大数跨境
0
0

大雅之美:十位大数学家心中最美的公式

大雅之美:十位大数学家心中最美的公式 金融科技教育网
2022-05-16
0

来源:本文译自 

http://www.concinnitasproject.org/portfolio/,中译文曾发表于  《中国数学会通讯》2017 年第 1 期。

译者:刘云朋,天津大学理学院

校译:林开亮


大雅之美:十位大数学家心中最美的公式

牛顿法

Stephen Smale (史蒂文·斯梅尔)
上图中的表达式是牛顿法的一个数学描述。
早在牛顿之前,该思想就已经被希腊人用来寻找一个正数的平方根。自牛顿以后,该迭代式被更广泛地用来求解方程   的近似解。在我的早期数学生涯中,我为这个问题而着迷——为什么这个迭代法是如此快速和有效,它的局限性又是什么。
在   是一个多项式的特殊情况下,代数学基本定理认为方程   有解。解   可能是一个实数或者是一个虚数。在 19 世纪早期,高斯就基于一个算法,给出了上述解存在性定理的证明,该算法可以通过多次运用牛顿法来完成(他的证明里有一处逻辑跳跃)。我 1981 年的文章 “代数学基本定理和复杂性理论”(The Fundamental Theorem of Algebra and Complexity Theory)就基于牛顿方法,并与高斯的想法相关。
在计算机科学中,计算理论的中心问题是讨论算法的计算复杂度;在该理论中,如果某个问题可解,意味着存在一个计算机算法能够对此问题进行求解。而且,执行该算法所花费的总指令的数目是算法输入大小的多项式函数。一方面,我通过从计算机学科所讨论的这个问题获得灵感。另一方面,我发现,牛顿法的复杂性分析并且依赖于算法复杂度的计算形式。
在上面提到的文章中,我利用了算术运算的频次,而不是计算机指令执行的频次,来计算算法的复杂度。此外,数值分析中 “条件数” 的概念,在我根据计算复杂度理论进行代数学基本定理研究时,扮演了重要角色。我在对复杂度的新观点下,展现了给定问题的可解性。
寻找一个多项式零点的问题,可以自然地推广到一个多项式方程组求解问题。在处理这个扩展问题时,迈克·沙勃(Mike Shub)与我合作发表了系列论文,我们称之为 “贝祖定理的复杂性”(Complexity of Bezout's Theorem)。我们的目标是,通过找到一种能在多项式时间内求出近似解的算法,使该问题可解。但我们的这项努力以失败告终,直到今天它仍然是一个重要的公开问题。然而,彼得·比尔吉斯尔(Peter Burgisser)和菲利普·卡克(Felipe Cucker)最近发表于《数学年刊》(Annals ofMathematics)的文章,已经很接近该问题的解。研究中,他们参考了卡洛斯·贝尔特兰(Carlos Beltran)和路易斯·帕尔多(Luis Pardo)的研究思路,同时牛顿法在他们的工作中无疑发挥了重要作用。
兰诺·布莱姆(Lenore Blum)加入了迈克·沙勃和我的团队,我们一起将计算机科学的图灵机一般化,给予零点寻找研究以基本支持。我们的三人项目的相关实数算法已根植于多项式时间,NP - 完全性,可解性的环境,并且这一切非常有意义。最终,菲利普·卡克与我们合作撰写了《复杂性与实计算》(Complexity and Real Computation)。其中的参考文献之一是我著作集第 3 卷的第 650 页。
约翰·济慈(John Keats)写道,“美即真,真即美……”他还写道 “美的事物永远是赏心悦目的。” 我在此补充一点,美是简洁和深刻的。我希望,我的几句话会使你相信,牛顿法是大美的体现。
译者:崔继峰,内蒙古工业大学理学院
校译:贾挺杰,邵美悦

