
1.综合所得概念和计算原则
居民个人的综合所得,以每一纳税年度的收入额减除费用六万元以及专项扣除、专项附加扣除和依法确定的其他扣除后的余额,为应纳税所得额。其中综合所得包括工资、薪金所得、劳务报酬所得、稿酬所得、特许权使用费所得。
2.先预扣预缴后汇算清缴
居民个人取得综合所得,按年计算个人所得税;有扣缴义务人的,由扣缴义务人按月或者按次预扣预缴税款;需要办理汇算清缴的,应当在取得所得的次年三月一日至六月三十日内办理汇算清缴。预扣预缴办法由国务院税务主管部门制定。
居民个人向扣缴义务人提供专项附加扣除信息的,扣缴义务人按月预扣预缴税款时应当按照规定予以扣除,不得拒绝。
3.其他事项
(1)居民个人取得工资、薪金所得时,可以向扣缴义务人提供专项附加扣除有关信息,由扣缴义务人扣缴税款时减除专项附加扣除。纳税人同时从两处以上取得工资、薪金所得,并由扣缴义务人减除专项附加扣除的,对同一专项附加扣除项目,在一个纳税年度内只能选择从一处取得的所得中减除。
居民个人取得劳务报酬所得、稿酬所得、特许权使用费所得,应当在汇算清缴时向税务机关提供有关信息,减除专项附加扣除
(2)纳税人办理汇算清缴退税或者扣缴义务人为纳税人办理汇算清缴,其中纳税人可以委托扣缴义务人或者其他单位和个人办理汇算清缴。
居民个人取得综合所得预扣预缴汇算清缴案例
【例】李先生在甲企业任职,2019年1月-12月每月在甲企业取得工资薪金收入16000元,无免税收入;每月缴纳三险一金2500元,从1月份开始享受子女教育和赡养老人专项附加扣除共计为3000元,无其他扣除。另外,2019年3月取得劳务报酬收入3000元,稿酬收入2000元,6月取得劳务报酬收入30000元,特许权使用费收入2000元。
一、工资薪金预扣预缴
依据国家税务总局公告2018年第61号规定,扣缴义务人向居民个人支付工资、薪金所得时,应当按照累计预扣法计算预扣税款,并按月办理扣缴申报,适用个人所得税预扣率表一。

具体计算公式如下:
本期应预扣预缴税额=(累计预扣预缴应纳税所得额×预扣率-速算扣除数)-累计减免税额-累计已预扣预缴税额
累计预扣预缴应纳税所得额=累计收入-累计免税收入-累计减除费用-累计专项扣除-累计专项附加扣除-累计依法确定的其他扣除
其中:累计减除费用,按照5000元/月乘以纳税人当年截至本月在本单位的任职受雇月份数计算。
注意事项:
(1)扣缴义务人在一个纳税年度内预扣预缴税款时,以纳税人在本单位截至当前月份工资薪金所得累计收入计算本期应预扣预缴税额,不考虑纳税人在其他单位的收入。
(2)预扣预缴时,计算出的累计应预扣预缴税额,再减除累计减免税额和累计已预扣预缴税额,其余额为本期应预扣预缴税额。余额为负值时,暂不退税。
(3)纳税年度终了后余额仍为负值时,由纳税人通过办理综合所得年度汇算清缴,税款多退少补。
(4)专项扣除,包括居民个人按照国家规定的范围和标准缴纳的基本养老保险、基本医疗保险、失业保险等社会保险费和住房公积金等。
(5)专项附加扣除,包括子女教育、继续教育、大病医疗、住房贷款利息或者住房租金、赡养老人等支出。
(6)其他扣除,包括个人缴付符合国家规定的企业年金、职业年金,个人购买符合国家规定的商业健康保险、税收递延型商业养老保险的支出,以及国务院规定可以扣除的其他项目。
