构
2.3 初级线圈匝数
从正面看,只有外部绕组容易接触到,我们将其定义为初级绕组,如图7所示。我们可以看到它由5匝组成,每匝由3根导线并联而成。
图 7 初级绕组
这些对设计的限制可以在配置Configuration=>General通用=>参数设置Parameters set=>变压器Transformer中进行设定。只需要设定已知参数,其余参数则留空(或设为 0),因为它们仍是未知的,需要该工具来计算。
最终的配置如图8所示。
图 8 参数设置
需要注意的是,尽管实际变压器的绕组中并非严格存在3根导线垂直排列,但由于SmartNetics目前仅支持矩形排布方式,因此这种设定可作为一种合理近似。
图 9 支持的导线排布方式
2.4 次级线圈层数
次级绕组位于磁芯和初级侧之间,因此正如在图10中所看到的,我们很难接触到它。
图 10 次级绕组
虽然我们无法看到次级绕组中由多少根导线并联,但我们可以确定其是一层导线,这将有助于我们在之后排除一些组合。
2.5 骨架
同样可以看出,该变压器未使用骨架,因此我们将在SmartNetics中禁用该选项,操作路径为配置Configuration=>设备部件Device parts=>包含骨架Include bobbin,如下图所示:
图 11 不选择骨架选项
这些是可以通过物理方式测量的参数,还有一些未知参数无需拆解或损坏设备即可确定,我们将通过一些简单的电气测量来完成这项工作。
电气测量
通过使用特定的昂贵设备,能够从该设备中提取出许多参数。但为了让介绍的方法更具通用性,我们将测量极少数特性,并且使用尽可能廉价且容易获取的设备。主要测量:
匝数比
直流电阻
3.1 匝数比
在使用SmartNetics设计变压器时,唯一必须输入的参数是匝数比,其定义为初级绕组的匝数与次级绕组的匝数之比。由于我们能看到初级绕组,所以知道它是5匝,但无法通过视觉观察得知次级绕组的匝数。由于不需要知道具体的匝数,只需要匝数比,我们可以通过在初级侧注入一个小的扰动信号,然后测量次级侧的结果值来轻松确定。
有很多方法可以用很少的设备来完成这项工作,比如使用信号发生器注入纯正弦信号,然后用万用表测量次级侧的交流值。在本案例中,为了直观地展示两个绕组之间的关系,我们将使用示波器记录初级电压和次级电压,并利用其内置的信号发生器产生正弦扰动信号。连接到初级侧和次级侧的探头,以及连接到初级侧的信号发生器输出端,如图12所示。
图 12 测量装置
初级绕组(黄色)和次级绕组(橙色)的电压如图13所示。
图 13 示波器波形
根据这些信号的峰值,我们可以得出匝数比。
该数值必须在SmartNetics的第一个对话框(“Input data输入数据”)中设置,如图14所示:
图 14 匝数比设置
3.2 直流电阻
通过先进的阻抗测量,我们可以获得绕组非常详细的参数,但为了尽可能减少测量次数,并确保测量快速且成本低廉(仅使用常规设备),我们将只测量直流电阻。
初级侧的匝数少于次级侧(n < 1),且采用3根导线并联,因此我们可以认为其电阻非常小。由于我们测量低电阻值的能力有限,所以选择测量次级侧的电阻。
测量极低电阻的最经济方法是向绕组施加高电流,然后测量其电压降。这可以通过万用表和直流电压源轻松实现。
图 15 电压和电流测量
通过此次测量,可以计算出次级绕组的直流电阻。该电阻值将有助于我们确定制造该设备所使用的导线。
理想情况下,仅用直流电源本身就足以进行这些测量,但事实表明,只有电流值高到足以被其准确测量,而对于如此低的电压值,通常需要借助外部电压表。
SmartNetics配置
我们不清楚这个变压器先前的使用情况,因此也就不知道它的电流、电压、频率参数,不清楚它是否符合有限数量导线并联的要求,不清楚是否考虑了趋肤深度,甚至不清楚是否存在最高温度限制。为避免意外排除设备的真实配置,在找出能够重现该变压器真实情况的所有参数组合之前,我们将取消这些限制。
为此,我们将进行如下配置:
输入数据(Input data)
设备部件(Device parts)
模型(Models)
4.1 输入数据
由于我们不知道实际数值,因此会使用非常小的数值,以确保不会因为出现的过热或饱和问题而排除该设备。为此,分别选择振幅为1 A和1V的电流波形与电压波形(该设备的规格足够大,在这样的数值下不会出现任何问题):
图 16 电压和电流值
4.2 设备部件