安培定律

Simon Donaldson
我的很多研究工作涉及到微分几何中和数学物理相关的一些课题与四维空间拓扑的交叉。黑板上的内容想部分地通过与三维空间的类比,阐明这其中的一些想法。
图示的主题是电磁学的安培定律,这图大概和读者在标准物理课本中所见类似。左上用粗体黑线表示电流   流过一个封闭线圈。小的箭头则表示电流所产生的磁场  。在二维这对应于将铁屑散落在一张纸上所形成的图样。磁场在每点都有定义,因此我们应该想象每一点都有一个小箭头表示磁场,只不过在图示时我们只画出一些作示意。用普通的语言陈述左图这个基本的物理现象就是,电流产生的磁场方向 “环绕” 线圈,安培定律则对此给出了一个精确的定量刻画。
向量场这个概念,比如磁场(或者电流,看作被局限为沿着线圈),是 19 世纪早期数学物理中一个非常重要的观念进展。它为描述电、磁、重力等提供了一个统一的框架。这其中有一个重要的概念是向量场通过某一曲面的通量。数学上,这个定义由曲面积分给出;而直观上,可以把向量场想象成某个流体在每点的流速,那么通量就是流体流过该曲面的流速。
安培定律的 “积分形式”可表述为:由电流产生的磁场绕一曲面的边界曲线的环量等于电流通过该曲面的通量。黑板中心横穿线圈的小圆盘给出了这样一个曲面的示意。安培定律的 “微分形式” 就是黑板右下方的一组方程:电流在空间   坐标下的三个分量可以分别表为磁场在空间   坐标下的三个分量的导数组合。
这个黑板试图传达我认为数学中一些非常美妙的方面。左边是一些图片和文字,右边是一组方程。他们是同一个事物的不同描述,引发不同角度的理解:图形的和符号的。更进一步,这个图示代表一个具体的物体——真实世界中的一个带电流的铜线圈。数学家画同样的示意图,但是它可以不仅仅代表一个在三维空间中的一维线圈。通过想象,它也可以代表一个在七维空间中的三维对象,甚至是在无穷维空间中的对象。这种从我们物理直觉到抽象情形的拓展具有显著的有效性。在头脑中这种直觉的,图形的,符号的和抽象的交互思维非常美妙且令人愉悦。
所有这些和拓扑学(一种研究对象在连续形变下保持不变的性质的学科)又有什么关系呢?示意图中,打结的闭合线圈暗示着这种联系。一个扭结就是一个封闭线圈但你无法通过连续形变(即不允许剪开和粘合)把它变为标准的圆圈。这是一种我们凭经验可以理解但在数学上不容易精确阐明的概念。很容易想见,这样的扭结可以有任意的复杂度,致使拓扑学变得相当微妙。具体来说,存在一种扭结到四维空间的联系:扭结自身暗含了如何按一定的方式将标准四维空间构建粘合成一个新的四维空间的信息。
黑板所示当然更多地侧重于思想而非背后精确的数学。它想传递的思想是,研究一个扭结闭合电路产生的磁场是和扭结以及四维空间的拓扑有关联的。在过去的三十年间,确有许许多多契合这种思想的研究进展,尽管他们细节不尽相同。例如这些发展涉及到将电磁场论推广到 “杨-米尔斯场”,以及和量子力学、量子场论建立联系。这一点用左下角的磁场通过一个小圆盘的通量来示意。这个量在经典的电磁学中没有什么意义(就作者所知),但在磁场与电子的“波函数” 相互作用的量子理论里是核心。
三维和四维有什么特殊之处呢?这在拓扑学中是个深刻的问题。结果表明,维数大于 4 的空间在许多方面都更容易理解。我们甚至无需搞清楚问题的具体含义,就可以通过所展示的方程式来体会三维的特殊性。右边后两个方程可以由循环重排三个坐标   依次得到。这件事依赖于   中恰有三个对: 。我们可以把电磁学形式地推广到高维,这样磁场就不再是一个向量场,而是一个更复杂的对象。三维的特殊性就在于,磁场和电场同样都是向量场。四维中有类似的推广,也是基于四维特殊的拓扑性质。从本质上理解这些是一个极具吸引力的问题,而我们目前大概也只是看到了最终真理的一些影子罢了。在这里,我们还从中发现了数学的另一个美妙所在:不同领域之间产生的令人惊讶而神秘的联系,以及那些交织在那些看似简单并充分理解中的完全未知。
译者:来米加,上海交通大学数学科学学院
校译:林开亮