(7)专项扣除、专项附加扣除和依法确定的其他扣除,以居民个人一个纳税年度的应纳税所得额为限额;一个纳税年度扣除不完的,不结转以后年度扣除。
(8)劳务报酬所得、稿酬所得、特许权使用费所得以收入减除百分之二十的费用后的余额为收入额。稿酬所得的收入额减按百分之七十计算。注意与预扣预缴时减除费用是有差异的。
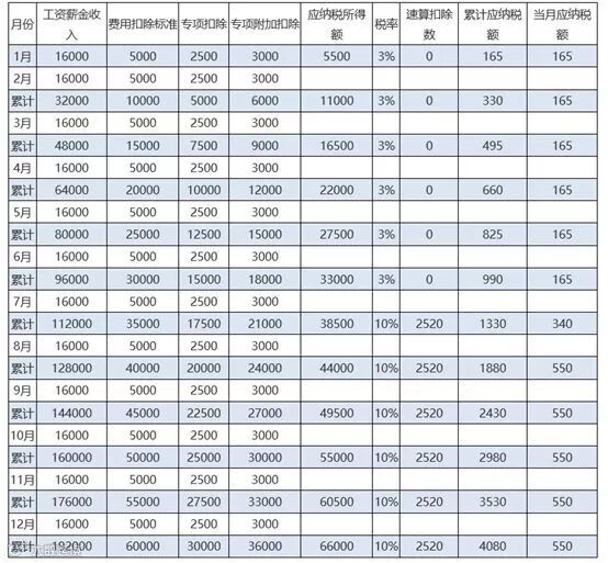
工资薪金所得预扣预缴计算过程
(1)2019年1月:
1月累计预扣预缴应纳税所得额=累计收入-累计免税收入-累计减除费用-累计专项扣除-累计专项附加扣除-累计依法确定的其他扣除=16000-5000-2500-3000=5500元,对应税率为3%。
1月应预扣预缴税额=(累计预扣预缴应纳税所得额×预扣率-速算扣除数)-累计减免税额-累计已预扣预缴税额=5500×3%=165元
2019年1月,甲企业在发放工资环节预扣预缴个人所得税165元。
(2)2019年2月:
2月累计预扣预缴应纳税所得额=累计收入-累计免税收入-累计减除费用-累计专项扣除-累计专项附加扣除-累计依法确定的其他扣除=16000×2-5000×2-2500×2-3000×2=11000元,对应税率为3%。
2月应预扣预缴税额=(累计预扣预缴应纳税所得额×预扣率-速算扣除数)-累计减免税额-累计已预扣预缴税额=11000×3%-165=165元
2019年2月,甲企业在发放工资环节预扣预缴个人所得税165元。
(3)2019年3月:
3月累计预扣预缴应纳税所得额=累计收入-累计免税收入-累计减除费用-累计专项扣除-累计专项附加扣除-累计依法确定的其他扣除=16000×3-5000×3-2500×3-3000×3=16500元,对应税率为3%。
3月应预扣预缴税额=(累计预扣预缴应纳税所得额×预扣率-速算扣除数)-累计减免税额-累计已预扣预缴税额=16500×3%-165-165=165元
2019年3月,甲企业在发放工资环节预扣预缴个人所得税165元。
按照上述方法以此类推,计算得出李先生各月个人所得税预扣预缴情况明细表
2019年1—12月工资薪金个人所得税预扣预缴计算表(单位:元)

二、劳务报酬、稿酬、特许权使用费所得的预扣预缴
依据国家税务总局公告2018年第61号规定,扣缴义务人向居民个人支付劳务报酬所得、稿酬所得、特许权使用费所得时,应当按照以下方法按次或者按月预扣预缴税款:
劳务报酬所得、稿酬所得、特许权使用费所得以收入减除费用后的余额为收入额;其中,稿酬所得的收入额减按百分之七十计算。
减除费用:预扣预缴税款时,劳务报酬所得、稿酬所得、特许权使用费所得每次收入不超过四千元的,减除费用按八百元计算;每次收入四千元以上的,减除费用按收入的百分之二十计算。
应纳税所得额:劳务报酬所得、稿酬所得、特许权使用费所得,以每次收入额为预扣预缴应纳税所得额,计算应预扣预缴税额。劳务报酬所得适用个人所得税预扣率表二,详见本文附2,稿酬所得、特许权使用费所得适用百分之二十的比例预扣率。

注意事项:
