点击蓝字,关注我们
发布时间:2025年12月17日
来源:辽宁省知识产权局
快速了解最新政策
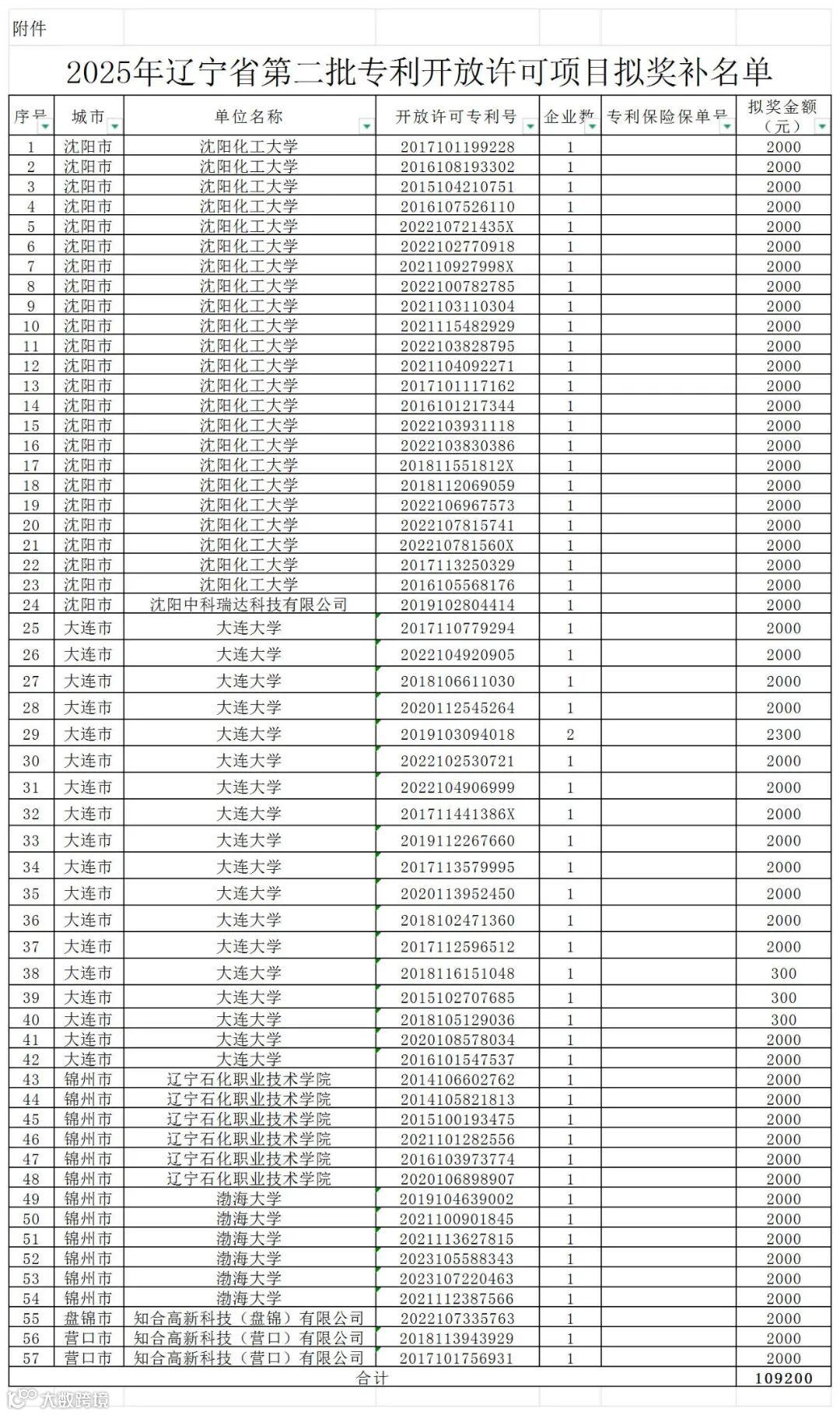
根据《关于开展专利开放许可工作的通知》《关于组织2025年辽宁省实施专利开放许可项目申报工作的通知》要求,经评审,确定7个项目申报单位的57件开放许可专利符合奖补条件(详见附件),现予以公示。公示期自2025年12月17日至2025年12月23日止。
如对公示项目有异议,请于公示期内提出。异议需采取书面形式,写明异议理由,并提供相应证明材料及联系方式等。凡匿名或超出期限异议的,均不予受理。
附件:2025年辽宁省第二批专利开放许可项目拟奖补名单
业务咨询电话:梁伟杰 024—86916031
监 督 电 话:张缘圆 024—86914931
辽宁省知识产权局
2025年12月17日
提醒各企业:项目申报找对服务机构尤为重要