指标定理

Sir Michael Atiyah
数学既是一门艺术,也是一门科学,而美在其中扮演至关重要的角色,这是数学家众所周知的事实。伟大的德国数学家外尔(Hermann Weyl)是我心目中的一个英雄。他说:“我的工作总是试图将真和美统一起来,如果我必须做出抉择,我常常选择美。” 我觉得他讲得非常好。
数学是最精准的科学,它致力于发现真理,外尔的话貌似有些荒诞,甚至带有挑衅的感觉——好像只是一句半开玩笑的话。但是我相信,外尔讲这句话的时候是非常认真的。在外尔的话中有一个明显的悖论,我们寻求客观真理,可是任何时候,真理都是不确定的,是暂时的。然而美是一种主观体验, “情人眼里出西施”,我们相信美是指引我们找到真理的光。
何为数学之美?是否与艺术之美、音乐之美、诗歌之美类似?维尔斯特拉斯(Karl Weierstrass)表面上是一个严肃的分析学家,他却曾经说过:“如果没有一颗诗人般的灵魂,就不可能成为完全的数学家。”
这样的表达对门外汉而言是难以理解的,然而我也曾经说过,著名的欧拉公式 π 极其简洁且极具深度,无异于哈姆雷特的著名问题,“活下去还是不活……”
也许最可与数学比肩的一种艺术形式就是建筑了,其中有充满精美细节的宏观视野,实体基础和功能效用都是其本质组成。
我选择这样一个方程来阐释我自己的工作美妙之处,它宏伟壮观,它历史源远流长,它与数学的许多分支有多重联系,包括:拓扑,几何,分析。但是其表述之精巧细节,其简洁性使人们忽略了掩于其中的深度,只有真正领会的学者方能明白。
就像一座有三层塔的建筑,这个方程有三项,这三项分属数学的不同部分,却以一种惊人的方式联系在一起。就像伟大的建筑学家一样,它也有自己的特征,可以追根溯源至很久以前,展现了当今最先进的技术,同时又指向未来。
这个方程的前身与许多历史上主流问题都有联系:欧拉的柯尼斯堡七桥问题,黎曼素数计数以及高斯测地。这些故事充满诗意,但是未来与历史同样重要。许多主流分支已经消失,只有少数流传至今。
大约四十年前,我发现了这个方程,自那时起,人们就发现它在基础物理中有让人意想不到的令人神魂颠倒的应用,这一点外尔应该是理解的,并且会很欣赏。事实上,其中许多关键的想法都可以追溯到外尔本人的工作。
最后,就我个人而言,我用此方程与我的同事进行了广泛合作:波恩的赫兹布鲁赫(Fritz Hirzebruch),哈佛的博特(Raoul Bott),MIT(麻省理工学院)的辛格(Is Singer)和孟买的帕托迪(Vijay Patodi)。像许多天才诗人一样,帕托迪也英年早逝。
美是一种人生体验,最美不过与朋友共赏。
译者:邵红亮,重庆大学数学与统计学院
校译:林开亮