(1)劳务报酬所得、稿酬所得、特许权使用费所得,属于一次性收入的,以取得该项收入为一次;属于同一项目连续性收入的,以一个月内取得的收入为一次。
(2)居民个人办理年度综合所得汇算清缴时,应当依法计算劳务报酬所得、稿酬所得、特许权使用费所得的收入额,并入年度综合所得计算应纳税款,税款多退少补。
(3)每次减除费用区分不超过四千元和四千以上,仅仅是在预扣预缴时,与年度汇算时是不同的。
(4)居民个人取得劳务报酬所得、稿酬所得、特许权使用费所得,预扣预缴时不减除专项附加扣除,应当在汇算清缴时向税务机关提供有关信息,减除专项附加扣除。
其他综合所得(劳务报酬、稿酬、特许权使用费所得)预扣预缴个人所得税计算过程
(1)2019年3月,取得劳务报酬收入3000元,稿酬收入2000元
①劳务报酬所得预扣预缴应纳税所得额=每次收入-800元=3000-800元=2200元
劳务报酬所得预扣预缴税额=预扣预缴应纳税所得额×预扣率-速算扣除数=2200×20%-0=440元
②稿酬所得预扣预缴应纳税所得额=(每次收入-800元)×70%=(2000-800元)×70%=840元
稿酬所得预扣预缴税额=预扣预缴应纳税所得额×预扣率=840×20%=168元
李先生3月劳务报酬所得预扣预缴个人所得税440元;稿酬所得预扣预缴税额个人所得税168元。
(1)2019年6月,取得劳务报酬30000元,特许权使用费所得2000元
①劳务报酬所得预扣预缴应纳税所得额=每次收入×(1-20%)=30000×(1-20%)=24000元
劳务报酬所得预扣预缴税额=预扣预缴应纳税所得额×预扣率-速算扣除数=24000×30%-2000=5200元
②特许权使用费所得预扣预缴应纳税所得额=(每次收入-800元)=(2000-800元)=1200元
特许权使用费所得预扣预缴税额=预扣预缴应纳税所得额×预扣率=1200×20%=240元
李先生6月劳务报酬所得预扣预缴个人所得税5200元;稿酬所得预扣预缴税额个人所得税240元。
三、综合所得汇算清缴
居民个人的综合所得,以每一纳税年度的收入额减除费用六万元以及专项扣除、专项附加扣除和依法确定的其他扣除后的余额,为应纳税所得额。适用百分之三至百分之四十五的超额累进税率,详见本文附3。

(1)年收入额=工资、薪金所得收入+劳务报酬所得收入+稿酬所得收入+特许权使用费所得收入=16000×12+(3000+30000)×(1-20%)+2000×(1-20%)×70%+2000×(1-20%)=221120元
(2)综合所得应纳税所得额=年收入额-6万元-专项扣除-专项附加扣除-依法确定的其他扣除=221120-60000-(2500×12)-(3000×12)=95120元
(3)应纳税额=应纳税所得额×税率-速算扣除数=95120×10%-2520=6992元
(4)预扣预缴税额=工资、薪金所得预扣预缴税额+劳务报酬所得预扣预缴税额+稿酬所得预扣预缴税额+特许权使用费所得预扣预缴税额=4080+(440+5200)+168+240=10128元
(5)年度汇算应补退税额=应纳税额-预扣预缴税额=-3136元,
汇算清缴应退税额3136元。
-------内容来自网络
微信【扫一扫】二维码关注我们网站吧:



