搜索
首页
大数快讯
大数活动
服务超市
文章专题
出海平台
流量密码
出海蓝图
产业赛道
物流仓储
跨境支付
选品策略
实操手册
报告
跨企查
百科
导航
知识体系
工具箱
更多
找货源
跨境招聘
DeepSeek
首页
>
策略周刊:降准释放长期资金约5000亿元!74.48亿北向资金本周跑步入场,下周长阳行情可期?
>
0
0
策略周刊:降准释放长期资金约5000亿元!74.48亿北向资金本周跑步入场,下周长阳行情可期?
国泰海通君弘智投
2022-11-27
1
导读:低吸优质蓝筹,短线关注新能源
投顾观点
——
本周市场沪强深弱,全周上证指数上涨
0.14%
,沪深
300
、创业板、科创
50
等指数下跌
0.68%
、
3.36%
、
3.1%
。从资金流向来看,两市周成交量比上周下降了近两成,北上资金净流入
74.52
亿元,其中沪股通资金净流入
112.19
亿元,深股通资金净流出
37.71
亿元。板块方面,建筑、煤炭、电信运营等板块涨幅居前,互联网、酒店餐饮、旅游等板块表现不佳。
本周五,人力资源社会保障部宣布个人养老金制度启动实施,在
北京
、
上海
、
广州
、
西安
、
成都
等36个城市先行。投资者年缴纳上限12000元,缴费即可享受税费优惠,可购买包括储蓄存款、
理财
产品、商业养老
保险
和公募
基金
等。基于我国庞大的从业人员数量,未来个人养老金将会达到万亿规模。
从国内制度设计和国外经验来看,个人养老金会有部分投向公募基金,为证券市场带来长期稳定的资金,有益于优化资本市场结构,促进市场长期稳定健康发展。
后市展望,上周我们提出“短期来看,市场继续大幅上涨的可能性略小,更有可能继续以震荡为主”,市场表现符合预期。本周政策面上利好消息不断,对相关板块形成了有力支撑。比如在房地产纾困政策逐步落地、国常会部署央行降准工作、个人养老金制度启动等消息的刺激下,房地产、银行板块表现出色,
中证全指房地产
指数本周上涨4.47%,中证银行指数上涨4.09%;在投资理念革新的讨论影响下,中证央企指数上涨1.84%。
上次我们提到市场目前是以存量资金为主,当大市值的蓝筹板块启动时,资金难免分流,前期活跃的概念股出现了较大的震荡。短期来看,受制于成交量的制约,市场有望继续震荡蓄势,出现大涨大跌的可能性都较低。
操作上,建议投资者保持底仓,高抛低吸滚动操作。指数当前位置属于政策、价值双重加持的底部区域,按照历史经验看底部区域会有一段
时间
的震荡,不必过分关注指数最低点的具体位置,逐步低吸优质个股为佳。
板块上可利用市场震荡继续低吸优质蓝筹板块,
如银行、
保险
、消费、等板块以及高分红品种;另外投资者可逢低参与新能源系列板块的短线交易机会。
研究策略
——
首席经济学家-荀玉根:
股市的周期性规律。
核心结论:
①A股估值水平周期波动,当前PE/PB、股债收益比、风险溢价率等指标均处于周期底部。②A股每3-4年出现一个低点,背后是经济周期轮回,当前经济正走向复苏早期,A股趋势向好。③稳增长政策正在持续加码,年内第二波上涨徐徐展开。
A
股估值的周期轮回。
从历史来看,A股估值水平存在明显的周期性特征。当前A股估值已经较低,周期规律下,未来A股和多数行业的估值均有较大的提升空间。
除了PE/PB绝对估值之外,A股风险溢价和股债收益比两个重要的相对估值指标也是均值回归的。除了绝对和相对估值,近期市场对A股估值结构、尤其是国企民企估值分化的关注度较高,当前中证国企指数估值/中证民企指数估值处于周期底部,A股国企的估值有一定的提升空间。当然,估值与基本面密切相关,若要提振估值,则需要提升国企上市公司
质量
,这也是易主席提到国有上市公司要“练好内功”的主要原因之一。
A
股走势的周期轮回。每3-4年出现一个低点,背后是经济周期轮回。
回顾A股2005年以来的历史,我们可以发现A股每隔3-4年会出现一次大的底部。历史上看,库存周期平均一个轮回历时39个月,其中上升和下降周期平均持续21个月、18个月。本轮库存周期始于2019年11月,高点出现在2022年4月,根据历史上库存周期平均持续时间推断,本轮库存周期或将于23Q1见底。
投资时钟视角下经济正走向复苏早期,A股趋势向好。
随着防疫政策持续优化和地产政策转向积极,中国经济正从衰退后期走向复苏早期,股市趋势向好。
与股市周期对应,A股投资回报率也存在均值回归。
股市的周期波动反映到权益资产回报便是投资收益率的均值回归。往后看,从权益资产回报率均值回归的
角度
看,A股未来也有较大的上涨空间。
第二波行情仍在途中。当前A股估值处于底部,政策正在持续加码,年内第二波上涨徐徐展开。
估值方面,对比过去5轮牛熊周期的大底,4月末和10月末时A股的估值、风险溢价、股债收益比、破净率等指标均已处于大的底部区域。从基本面指标看,我们根据05、08、12、16、19年5次市场见底的经验总结,底部反转均伴随着五大类领先指标中三项及以上企稳,当前