Ree 群公式

Enrico Bombieri1
数学中存在美吗?这个问题关心的是数学对象及其关系,可被验证的证明即真正的数学对象。数学家通常会赞同,在定理和证明的结构之中的确存在着美,即便大多数时候这种美只有数学家自己才能看得到。
群的概念漂亮地表达了数学中的对称。群是什么?考虑任意一个对象,不论它是具体的还是抽象的。该对象的一个对称——数学的行话叫自同构——就是该对象到自身的一个保持它的所有性质的映射。两个对称的乘积,即两个映射的复合,仍然是一个对称,而且每个对称都有一个倒过来的逆。数学家认为连续的 Lie 群——譬如圆周或球面的旋转群——是很大一部分数学和物理的漂亮基础。除了连续的 Lie 群,还有不连续的有限群和离散群;有一些是通过将 Lie 群约化到一个有限或离散的框架下得到的。
群可以极其复杂。给定一个群,也许会出现这样的情况,存在从该群到另一个群的一个保持乘积结构的映射。一个群称为单群,如果这样一个映射的像要么是该群的一个复本要么是只有一个元素(恒同映射)的平凡群。单群是构建所有群的基本积木,因此在研究任意群时,知道所有的单群非常重要。对称的一般有限群首次出现在 Évariste Galois 关于代数方程的工作中。Galois 在 18 岁时就证明了五次一般代数方程不可通过代数操作求解,其论证要点是,作用在 5 个字母   上的偶置换(即由偶数个对换相乘得到的置换)群是单群。这个群是最小的非交换的单群,同时也是正二十面体的对称群。正二十面体是一个非常漂亮的几何对象!可以想见,单群可以描述为一些特殊几何对象的对称群。然而,研究一个抽象化、假设出的单群,其困难恰恰包含了从其内蕴性质构造出一个丰富的几何对象。迄今为止,罗列出所有有限单群的分类定理的完全证明占据 3000 多页篇幅,汇聚了一百多位数学家近四十年的努力。
源自 Lie 群的有限单群系列很容易就发现了,只有三个例外。这些系列不是来自实数或复数,而是来自特征为   的有限域,这里   是一个素数。在特征为   的有限域里,仍然可以做普通的算术,不过,一个数用   去乘总是得到  。一切都很顺利,即便可能没那么容易,除了数学家 Ree 的发现——特征 2 下的 Lie 群   和   和特征 3 下的   也存在额外的对称,它们可以得到新的单群系列,今天我们称之为 twisted Ree 群——留下的问题:twisted  群及其唯一性之前由 Suzuki 通过完全不同的方法得到,  情形的唯一性也得到了,但   情形则难以捉摸。
经过 Thompson 的艰苦努力, 的唯一性问题归结为,证明特征为 3 的有限域上的某个满足一组极其复杂的多元方程组的变换  ,具有性质其平方  作用于   如同  ,换言之  。不幸的是,消元法的普通代数操作很快就会给出项数是如此之多的等式,以至于全世界所有的计算机合在一起都无法存储下来。怎么办?早在 1973 年,Thompson 就引发了我对这个问题的兴趣,但我迷失在公式的迷宫里。1979 年,当有限单群的分类工作达到高潮时,我再一次考察了 Thompson 的等式。我自问:是否有必要写下这些 “不可能” 的公式,也许有办法可以绕开。利用一个奇妙的技巧,可以发现,通过消元能够提取到一点点有用的额外信息,再度利用那一技巧重新消元并结合新的信息,额外的信息可以精细化。重复这个精细化过程三次,就得到了所需要的等式  ,除了极少数情形需要用计算机验证。因此,唯一性的问题解决了,另一项技巧也添加到有限单群分类的证明中。2
这个等式是用白色粉笔写在暗蓝灰色的黑板上,左边是 Thompson 的等式,双箭头指向  ,意指左边的等式蕴含了 twisted Ree 群的唯一性。问题很漂亮,而所期待的解答也很简单,因而优美,Thompson 等式具有内在隐秘的美,因为它反映了一个群的性质。对专家来说,避开蛮力而得到的解答也具有其自身的美。事实上,数学家在追寻其真理时——有时是自动地——以寻求美为向导。正如诗人济慈(Keats)所说,美即真,真即美。
译者:林开亮,西北农林科技大学理学院