为避免因某些我们不清楚在设计时是否被考虑到的限制条件而排除设备的真实情况,我们将取消其中的大部分限制。具体如下:
饱和系数Saturation factor:0.95
并联导线限制Paralleled wires limi:20(任何较大数值均可)
允许减少的n根并联导线Allow a reduction of n parallel wires:20(任何较大数值均可)
限制并联组合Limit parallel combinations:取消
窗口垂直填充系数Vertical window filling factor:0.95
窗口水平填充系数Horizontal window filling factor:0.95
初级允许的窗口比例“下限”Lower limit:0.1
初级允许的窗口比例“上限”Upper limit:0.9
扫描步数Number of sweep steps:100(任何较大数值均可)
最大组合数N Maximum N combinations:50(任何较大数值均可)
限制趋肤深度Limit skin depth:取消
限制电流密度Limit current density:取消
所应用的限制条件如图所示。
图 17 设备部件限制
4.3 模型
为避免因温度过高而排除真实设计方案,我们将停用其热计算功能,如图 18 所示。
图 18 停用热计算功能
一旦取消这些限制,我们就能得到所有可能的参数组合,这些组合能够生成与所研究变压器相似的变压器,进而找出正确的组合。
可能的设备
在设置好所有可用信息并取消限制条件后,用户可以启动设计流程,以找出能够生成与所研究变压器相似的变压器的所有可能参数组合。
要运行该设计,用户必须在“设计Design”选项下点击“开始磁设计Begin magnetic design”。运行后,数据库中所有的参数组合(包括材料、几何形状、导线排列等)将显示在下方的4个坐标轴上,如下图所示。
图 19 可能的设计(默认坐标轴)
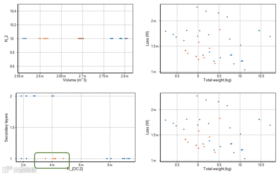
所示变量的默认配置通常适用于设计流程。然而,在这种情况下,由于有太多参数被设为特定值,因此可以选择更合适的变量。这可以通过右侧的面板来完成,在本案例中,做如下修改:
坐标轴1,Y变量:N_2
坐标轴3,X变量:RDC,2
坐标轴3,Y变量:Secondary layers
坐标轴4,X 变量:Total weight(kg)
使用新变量得出的相同结果如图20所示。
图 20 可能的设计(选择坐标轴)
现在,借助之前所做的测量,我们可以对这些设计方案进行进一步的筛选。我们测得的电阻值约为5mΩ,但这其中包含了端子和测量装置所带来的附加电阻,因此我们可以推测绕组本身的电阻会略低于这个数值。我们将筛选出所有次级绕组直流电阻在3.5mΩ到5mΩ之间的设备。此外,在进行外观检查时,我们发现次级侧导线仅有一层,所以我们只会选择符合这一情况的设备。这两个变量已被选定用于第三个坐标轴,因此我们将使用该坐标轴进行筛选,如图21所示。
图 21 可能的设计(筛选之后)
当我们将选项缩减到少数几个后,就可以进入下一个对话框 “选择Selection”进行更精细的调整。在这个新对话框中,会显示这些设备的所有细节:
图 22 选择对话框
在外观检查过程中,我们发现初级绕组和次级绕组使用的是相同的导线,因此我们只会选择“初级导线”和“次级导线”变量下数值相同的选项。
图 23 具有相同导线的设备
尽管我们尚不清楚次级绕组在垂直方向上是否有不止一根导线并联,但在外观检查中我们发现,其在水平方向上仅有一根导线。在剩余的可选方案中,只有一个符合这一规格,因此我们将选择该方案,如图 24 所示。
图 24 选择的设备
一旦确定了单个设备,用户必须点击下方的“选择设计Select design”按钮,对该特定设备进行更详细的分析。用户完成此操作后,该设备的数据将复制显示在底部,且最后一个步骤“设备Device”将被激活,如下图所示。
图 25 选择的设备(分析)
为了直观地检查所选设备与我们想要复现的设备之间的差异,用户可以进入最后一个对话框 “设备Device”,对比两者的几何结构。第一个标签页中显示了完整设备的示意图,以及制造该设备所使用的导线和铁芯,如图 26 所示。
图 26 所选设备的几何结构
