Slide是一款功能全面的边坡稳定分析软件,能够分析所有类型的土质和岩质、天然或人工边坡、路堤、坝体、挡土墙等,能够进行水位骤降分析、参数敏感性分析和边坡失效概率分析以及支护设计。Slide软件的另一个分析功能是基于有限元法的渗流分析,可以进行稳态和瞬态渗流计算,可以独立使用,也可以与边坡稳定分析耦合使用求解水位变化的边坡稳定性问题。
Slide提供不少于17种土和岩石的强度模型,包括摩尔库伦、各向异性模型和广义霍克布朗模型等。边坡加固的支护类型包括:锚杆、端结型锚杆、土钉、桩和土工布。Slide还具备反分析功能,帮助用户确定要达到预期的安全系数所需支护力大小。
在Slide软件,用户可以定义一个或几个圆心半径搜索区域,软件会自动搜索这些区域并计算出所有有效滑移面的安全系数并给出最小安全系数及滑移面。用户可以手动定义搜索的圆心半径搜索区域,也可以让软件自动获得圆心和半径搜索区域,用户只需花极少的时间和设定就能得到可靠的计算结果。Slide软件可以根据用户的定义,搜索出圆弧、非圆弧以及复合滑移面,同时软件还支持最新的智能搜索方法,用户只需要定义几个参数,软件就可以搜索出危险滑移面,大大简化了用户的工作量。
Slide具有强大的概率分析功能——几乎所有输入的参数都可以指定为统计分布,包括材料的参数、支护的参数、荷载和水位线位置都可指定为某种统计分析,从而计算边坡的失效概率或可靠性指数,为边坡风险设计提供客观依据。参数敏感性分析帮助用户了解边坡安全系数对于哪一个参数的变化最为敏感。
典型案例
(总应力法分析库水位骤降影响边坡的安全系数)
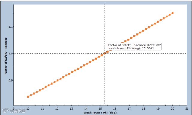
(已知安全系数反求材料的C和Phi(反演))
(Sarma 法(非竖直土条))
关于中仿
中仿智能科技(上海)股份有限公司(股票简称:中仿智能,股票代码:838476)是中国先进仿真技术高科技公司,专业级飞行模拟系统研发引领者。公司主营虚拟仿真和飞行模拟系统相关智能软硬件的开发和销售。中仿公司以自主研发软件技术为核心,以飞行器技术为基础融合虚拟现实、智能控制等先进技术打造了具有国际水平,拥有自主知识产权的飞行模拟器CNFSimulator、虚拟飞行训练系统VSIM3D和专业3D飞机多学科优化设计与飞行模拟软件CEASIOM等智能软硬件产品。公司为高端制造、科研院所、国防军队、高等教育和政府部门提供仿真智能产品及专业技术服务。
(扫一扫关注中仿官方微信)