MacDonald 等式

Freeman Dyson
MacDonald 等式是我最美妙的发现。它属于数论,这是数学中最无用和最古老的分支。我的朋友 Ian MacDonald 享受了第一个发现它的快乐,而我作为第二个发现者享有几乎同等程度的快乐。我们的女儿在同一班上小学,因此我们谈论我们的女儿而不谈数学。我们发现了 函数满足的一个方程, 函数是 32 岁英年早逝的印度天才数学家 Srinivassa Ramanujan 最后四年里探究的课题。这里我写下 函数的 MacDonald 等式。
MacDonald 等式具有神奇的五重对称性,这一点逃过了 Ramanujan 的法眼。在等式的右边,有十个乘在一起的差,此即五重对称性。我们要感激 Ramanujan,不仅感激他所发现的许多美妙的东西,还有他留给后人发现的其它美妙的东西。
为解释 MacDonald 等式的意义,我们来查考一下最简单的三种情况, . 求和取遍所有满足条件  且  的整数  . 而 “ ” 的条件意味着,  是被 5 除余 1 的数, 是被 5 除余 2 的数, 是被 5 除余 3 数, 是被 5除余 4 的数, 是被 5 除余 0(整除)的数。而等式中的惊叹号含义是 。因此,当   时, 只有唯一取值 1,2,−2,−1,0,根据 MacDonald 等式,我们得到  . 当   时, 只有唯一取值 1,−3,3,−1,0,我们得到  .当   时, 有两种取值 1,−3,−2,4,0和 −4,2,3,−1,0,我们得到  .容易验证, 的这三个值与 Ramanujan 等式给出的值一致。
MacDonald 等式是 Ian MacDonald 发现的存在于两种对称之间的更深刻联系的一个特殊情况。这两种对称我们分别称为模对称与仿射对称,它们最初在科学的不同部分被发现,模对称来自数学,仿射对称来自物理。每个人都可以通过欣赏艺术家 Mauritz Escher 画中飞翔的天使与魔鬼而看到模对称的展示。Escher 懂得数学,准确掌握了细节。仿射对称则体现于物理学家用高能加速器创造的粒子的稀有组合中。数学家 Robert Langlands 第一个猜测出这些对称与其它类型的对称之间的联系。Ian MacDonald 在实现 Langlands 的梦想方向上迈出了一大步。我在这里所写下的等式仅仅是 MacDonald 那一大步留下的一点印记。
译者:林开亮,西北农林科技大学理学院

P?=NP

Richard M.Karp3
计算复杂度理论是理论计算机科学的一个分支,它主要关心机器计算效率的极限。计算复杂度理论主要研究需要大量的计算步骤来求解的问题。这些问题的输入和输出取自有限字母表中的字符串;输入的长度不受限制。研究一个计算问题的核心是将其所需的计算步骤表达为以输入的长度为自变量的函数。
有些计算问题的步数的增长速度非常快。以独立集问题为例。该问题中图是由一些点和线构成的对象,其中点称之为顶点,线称之为边。对于一个给定的图,如果某个由其部分顶点构成的集合中不存在有边相连的两个顶点,我们称这个顶点集是独立的。独立集问题即给定一个图和一个正整数  ,判定这个图是否包含大小为   的独立集。所有已知的解决独立集问题的算法都有 “组合爆炸” 现象,即所需要的计算步数以图的大小的指数级函数增长。另一方面,给定的顶点集是否是给定图的独立集却很容易检查。有很多问题都有这样的二分性:即很难判定一个给定结构类型是否存在(存在性问题),却很容易判定给定的结构是否为所求的类型(验证性问题)。
解决存在性问题比解决其对应的验证性问题困难是一个共识。例如,似乎很难决定一个拼图是否可解。但是给定拼图块的顺序,很容易验证其是否为一解。同样,数独问题似乎很难解,但是很容易验证给定的解。计算复杂度理论中给出了 P 和 NP 的精确定义:P 问题是容易解决的存在性问题类,而 NP 问题 是容易验证解的存在性问题类。人们一般认为验证解比给出解要容易,因此似乎 NP 类真包含 P 类。但是这个论断还没有证明。P=NP 是否成立是理论计算机领域核心的未解决问题4,并且是所有数学分支中最难的问题之一5,因其难解而闻名于世。
1972 年我在一篇题为 “组合问题之间的互约性” 的文章中提出了一种数学技术,用它能证明成千上万个从数学、科学、工程、商业和日常生活中产生的计算问题是等价的。这里等价是指其中一个问题的有效的算法能生成其他所有 NP 问题的有效算法,因此如果 P=NP,则问题完全解决,相反,如果 P 不等于 NP,那么这些问题都不容易解决。这类问题被称为 NP 完全问题。NP 完全是一个广泛发生的现象,大多数应用中产生的组合问题属于 NP 完全类,因此,它们极有可能很难解决。
我提出的这一数学技术源于多伦多大学的 Stephen Cook 在 1971 年的一篇文章,这篇文章中证明了一个特定的问题,即命题逻辑中的限制性满足问题(记为 Sat)是 NP 完全的。他证明了任何 NP 类中的问题可以有效规约到 Sat,即对于任意 NP 问题 A,存在一个有效算法可以把 A 中的任何实例转化成一个 Sat 中等价的实例。因此,如果 Sat 容易解决,则每一个 NP 问题都容易解决。差不多同时,当时在苏联,现在是波士顿大学教授的 Leonid Levin 也证明了一个类似的结果。
在一篇 1972 年的文章中,我用有效规约树来证明 21 个经典问题是 NP 完全的,从而证实了 NP 完全问题的普遍存在。主题图通过规约树展示了其中的 13 个问题之间的规约。规约树的每一个的节点上标记一个 NP 问题,每一条边表明上面的问题可以有效规约到下面的问题,要是下面的问题容易解决,则上面的问题也容易。如果这棵树上的所有问题都是容易解决的,那么 Sat 问题就是容易解决的,因此,由 Cook 的开创性结果可知,任何 NP 类中的问题都是容易解决的。
复杂度理论学家中比较盛行(并非全体接受)的看法是,P 不等于 NP,但是目前还没有证明或者反证。也许某些聪明的年轻人受这篇论文的启发,会找到攻克 N 和 NP 难题的办法。
数学之美存在于多个层面:在对称而精妙的数学曲线中、在曲面和组合结构中,也在逻辑微妙的数学证明中,抑或,如 NP 完全一例中,发现隐藏在看似无关的数学现象背后的单一准则,也美妙非凡。
译者:龙旸靖,上海交通大学数学科学学院