通过对比前图中的设备与前面图1所示的设备可以发现,两者存在一些差异。这是由于设计空间存在限制(SmartNetics中仅支持导线的矩形平行排列,而实际设备中采用的是三角形堆叠方式),同时也因为仍存在一些不确定因素(所选导体可能并非与实际设备所用的完全一致,毕竟导体的选择几乎是无限的)。此外,为了使测量尽可能简便,我们省略了铁芯材料的选择,而这一点后续会对损耗和温度产生影响。在本教程中,我们将假设铁芯材料为铁氧体,并从数据库中任选一种。
至此,我们已经能够对一个所有参数都未知的变压器进行分析,并获取使用和复现该变压器所需的全部信息。
借助SmartNetics,我们还能做更多事情。在下一节中,我们将展示如何判断同一设备是否可重新用于另一个项目,即使该项目的电流和电压与该设备设计时的电流和电压(由于其未知)不一定匹配。
设备用途
由于现在所有参数都已明确,用户可以对这些参数进行设置,将设计范围缩小到单个设备。剩余参数可在:配置Configuration=>General通用=>参数设置Parameters set=>变压器Transformer下进行设置,如下图所示。
图 27 设备参数设置
现在,如果用户执行该设计,将会得到唯一可能的解决方案。这可以通过点击 “设计Design”选项下的 “开始磁设计Begin magnetic design”按钮查看。该唯一解决方案如图 28 所示。
图 28 唯一结果
到目前为止,我们尚未对该变压器设定使用要求。如果想将其用于我们的实际设计中,至少需要确保两点:
它不会饱和
它不会达到过高的温度
6.1 饱和
要检查它是否会饱和,我们必须输入实际的电压波形,这可以在“输入数据Input Data”中进行选择。对于我们的项目,我们需要一个±400V的方波,频率为25kHz,如图 29 所示。
图 29 目标电压
如果我们再次执行该设计,就能看到铁芯中的磁通密度纹波。为此,在“设计Design”对话框中,我们已将第3个坐标轴的变量Y改为磁通密度峰峰值(∆Bpp):
图 30 饱和度检查(坐标轴)
可以看出,纹波约为310mT,这意味着峰值约为165mT,远未达到饱和状态。具体的数值可以在下一步的“选择Selection”对话框中查看,如图31所示。
图 31 饱和度检查(值)
6.2 温度
要检查温度特性,首先我们需要在配置Configuration=>模型Models=>热模型Thermal model中重新激活热计算功能。如图32所示。
图 32 热模型
要估算实际的温度值,我们需要先估算损耗,因此需要输入该设备将要处理的实际电流。我们的目标是驱动一个峰峰值为150A的三角波电流。我们可以按照之前设置电压波形的方法,在“输入数据Input data”话框中设置这些数值。
图 33 目标电流
现在我们可以再次执行设计过程,以查看预期温度。结果如图 34 所示。
图 34 温度检查(坐标轴)
可以看出,预期最高温度在105到110℃之间,这对于该特定项目来说是可接受的。
和之前一样,具体数值可以在“选择Selection”对话框中查看。
图 35 温度检查(值)
更精细的温度分布显示在 “设备Device”对话框的 “性能Performance”标签页中,如图36所示。
图 36 温度分布
如果用户需要进一步检查结果,可以在Ansys或Flux中自动复现实际设备,分别如图37和图38所示。
图 37 Ansys输出
在 Flux 中,目前其自动导出功能仅支持电磁仿真。
图 38 Flux输出
结论
在本教程中,我们演示了如何对一个为其他项目制造的现成变压器进行分析,并提取其全部未知参数的过程。
不仅如此,借助SmartNetics的功能,用户还能验证该设备是否符合新的规格要求,从而实现设备的二次利用。此外,由于系统提供了所有可能形成有效解决方案的参数组合,用户可以优化现有设计,选择更符合新需求的导线、铁芯等组件。
同样重要的是,用户可将完整模型自动导出至第三方工具进行仿真,包括Ansys(Maxwell或IcePack)和Altair-Flux。
本示例中,为简化测量流程,我们未深入研究所使用的具体铁芯材料。实际上,用户可通过阻抗分析仪获取磁化电感信息,进而推断出铁芯材料。
本教程仅供参考,建议用户尝试多种配置,以找到最适合其特定项目的方案。请注意,本文档中的图片可能与应用程序中显示的选项及布局存在细微差异,这是由于版本更新可能带来的调整所致。