货币
政策、财政政策、制造业景气度、汽车销售这四类指标已经回升,最近几月地产销售面积累计同比也走平,基本面指标回暖确认A股在4月末和10月末形成的底部较扎实。目前,货币、地产、疫情政策已在改善。我们认为,随着稳增长政策落地见效,有望推动国内宏微观基本面回暖,年内第二波行情正在徐徐展开。
行业与主题热点
——
数字经济方面,智慧城市的建设有望成为重要催化剂。
从宏观政策层面看,数字经济已成为重塑经济增长的重要抓手。为数字经济高速发展构建厚实基础,推动数字经济应用场景逐渐落地,如智慧城市。10月28日发改委主任何立峰在《国务院关于数字经济发展情况的
报告
》中提出适度超前部署数字基建,提升数字公共
服务
水平,统筹推进智慧城市和数字乡村融合发展。
智慧交通是智慧城市的首要落地方向。
近期互联网巨头与运营商正加深合作,大力推动智慧城市应用,如腾讯与联通新设合营企业,加强智慧社会建设;
京东
与移动达成战略合作聚焦平台型智慧城市、数字政府发展。我国交通基础设施和车辆智能化程度正不断提高,应用试点多地铺开,智慧交通体系逐步构建,根据36氪研究院,预计到2030年我国智慧交通市场规模或超10万亿。
从盈利来看,结合海通行业分析师观点和Wind一致预期,预计电子行业22/23年归母净利润同比增速为0%/20%,计算机为10%/30%,通信为15/20%。从估值和配置来看,当前数字经济相关行业估值处在较低水平:当前电子PE为30倍、处13年以来12%分位;计算机PE为50倍、处30%分位;通信PE为25倍、处0.4%分位。从基金配置的视角看,公募基金对电子行业相对于自由流通市值的超配比例为1.4个百分点、处13年以来29%分位;对计算机的超配比例为-1.3个百分点、处3%分位;对电子的超配比例为-0.4个百分点、处47%分位。
低碳经济方面,关注风电光伏、储能和新能源车智能化。
除了数字经济之外,“3060”双碳目标下我国低碳经济相关产业依然是发展重点。当前新能源产业链景气度仍在,乘联会数据显示10月新能源乘用车零售销量达55.6万辆,同比增长75.2%。
根据国家能源局,当前第二批风光大基地项目已陆续开工,第三批项目正在抓紧审查,我们认为这将推动光伏风电装机持续放量,10月光伏装机量当月同比增速达50%。随着光伏风电装机量的增长,储能也将配套发展,中关村储能产业技术联盟预计21-25年中国电化学储能累计装机量CAGR将达64%。
从盈利来看,结合海通行业分析师观点和Wind一致预期,预计新能源车板块22/23年归母净利润同比增速为75%/40%,光伏板块为40%/40%,储能板块为100%/100%。从估值来看,当前新能源板块经历前期调整,估值已经不高,当前光伏风电的PE(TTM)为25.6倍,低于19年以来均值35倍,新能源车PE为21.5倍,低于19年以来均值35倍。
风险提示:
通胀继续大幅上行,国内外宏观政策收紧。
回溯北向资金
——
本周北向资金净流入74.48亿元,其中沪股通净流入112.19亿元,深股通净流出37.71亿元。
数据来源:
Wind
ETF份额观察
——
本周百亿规模ETF份额整体增加。其中份额增加较多的是南方中证500ETF和华夏国证半导体芯片ETF,份额减少较多的是国泰中证军工ETF和南方中证1000ETF。
数据来源:Wind
本周机构热门调研TOP10
——
数据来源:
Wind
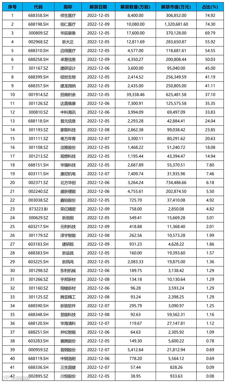
下周解禁情况
——
2022年12月5日-12月9日,共有42家上市公司解禁,解禁股数15.96亿股,解禁比例超30%的个股共有12只,解禁比例居前列的是祥生医疗(74.92%)、佰仁医疗(74.30%)、华辰装备(69.79%)。建议对于解禁规模占比较大的公司保持谨慎,密切关注解禁股可能产生的减持压力。
数据来源:
Wind
名人堂
|
投资工具
|
基金
投资线索
|
月度策略
更多推荐
免责声明:市场有风险,投资需谨慎。本文所载内容仅供海通证券股份有限公司的客户参考使用,客户须自主做出判断和投资决策。如本内容为海通研究所发布的报告摘要,则仅为其研报观点的简要表述,客户仍需以海通正式发布的完整报告和专业的投资顾问的解读为准。
【声明】内容源于网络
0
0
国泰海通君弘智投
国泰海通君弘智投服务号为您提供市场资讯、投资理财、股票/证券开户等综合金融服务,打造优质便捷的数字化财富管理体验。
内容
380
粉丝
0
关注
在线咨询
国泰海通君弘智投
国泰海通君弘智投服务号为您提供市场资讯、投资理财、股票/证券开户等综合金融服务,打造优质便捷的数字化财富管理体验。
总阅读
184
粉丝
0
内容
380
在线咨询
关注