守恒律

Peter Lax
守恒律是指某物理量 (如质量、动量、能量等) 在任何区域中的总量的增长率都等于单位时间内从该区域的边界流入的或者产生的这种物理量的多少。这个思想因其基本而美。一旦将其细节具体化 ,就会得到很多不同的现象。支配流体的流的定律就是守恒律。
守恒律是理解冲击波的关键。我于 1945 年在部队的时候开始接触冲击波。当时我被派去 Los Alamos 参与(美国)原子弹计划,而没有去太平洋参与入侵日本,因为原子弹免去了入侵日本的必要。原子弹不能通过试错的办法来制造,所以算出炸弹引爆时产生的流极其重要。Von Neumann 意识到这种计算非依赖计算机不可,这是他支持计算机的最初动力。当然他也意识到计算机在设计原子武器外的其他方面的重要性。
Von Neumann 在数值计算中把冲击波看作流体的一部分,而非其边界,这是一个美妙而原创的想法。这样处理带有冲击波的流既有力又简单。许多人不知道,Von Neumann 不仅仅是 20 世纪的理论数学家,而且是一位顶尖的应用数学家。
译者:龙旸靖,上海交通大学数学科学学院
校译:刘云朋

13?

大卫·芒福德6
数学家们一大部分的工作是在研究那些经推理而得的 “对象”,使其变得像我们日常生活一样真实,虽然它们远非实物一样地存在。柏拉图7正多面体在高维情形的推广是相对简单的例子。人们希望能在高迪8主持修建的圣家族大教堂9的某个尖顶上放置正二十面体,这的确是可真实触碰的对象。但数学家们一致认为,空间的维数可以超越 3,19 世纪数学家施莱夫利10发现了柏拉图多面体在四维情形下的推广。对此,我们只能想象。记   是亏格   的光滑射影曲线的模空间,很长时间里,我的关注点一直在于:如何很好地理解其结构。在我的学生时代,即便以数学家所谓清晰的标准来看,这类空间似乎依旧笼罩在烟雾之中,它们是一种介于成熟数学和幻象之间的存在。我曾尝试改变这种状况。
与此同时,亚历山大·格罗滕迪克11横空出世。他有着前人从未具有的高度抽象的思维能力,并对人们尚未理解的具体问题予以启发。事实证明:他深刻的结果可以应用于我长期困扰的空间结构问题。而那时的我却不知该如何利用。这些结果的强大之处在 20 年后才变得明显起来:通过与乔·哈里斯12合作,我们终于能够将   看作真实的对象(借助标准术语,它是一个拟射影代数簇)。
这个公式意味着什么?它优美在何处?它表明:两个对象(“线丛”)本质相同(“同构”)。等式左边的对象决定  的几何。追溯至高斯13,人们就已经知道空间可大致分为三种:像平面一样的平坦空间;像球面一样的正曲率空间;以及像马鞍面一样的负曲率空间(曲面上三角形内角和小于 180°)。等式左边决定了   在上述三分法中的位置;博特14将等式右边称为 “重言” 结构:完全由 决定的基本对象。上述同构表明,在  充分大的条件下, 是负曲率空间。
上述公式最让人震惊的地方是数字 13。翻阅数学杂志,你会发现,除页码外,论文中一般不会出现大于 2 的数字。此处出现的 13 在计数问题的悠久历史中拥有显赫家世,另外一个关于计数问题的例子是一个 3 次曲面上恰好有 27 条直线(包括复直线)。就此而言,我始终觉得造物主在跟我们开玩笑。
译者:陈见柯,中国传媒大学
校译:林开亮

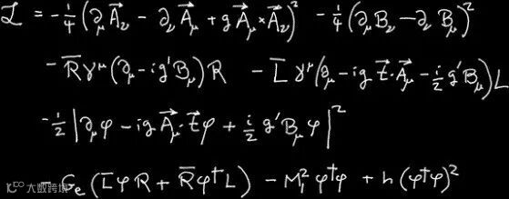
电弱理论的拉格朗日密度

Steven Weinberg
这是方程的原始版本,后来成了自然界两种基本的力——电磁力与弱核力——的标准理论。弱核力尽管不像电磁力那么常见,却产生一种重要的放射性( 衰变)以及核反应链的第一步(太阳和其它恒星赖此发热)。我在这方面的第一篇论文发表于 1967 年,其中的 (4) 式就是这个方程。它在那几年是基本粒子物理领域发表的论文中引用最多的,也许现在仍然如此。
电弱理论是一种场论,它的基本成分是场,其中也包括电场和磁场。方程左侧的由场及场的变化率组合而成,称为此理论的拉格朗日密度。拉格朗日密度是像能量密度那样的东西,根据物理学家从二十世纪三十年代就开始使用的规则,理论中各种场所遵循的方程都方便地蕴含在拉格朗日密度之中。
方程右边的大部分符号是理论中的各种场。弱力和电磁力由和   传递,电场和磁场是和   的组合。中微子和左手电子场(该场描述的电子,其自旋对运动方向的环绕与左手四指弯曲时对拇指的环绕方向一致)合在一起用   表示。右手的电子场用   表示。  和   是数值常数,与电子的荷有关,其值只能从实验得到。
方程的第三、四行描述了理论中中微子和左手电子之间、弱力和电磁力之间的对称性破缺机制。符号表示某四分量的场,它与其它场相互作用,从而赋予电子质量而使中微子仍无质量,赋予传递弱相互作用的三种粒子质量而使光子(光的粒子)仍无质量。余下的常数   与电子的质量、弱力的强度有关。场的四分量之一对应某种新的粒子,到 2012 年实验上才见到它的踪影。
这个方程可能看似不大美,它美在浑然天成——给定成分后,其结构可由数学的自洽条件很好地确定下来。略去一行,甚或只把一个负号改成正号,都会让整体不再自洽。
方程从简,略去了缪子(一种像电子而更重的粒子)和相应的中微子。显然,可以类比电子及其中微子把它们包含进来。
1971 年,此理论进而把夸克(构成质子和中子的基本粒子)也包含进来,之后不断得到实验的验证。
译者:刘云朋,天津大学理学院
校译:林开亮

严格保持的色 SU3 对称群

Murray Gell-Mann

1932 年发现中子,人们开始认识到原子核由中子和质子构成。再向它们内部看去,可以发现每个中子和质子都由三个夸克构成——粗略地说,每种 “色” 一个 †。正是色力把夸克束缚在一起,形成中子和质子。作为变量,色有三个不同的取值,俗称 “红”、“绿”、“蓝”。带“色” 的物质受到禁闭,无法彼此脱离而单独探测。在三种色互相转换的色   变换群下,物理理论完美地对称。
这里的表达式给出 “量子色动力学(QCD)” 的拉格朗日密度,它用数学表达式概括了强相互作用的动力学。强相互作用同引力、弱力、电磁力一样,都是自然界中基本的力。此表达式美在寓真实于其中。它还美在简洁,不过是做了一点清理之后的简洁。这里有三项,前两项、分别包含胶子、夸克的贡献(场),包含 “附加” 项,其中部分的场最终预言了近期才发现的希格斯玻色子。
追忆往昔,我与诸同事获得这个公式,并非灵光乍现,而是厚积薄发。这公式不仅总结了大自然的一个真理,还凝聚着日积月累的大量艰苦工作。它的每一项都荟萃了数年研究发现的精华。随着时间推移,我和其他人清楚了要把哪些项包含其中。(我想补充一点,我们在以有点与众不同的方式考虑强相互作用。)我们本可以在中间任何一步停下来,把更多的东西丢给 “附加” 项,但这个公式感觉很好,它很完整,满足 群所要求的对称性条件。这条件也让我们无法涉足当时尚未完全探索的领域。所以,它尽管真实,在某种意义下却并非终极真理,总有更多的细节可以补充进去——除了希格斯,还有多种标量场,我们知道其存在,却不清楚如何正确描述——从而有更多的东西尚待发现,这也是一种美。

谢谢Sarah Jones Nelson。

  • Bombieri, Enrico. "Thompson's Problem ().." Inventiones mathematicae 58 (1980): 77-100.

  • 作者 Richard M. Karp 是美国著名计算机科学家,1985 年图灵奖获得者。个人主页:http://www.eecs.berkeley.edu/Faculty/Homepages/karp.html

  • 原文为 open question, 在数学上也译为 “公开问题” 或者“开放问题”。有公开征集解的含义。

  • 理论计算机领域被认为是数学领域的一个分支。

  • 大卫·芒福德,David Mumford,1937 年—— ,美国数学家。

  • 柏拉图,Plato,约公元前 427 年——公元前 347 年,古希腊哲学家。

  • 安东尼·高迪,Antoni Gaudí,1852 年——1926 年,西班牙建筑师。

  • 圣家族大教堂(加泰罗尼亚语:Basílica i Temple Expiatori de la Sagrada Família),又译作神圣家族大教堂,简称圣家堂(Sagrada Família),是位于西班牙加泰罗尼亚巴塞罗那的一座罗马天主教大型教堂,始建后由西班牙建筑师安东尼·高迪接手设计与建设。

  • 路德维希·施莱夫利,Ludwig Schläfli,1814 年——1895 年,瑞士数学家。

  • 亚历山大·格罗滕迪克,Alexander Grothendieck,1928 年——2014 年,法国数学家。

  • 乔·哈里斯:Joe Harris,1951 年——,美国数学家。

  • 卡尔·弗里德里希·高斯:Carl Friedrich Gauss,1777 年——1855 年,德国数学家。

  • 拉乌尔·博特:Raoul Bott,1923 年——2005 年,匈牙利裔美国数学家。


转自:人工智能学家

声明:此公号(ID:Fintech_Education)发布内容和图片的目的在于传播更多信息,版权归原作者所有,不为商业用途,如有侵犯,敬请作者与我们联系。



【声明】内容源于网络
0
0
金融科技教育网
金融科技教育网主要关注如下内容:金融科技人才培养(认证课程、公开课、行业论坛、番钛客大赛、人才对接);内容(学术前沿、创新技术)行业(金融科技、银行科技、保险科技等);技术(人工智能、大数据、区块链、云计算、5G、物联网等)。
内容 883
粉丝 0
金融科技教育网 金融科技教育网主要关注如下内容:金融科技人才培养(认证课程、公开课、行业论坛、番钛客大赛、人才对接);内容(学术前沿、创新技术)行业(金融科技、银行科技、保险科技等);技术(人工智能、大数据、区块链、云计算、5G、物联网等)。
总阅读513
粉丝0
内容883